Flow-injection amperometric determination of ceftriaxone, cefotaxime, and cefoperazone on an electrode modified with a binary system of gold particles and mixed-valence ruthenium oxides
- Authors: Shaidarova L.G.1, Chelnokova I.A.1, Ilyina M.A.1, Budnikov G.K.1
-
Affiliations:
- Kazan Federal University, A.M. Butlerov Chemical Institute
- Issue: Vol 79, No 8 (2024)
- Pages: 924-932
- Section: ORIGINAL ARTICLES
- Submitted: 11.02.2025
- Accepted: 11.02.2025
- URL: https://journal-vniispk.ru/0044-4502/article/view/279568
- DOI: https://doi.org/10.31857/S0044450224080113
- EDN: https://elibrary.ru/tjcgvj
- ID: 279568
Cite item
Full Text
Abstract
Modified electrodes based on gold particles and mixed-valence ruthenium oxides, as well as a binary system based on them, were developed for voltammetric determination of ceftriaxone, cefotaxime, and cefoperazone. The electrode with the binary system of gold particles and mixed-valence ruthenium oxides, which exhibited the best characteristics, was used to detect cephalosporins under flow-injection analysis conditions. Optimal detection conditions for cephalosporins in the flow-injection system were selected. The dependence of the analytical signal on the concentration of the examined compounds in logarithmic coordinates is linear within the range from 5 × 10–7 to 5 × 10–3 M. The proposed method for determining cephalosporins was tested during the analysis of pharmaceutical products.
Full Text
В настоящее время антибиотики цефалоспоринового ряда, к которым относят цефтриаксон, цефотаксим и цефоперазон, занимают ведущее место при лечении различных инфекций [1]. Широкое использование этих препаратов обусловлено их характерными особенностями: быстрым бактерицидным действием, достаточно высокими фармакокинетическими характеристиками, низкой токсичностью и хорошей переносимостью, сочетаемостью с другими антибактериальными средствами [2]. Экспрессное и точное определение цефалоспоринов необходимо для выявления фальсифицированных лекарственных средств, а также для регулирования оптимальных доз препаратов при лечении инфекционных заболеваний.
Описаны спектральные [3–5], титриметрические [6] и хроматографические [7–11] способы определения цефалоспоринов. Их ограничения, такие как недостаточная чувствительность, токсичность реагентов, сложность пробоподготовки, длительность проведения анализа и высокая стоимость используемого оборудования, диктуют необходимость создания новых методов с высокой чувствительностью определения цефалоспоринов.
В рамках фармацевтического анализа, как известно, для определения различных органических соединений широко используются электрохимические сенсоры, обладающие стабильным и чувствительным откликом [12, 13]. При их создании рабочую поверхность электрода (обычно из углеродного материала) модифицируют с целью улучшения аналитических и метрологических характеристик отклика. Модификация поверхности электрода способствует уменьшению перенапряжения окисления органических соединений, наблюдаемого на углеродных электродах, а также снижению нижней границы определяемых содержаний [14]. В итоге применение химически модифицированных электродов (ХМЭ) приводит к повышению чувствительности и селективности вольтамперометрического отклика на органические соединения, в том числе цефалоспорины [15–17]. Не менее важно и то, что ХМЭ могут “работать” как амперометрические детекторы в проточных системах, что позволяет проводить большое количество измерений с высокими чувствительностью и селективностью в автоматизированном режиме быстро и с низкими затратами [18, 19]. С целью автоматизации анализа объектов окружающей среды и объектов биомедицины чаще всего используют проточно-инжекционные системы [20–23].
В настоящей статье сопоставлена электрокаталитическая активность частиц золота (Au) и смешанновалентных оксидов рутения (RuOx), а также бинарной системы на их основе Au–RuOx, электроосажденных на поверхность стеклоуглеродного электрода (СУ), в условиях проточно-инжекционного анализа (ПИА). Показана возможность получения высоких характеристик определения цефотаксима, цефтриаксона и цефоперазона.
Экспериментальная часть
Циклические вольтамперограммы регистрировали с помощью вольтамперометрического анализатора Экотест-ВА (ООО “ЭКОНИК-ЭКСПЕРТ”, Россия). Циклические вольтамперограммы регистрировали при скорости развертки потенциала 20 мВ/с.
В работе использовали трехэлектродную ячейку. Электродом сравнения служил хлоридсеребряный, вспомогательным – платиновая проволока. В качестве рабочего электрода применяли электроды из СУ и ХМЭ на основе СУ с электроосажденными частицами Au (Au–СУ), смешанновалентными оксидами RuOx, (RuOx–СУ) или бинарной системой Au–RuOx (Au–RuOx–СУ). Перед модифицированием электрода проводили предварительную подготовку его поверхности: электрод из СУ шлифовали абразивными материалами, промывали дистиллированной водой.
Поверхность СУ модифицировали смешанновалентными оксидами RuOx методом потенциодинамического электролиза из раствора RuCl3 х. ч. фирмы Aldrich (США) в диапазоне потенциалов от –0.3 до 1.0 В в течение 20 циклов. Для электроосаждения частиц Au использовали потенциостатический электролиз в растворе НAuCl4 х. ч. фирмы Aldrich (США) при потенциале электролиза (Еэ) –0.3 В и времени электролиза (tэ) 3 мин. ХМЭ на основе бинарной системы Au–RuOx готовили путем потенциостатического электроосаждения из раствора, содержащего RuCl3 и НAuCl4 при Еэ = –0.3 В и tэ = 3 мин.
Для проведения ПИА собирали установку, включающую перистальтический насос ZALIMP (Польша), шприцевой инжектор, проточную электрохимическую ячейку (V = 200 мкл) и регистрирующее устройство – вольтамперометрический анализатор Экотест-ВА, совмещенный с персональным компьютером (рис. 1). После включения насоса коммуникационная система заполнялась раствором-носителем. Далее в поток жидкости вводили пробу с помощью шприцевого инжектора в направлении к детектору – вольтамперометрическому анализатору, на котором регистрировали аналитический сигнал в потенциостатических условиях.
Рис. 1. Схема проточно-инжекционного анализа с амперометрическим детектированием на химически модифицированном электроде, где Мох и Мred – окисленная и восстановленная формы модификатора соответственно.
Определение цефалоспоринов методом ВЭЖХ-УФ проводили по стандартным методикам [24, 25]. Использовали хроматографическую систему LC-20 Prominence фирмы Shimadzu (Япония), оборудованную колонкой Ascentis®Express С18 150 × 4.6 мм, 5 мкм, предколонкой Holder 200 × 4.6 мм, насосом LC-20AD и диодно-матричным детектором SPD-M20A. Для управления системами хроматографа и регистрации хроматограмм использовали программное обеспечение LC solution. Разделение проводили со скоростью потока элюента 1 мл/мин. В качестве подвижной фазы использовали смесь хроматографически чистого ацетонитрила с фосфатным буферным раствором, который готовили путем добавления фосфорной кислоты к раствору Na2HPO4 до рН 6.25. Детектирование цефтриаксона осуществляли при длине волны 235 нм, а цефотаксима и цефоперазона – при 254 нм.
При вольтамперометрическом и проточном амперометрическом определении растворы цефалоспоринов готовили растворением точных навесок цефтриаксона, цефотаксима и цефоперазона х. ч. фирмы Aldrich (США) в растворе фонового электролита. Серии растворов меньших концентраций готовили разбавлением исходных растворов непосредственно перед измерениями. Для приготовления растворов лекарственных средств таблетки предварительно измельчали и растирали. Навеску порошка растертых таблеток растворяли в 0.05 М H2SO4 и переносили в мерную колбу емк. 50 мл, встряхивали и доводили до метки этим же фоновым электролитом. Раствор тщательно перемешивали и фильтровали. В качестве фонового электролита в стационарных условиях и потока-носителя в проточных системах использовали 0.05 М H2SO4.
Результаты и их обсуждение
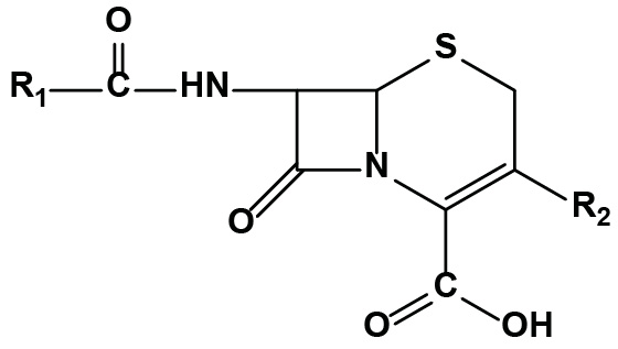
Цефалоспорины относят к классу β-лактамных антибиотиков, в основе химической структуры которых лежит 7-аминоцефалоспорановая кислота (табл. 1). Окисление рассматриваемых цефалоспоринов на углеродных электродах протекает необратимо и при высоких анодных потенциалах (при Еs > 1.20 В), при повторном сканировании потенциала на вольтамперограмме наблюдается резкое уменьшение максимума тока, что указывает на низкую воспроизводимость вольт-амперных характеристик на немодифицированном электроде. Линейные зависимости величины предельного тока от концентрации соединений наблюдается в узких интервалах: 5 × 10–4–5 × 10–3 М для цефотаксима и 1 × 10–4– 5 × 10–3 М для цефтриаксона и цефоперазона.
Таблица 1. Структурные формулы цефалоспоринов
Структурная формула цефалоспоринов | Наименование | R1 | R2 |
Цефтриаксон | |||
Цефотаксим | |||
Цефоперазон |
Среди сенсорных материалов-модификаторов широкое применение нашли переходные и благородные металлы благодаря таким свойствам, как высокая электрохимическая активность, химическая стабильность, нетоксичность и др. [26–30].
Нами сопоставлены каталитические свойства иммобилизованных частиц Au и смешанновалентных оксидов RuOx, а также бинарной системы Au–RuOx при электроокислении цефотаксима, цефтриаксона и цефоперазона.
Известно [21, 30–32], что при электроокислении смешанновалентных оксидов RuOx реализуются переходы Ru(II) → Ru(III), Ru(III) → Ru(IV) и Ru(IV) → Ru(VI), в ходе которых генерируются каталитические центры, проявляющие высокую активность по отношению к различным органическим соединениям.
На рис. 2а приведена вольтамперограмма окисления цефтриаксона на электроде RuOx–СУ, на которой наблюдается увеличение тока окисления модификатора при Еп 1.15 В и снижение потенциала окисления субстрата на ХМЭ на 50 мВ по сравнению с потенциалом его окисления на СУ (Е = 1.20 В). Величина тока анодного пика, наблюдаемая при потенциалах окисления модификатора, зависит от концентрации цефтриаксона (рис. 2б). Все эти факторы указывают на каталитическую природу электрохимической реакции [33]. Схема электрокатализа приведена на рис. 1.
Рис. 2. (а): Циклические вольтамперограммы на электроде RuOx–СУ в отсутствие цефтриаксона (1) и на электродах RuOx–СУ (2), Au–СУ (3) и Au–RuOx–СУ (4) в присутствии 5 × 10–3 М цефтриаксона на фоне 0.05 М H2SO4. (б): Зависимость тока при Е = 1.15 В от концентрации цефтриаксона на электроде RuOx–СУ (n = 6, P = 0.95).
Ранее [26, 34, 35] разработаны электроды, модифицированные частицами Au, которые использовали для электрохимического определения различных биологически активных соединений. Установлено, что частицы Au, электроосажденные на поверхности СУ, каталитически активны и по отношению к цефтриаксону (рис. 2а, табл. 2). В этом случае на ХМЭ также наблюдается уменьшение перенапряжения цефтриаксона, увеличение тока по сравнению с фоновыми значениями, линейно зависящее от концентрации этого субстрата,
Таблица 2. Вольтамперные характеристики окисления органических соединений (c = 5 × 10–3 М) на фоне 0.05 М H2SO4
Субстрат | Модификатор | Екат, В | Iкат, мкА |
Цефтриаксон | Au | 1.15 | 54 |
RuOx | 1.15 | 36 | |
Au–RuOx | 1.15 | 100 | |
Цефотаксим | Au–RuOx | 1.05 | 224 |
Цефоперазон | Au–RuOx | 1.10 | 153 |
Примечание: Екат, Iкат – потенциал и ток окисления субстрата на ХМЭ.
При переходе на электрод с бинарной системой Au–RuOx получили наибольшее увеличение тока окисления цефтриаксона по сравнению с электродами Au–СУ или RuOx–СУ (рис. 2а, табл. 2), что, вероятно, связано с проявлением аддитивного эффекта при формировании на поверхности электрода каталитических центров различной природы. Установлено, что бинарная система Au–RuOx также проявляет высокую каталитическую активность при окислении цефотаксима и цефоперазона (табл. 2).
Разработанный модифицированный электрод Au–RuOx–СУ использовали в качестве амперометрического детектора при определении цефтриаксона, цефотаксима и цефоперазона в проточно-инжекционной системе.
Для регистрации сигнала в проточной системе использовали потенциостатический режим. Установили рабочие условия регистрации амперометрического отклика при проточно-инжекционном определении цефалоспоринов на ХМЭ. На рис. 3 в качестве примера приведены зависимости тока окисления цефтриаксона от накладываемого потенциала (Е), объема инжектируемой пробы (V) и скорости подачи раствора-носителя (u). Для остальных исследуемых соединений получили аналогичные зависимости. В качестве рабочих условий амперометрического детектирования в системе ПИА выбрали значения, при которых регистрировали наибольший по величине аналитический сигнал: V = 1.0 мл, u = 27.5 мл/мин и Е 1.20, 1.10, 1.15 В для цефтриаксона, цефотаксима и цефоперазона соответственно. Для количественной оценки степени дисперсии пробы в потоке при выбранных параметрах детектирования рассчитали коэффициент дисперсии (D). Получено значение D = 2, что соответствует ограниченной дисперсии [36].
Рис. 3. Зависимость тока окисления цефтриаксона (с = 5 × 10–3 М) на электроде Au–RuOx–СУ от (а) накладываемого потенциала, (б) объема пробы и (в) скорости потока в условиях проточно-инжекционного анализа на фоне 0.05 М H2SO4 (n = 6, P = 0.95).
Аналитические характеристики, полученные при детектировании цефтриаксона, цефотаксима и цефоперазона в стационарном режиме и в проточных условиях представлены в табл. 3. Разработанный проточно-инжекционный амперометрический способ определения цефалоспоринов на электроде Au–RuOx–СУ позволяет проводить их определение в более широком интервале концентраций и снизить нижнюю границу определяемых содержаний на три порядка по сравнению с аналитическими характеристиками, полученными при электроокислении цефалоспоринов на немодифицированом СУ.
Таблица 3. Аналитические характеристики определения цефтриаксона, цефотаксима и цефоперазона методами циклической вольтамперометрии и проточно-инжекционной амперометрии на электроде Au–RuOx–СУ на фоне 0.05 М H2SO4 (n = 6, P = 0.95)
Аналит | Диапазон концентраций, М | Уравнение регрессии lgI = a + b lgс (I, мкА; с, М) | R2 | |
а ± Da | b × 10 ± Db | |||
Циклическая вольтамперометрия (стационарные условия) | ||||
Цефтриаксон | 5 × 10–6–1 × 10–3 | 3.60 ± 0.06 | 6.9 ± 0.2 | 0.9981 |
Цефотаксим | 5 × 10–6–1 × 10–3 | 3.23 ± 0.06 | 3.6 ± 0.1 | 0.9961 |
Цефоперазон | 5 × 10–6–1 × 10–3 | 3.07 ± 0.07 | 3.6 ± 0.2 | 0.9940 |
Проточно-инжекционная амперометрия (проточные условия) | ||||
Цефтриаксон | 5 × 10–7–1 × 10–3 | 2.39 ± 0.03 | 3.36 ± 0.05 | 0.9990 |
Цефотаксим | 5 × 10–7–1 × 10–3 | 2.62 ± 0.04 | 2.95 ± 0.08 | 0.9969 |
Цефоперазон | 5 × 10–7–1 × 10–3 | 2.47 ± 0.02 | 2.97 ± 0.04 | 0.9992 |
На рис. 4 показана зависимость аналитического сигнала от концентрации аналита при амперометрическом определении цефтриаксона в условиях ПИА. За счет непрерывного обновления поверхности электрода раствором потока-носителя в проточной электрохимической ячейке отмечается хорошая повторяемость аналитического сигнала. Рассчитанные значения sr не превышают 2.0% (n = 10, P = 0.95). Теоретическая производительность разработанного способа амперометрического детектирования в условиях ПИА достигает 180 проб/ч (при времени отклика ХМЭ 20 с).
Рис. 4. Зависимость тока окисления цефтриаксона на электроде Au–RuOx–СУ от его концентрации в условиях проточно-инжекционного анализа на фоне 0.05 М H2SO4 (n = 6, P = 0.95).
Разработанные способы амперометрического определения цефотаксима, цефтриаксона и цефоперазона на электроде Au–RuOx–СУ использовали при анализе некоторых лекарственных средств. Приготовленные растворы лекарственных средств инжектировали в проточную систему, затем регистрировали хроноамперограмму, на которой измеряли величину тока при выбранном для каждого аналита потенциале. Результаты определения цефтриаксона, цефотаксима и цефоперазона по амперометрическому отклику электрода Au–RuOx–СУ в условиях ПИА в некоторых лекарственных средствах приведены в табл. 4. Полученные результаты проточно-инжекционного определения цефалоспоринов на ХМЭ сопоставлены с результатами, полученными методом ВЭЖХ-УФ, рекомендуемым государственной фармакопеей [24, 25]. Анализ результатов по F- и t-критериям показал, что методы равноточны (Fрасч < Fтабл), а расхождение между средними результатами незначимы (tрасч < tтабл).
Таблица 4. Результаты определения цефтриаксона, цефотаксима и цефоперазона в лекарственных препаратах методом проточно-инжекционной амперометрии на электроде Au–RuOx–СУ (метод I) и методом ВЭЖХ-УФ (метод II) (n = 6, P = 0.95, Fтабл = 5.05, tтабл = 2.57)
Лекарственный препарат | Аналит | Содержание в препарате, г | Найдено, г | Fрасч | tрасч | |
метод I | метод II | |||||
Цефтриаксон “ПАО Красфарма” | Цефтриаксон | 1.0 | 0.99 ± 0.02 | 1.01 ± 0.03 | 2.34 | 1.35 |
Цефотаксим “Фармстандарт” | Цефотаксим | 1.0 | 1.02 ± 0.03 | 1.01± 0.01 | 2.30 | 0.67 |
Цефоперазон “ПАО Красфарма” | Цефоперазон | 1.0 | 1.01 ± 0.02 | 1.00 ± 0.02 | 1.02 | 0.87 |
Сочетание ПИА с амперометрией на модифицированном электроде с каталитическими свойствами обеспечивает высокую чувствительность, воспроизводимость и экспрессность определений, что выгодно отличает разработанный способ определения от описанных в литературе электрохимических способов определения цефалоспоринов на других модифицированных электродах [37–40]. Для разработанного электрода характерна хорошая стабильность каталитического отклика, которая сохраняется в течение недели при непрерывном использовании (sr < 0.04).
Таким образом, разработанный электрод Au–RuOx–СУ можно использовать для проточно-инжекционного амперометрического определения цефотаксима, цефтриаксона и цефоперазона в фармацевтической продукции.
Финансирование работы
Работа выполнена за счет средств Программа стратегического академического лидерства Казанского (Приволжского) федерального университета (“Приоритет-2030”).
Конфликт интересов
Авторы данной работы заявляют, что у них нет конфликта интересов.
About the authors
L. G. Shaidarova
Kazan Federal University, A.M. Butlerov Chemical Institute
Author for correspondence.
Email: LarisaShaidarova@mail.ru
Russian Federation, Kazan
I. A. Chelnokova
Kazan Federal University, A.M. Butlerov Chemical Institute
Email: LarisaShaidarova@mail.ru
Russian Federation, Kazan
M. A. Ilyina
Kazan Federal University, A.M. Butlerov Chemical Institute
Email: LarisaShaidarova@mail.ru
Russian Federation, Kazan
G. K. Budnikov
Kazan Federal University, A.M. Butlerov Chemical Institute
Email: LarisaShaidarova@mail.ru
Russian Federation, Kazan
References
- Яковлев С.В. Современное значение цефалоспоринов при лечении инфекций в стационаре // РМ Ж. 2005. № 10. C. 720.
- Mamdouh S.M., Alaa E.A., Nessma N.M. Chemistry, classification, pharmacokinetics, clinical uses and analysis of beta lactam antibiotics: A review // J. Chem. Pharm. Res. 2014. V. 6. № 11. P. 28.
- Rageh A.H., El-Shaboury SR., Saleh G.A., Mohamed F.A. Spectophotometric method for determination of certain cephalosporins using 4-chloro-7-nitrobenzo-2-oxa-1,3-diazole (NBD-Cl) // Nat. Sci. 2010. V. 2. № 8. P. 828.
- Ali Ahmed S.M., Elbashir A.A., Aboul-Enein H.Y. New spectrophotometric method for determination of cephalosporins in pharmaceutical formulations // Arab. J. Chem. 2015. V. 8. № 2. P. 233.
- Gaudin K., Langlois M.-H., Kauss T. Phoeung T., Arrachart S., Demartini A.-M., et al. In vitro ceftriaxone stability at new-borns’ rectal PH assessed by UV and HPLC methods // Pharm. Anal. Acta. 2015. V. 6. № 7. P. 393.
- Abdellatef H.E., Shalaby A.A., Elsaid H.M., Ayad M.M. Colorimetric and titrimetric methods for determination of some cephalosporins in their pure and dosage forms // Sci. Pharm. 2000. V. 68. № 3. P. 263.
- Narala S.R., Saraswathi K. RP-HPLC Methods for the determination of cephalosporins (cefditoren pivoxil and cefdinir) in pharmaceutical dosage forms // J. Pharm. Sci. Res. 2011. V. 3. № 1. P. 1002.
- Писарев В.В., Зайцева К.В., Смирнова Л.Б., Белолипецкая В.Г., Кибальчич Д.А., Колтунов И.Е. Определение цефиксима в плазме крови методом ВЭЖХ // Антибиотики и химиотерапия. 2009. T. 54. № 7–8. С. 37.
- Kang Y.S., Lee S.Y., Kim N.H., Choi H.M., Park J.S., Kim W., Lee H.J. A specific and rapid HPLC assay for the determination of cefroxadine in human plasma and its application to pharmacokinetic study in Korean // J. Pharm. Biomed. Anal. 2006. V. 40. № 2. P. 369.
- El-Shaboury S.R., Saleh G.A., Mohamed F.A., Rageh A.H. Analysis of cephalosporin antibiotics // J. Pharm. Biomed. Anal. 2007. V. 45. № 1. P. 1.
- Rigo-Bonnin R., Arbiol-Roca A., Cobo-Sacristan S., Padulles A., Murillo O., Shaw E., et al. Development and validation of a measurement procedure based on ultra-high performance liquid chromatography-tandem mass spectrometry for simultaneous measurement of β-lactam antibiotic concentration in human plasma // Clin. Chim. Acta. 2017. V. 468. № 21. P. 215.
- Kaya S.I., Karabulut T.C., Kurbanoglu S., Ozkan S.A. Chemically modified electrodes in electrochemical drug analysis // Curr. Pharm. Anal. 2020. V. 16. № 6. P. 641.
- Ren S., Zeng J., Zheng Z., Shi H. Perspective and application of modified electrode material technology in electrochemical voltammetric sensors for analysis and detection of illicit drugs // Sens. Actuators A: Phys. 2021. V. 329. № 4. Article 112821.
- Шайдарова Л.Г., Будников Г.К. Химически модифицированные электроды на основе благородных металлов, полимерных пленок или их композитов в органической вольтамперометрии. Обзор // Журн. аналит. химии. 2008. Т. 63. № 10. С. 1014. (Shaidarova L.G., Budnikov H.C. Chemically modified electrodes based on noble metals, polymer films, or their composites in organic voltammetry: A review // J. Anal. Chem. 2008. V. 63. № 10. P. 922.)
- Jamasbi E.S., Rouhollahi A, Shahrokhian S. The electrocatalytic examination of cephalosporins at carbon paste electrode modified with CoSalophen // Talanta. 2007. V. 71. № 4. P. 1669.
- Shahrokhian S., Ranjbar S., Ghalkhani M. Modification of the electrode surface by Ag nanoparticles decorated nano diamond-graphite for voltammetric determination of ceftizoxime // Electroanalysis. 2016. V. 28. № 3. P. 469.
- Shahrokhian S., Rastgar S. Construction of an electrochemical sensor based on the electrodeposition of Au–Pt nanoparticles mixtures on multi-walled carbon nanotubes film for voltammetric determination of cefotaxime // Analyst. 2012. V. 137. № 11. P. 2706.
- Шайдарова Л.Г., Будников Г.К. / Проблемы аналитической химии. Т. 14. Химические сенсоры / Под ред. Власова Ю.Г.М.: Наука, 2011. С. 203.
- Шайдарова Л.Г., Челнокова И.А., Лексина Ю.А., Хайруллина Д.Ю., Будников Г.К. Проточно-инжекционное амперометрическое определение 5-гидрокситриптофана, пиридоксина и аскорбиновой кислоты на планарном электроде, модифицированном частицами бинарной системы золото-палладий // Аналитика. 2022. Т. 12. № 4. С. 280.
- Шайдарова Л.Г., Будников Г.К. Амперометрическое детектирование лекарственных веществ в проточно-инжекционном анализе / Фармацевтический анализ. Сер. “Проблемы аналитической химии”. М.: АНРАМАК-МЕДИА, 2013. C. 580.
- Shaidarova L.G., Chelnokova I.A., Il’ina M.A., Gedmina A.V., Budnikov H.C. Amperometric detection of caffeine and paracetamol on a dual screen printed electrode modified with mixed-valence ruthenium and cobalt oxides in flow-injection analysis // Res. J. Pharm. Biol. Chem. Sci. 2016. V. 7. № 6. P. 2884.
- Ayaz S., Dilgin Y., Apak R. Flow injection amperometric determination of hydrazine at a cupric-neocuproine complex/anionic surfactant modified disposable electrode // Microchem. J. 2020. V. 159. № 1. Article 105457.
- McCormick W., Muldoon C., McCrudden D. Electrochemical flow injection analysis for the rapid determination of reducing sugars in potatoes // Food Chem. 2021. V. 340. № 3. Article 127919.
- Цефотаксим (ФС 2.1.0212.18). XIV Государственная Фармакопея Российской Федерации. Часть 3. Москва, 2018. С. 5068.
- Цефтриаксон (ФС 2.1.0213.18). XIV Государственная Фармакопея Российской Федерации. Часть 3. Москва, 2018. С. 5075.
- Шайдарова Л.Г., Челнокова И.А., Лексина Ю.А., Ильина М.А., Гедмина А.В., Будников Г.К. Проточно-инжекционное амперометрическое определение дофы и тирозина на двойном электрода, модфицированном бинарной системой золото-кобальт // Журн. аналит. химии. 2018. Т. 73. № 2. С. 129. (Shaidarova L.G., Chelnokova I.A., Leksina Yu. A., Il’ina M.A., Gedmina A.V., Budnikov H.C. Flow-injection amperometric determination of dopa and tyrosine at a dual electrode modified with the gold-cobalt binary system // J. Anal. Chem. 2018. V. 73. № 2. P. 176.)
- Yang P., Wang X., Ge C., Fu X., Liu X., Chai H., et al. Fabrication of CuO nanosheets-built microtubes via Kirkendall effect for non-enzymatic glucose sensor // Appl. Surf. Sci. 2019. V. 494. № 16. P. 484.
- Yang B., Qiao J., Yu Y., Yuan L., Hu X. The simple-preparation of Cu–Ni/CuO–NiO using solution plasma for application in a glucose enzyme-free sensor // New J. Chem. 2020. V. 44. № 26. P. 10806.
- Liu H.F., Wang P., Zhang Q., Wang Z., Liu Y., Zheng Z., et al. Porous Co3O4 nanosheets as a high-performance non-enzymatic sensor for glucose detection // Anal. Bioanal. Chem. 2018. V. 410. № 29. P. 7663.
- Шайдарова Л.Г., Челнокова И.А., Ильина М.А., Гедмина А.В., Будников Г.К. Амперометрическое детектирование гидроксипуринов на электроде, модифицированном композитом на основе смешановалентных оксидов рутения и кобальта, в условиях проточно-инжекционного анализа // Журн. аналит. химии. 2017. Т. 72. № 1. С. 91. (Shaidarova L.G., Chelnokova I.A., Il’ina M.A., Gedmina A.V., Budnikov H.C. Amperometric detection of hydroxypurines at an electrode modified with a composite based on mixed-valence ruthenium and cobalt oxides in flow injection analysis // J. Anal. Chem. 2017. V. 72. № 1. P. 107.)
- Шайдарова Л.Г., Челнокова И.А., Ильина М.А., Махмутова Г.Ф., Ахматханова Ф.Ф., Будников Г.К. Порционно-инжекционное амперометрическое определение кофеина и теофиллина на электроде, модифицированном углеродными нанотрубками и оксидами рутения // Журн. аналит. химии. 2020. Т. 75. № 8. С. 743. (Shaidarova L.G., Chelnokova I.A., Il’ina M.A., Makhmutova G.F., Akhmatkhanova F.F., Budnikov H.C. Batch-injection amperometric determination of caffeine and theophylline on an electrode modified by carbon nanotubes and ruthenium oxides // J. Anal. Chem. 2020. V. 75. № 8. P. 1066.)
- Kivraki., Selçuk K., Faruk Er O., Aktas N. Nanostructured electrochemical cysteine sensor based on carbon nanotube supported Ru, Pd, and Pt catalysts // Mater. Chem. Phys. 2021. V. 267. № 3. Article 124689.
- Будников Г.К., Майстренко В.Н., Евтюгин Г.А. Основы современного электрохимического анализа. М.: БИНО М. Лаборатория знаний, 2003. C. 592.
- Шайдарова Л.Г., Лексина Ю.А., Челнокова И.А., Ильина М.А., Гедмина А.В., Будников Г.К. Двойной планарный электрод с биметаллической системой золото-палладий для проточно-инжекционного амперометрического определения дофамина и аскорбиновой кислоты // Учен. зап. Казан. ун-та. Сер. Естеств. науки. 2018. Т. 160. № 1. С. 40.
- Шайдарова Л.Г., Челнокова И.А., Ильина М.А., Лексина Ю.А., Будников Г.К. Амперометрическое детектирование триптофана и пиридоксина на двойном планарном электроде, модифицированном наночастицами золота, в проточно-инжекционной системе // Журн. аналит. химии. 2019. Т. 74. № 6. С. 437. (Shaidarova L.G, Chelnokova I.A., Il’ina M.A., Leksina Yu. A., Budnikov H.C. Amperometric detection of tryptophane and pyridoxine on a dual screen-printed electrode modified by gold nanoparticles in a flow-injection system // J. Anal. Chem. 2019. V. 74. № 6. P. 584.)
- Москвин Л.Н., Булатов А.В., Москвин А.Л. Проточные методы анализа. СПб: ВВМ, 2008. С. 48.
- Yue X., Xu X., Liu C., Zhao S. Simultaneous determination of cefotaxime and nimesulide using poly(L-cysteine) and graphene composite modified glassy carbon electrode // Microchem. J. 2022. V. 174. № 1. Article 107058.
- Hassine C.B.A., Güngör Ö., Burç M., Özcan İ., Köytepe S., Duran S.T. Electrochemical determination of ceftriaxone using polyurethane-modified electrode containing caffeic acid and chitosan // Polym. Plast. Technol. Mater. 2022. V. 61. № 6. P. 609.
- Majdi S., Jabbari A., Heli H., Yadegari H., Moosavi-Movahedi A.A., Haghgoo S. Electrochemical oxidation and determination of ceftriaxone on a glassy carbon and carbon-nanotube-modified glassy carbon electrodes // J. Solid State Electrochem. 2009. V. 13. № 3. P. 407.
- Majidi M.R., Asadpour-Zeynali K., Hafezi B. Electrocatalytic oxidation and determination of ceftriaxone sodium antibiotic in pharmaceutical samples on a copper hexacyanoferrate nanostructure // Anal. Methods. 2011. V. 3. № 3. P. 646.
Supplementary files












