Селективное вольтамперометрическое определение дофамина на электроде, модифицированном частицами палладия и молекулярно-импринтированным полимером из никотинамида
- Авторы: Шайдарова Л.Г.1, Челнокова И.А.1, Хайруллина Д.Ю.1, Лексина Ю.А.1, Будников Г.К.1
-
Учреждения:
- Казанский федеральный университет
- Выпуск: Том 79, № 9 (2024)
- Страницы: 1037-1044
- Раздел: ОРИГИНАЛЬНЫЕ СТАТЬИ
- Статья получена: 23.02.2025
- Статья одобрена: 23.02.2025
- URL: https://journal-vniispk.ru/0044-4502/article/view/281183
- DOI: https://doi.org/10.31857/S0044450224090083
- EDN: https://elibrary.ru/tilihe
- ID: 281183
Цитировать
Полный текст
Аннотация
Разработан способ изготовления стеклоуглеродного электрода с электроосажденными частицами палладия и молекулярно-импринтированным полимером из никотинамида для определения дофамина в присутствии родственных по структуре соединений. Использование полимера со специфическими центрами распознавания, комплементарными молекуле-темплату, привело к увеличению чувствительности и селективности определения дофамина. Иммобилизация частиц палладия на поверхности электрода позволила увеличить селективность вольтамперометричеcкого определения дофамина в присутствии адреналина и норадреналина. Разность потенциалов пиков окисления этих соединений составляет 200 мВ. Линейная билогарифмическая зависимость аналитического сигнала от концентрации дофамина наблюдается в интервале от 5.0 × 10–9 до 5.0 × 10–3 М. Предложенный способ опробован при анализе образцов урины.
Полный текст
Дофамин (ДА) (2-(3,4-дигидроксифенил) - этиламин) является одновременно гормоном и медиатором симпатоадреналовой системы, регулирует спектр физиологических функций организма человека, включая локомоторную, когнитивную и эндокринную [1]. Нарушение синтеза ДА является причиной болезни Паркинсона [2]. Недостаток ДА также может проявляться в ухудшении настроения, депрессии, треморе, потери координации, мышечных судорогах, синдроме беспокойных ног или даже в появлении желудочно-кишечных проблем [3]. Кроме того, повышенный уровень гормона наблюдается при заболеваниях почек, обусловленных ухудшением в них кровообращения [4].
Сложность определения ДА в плазме крови и других биологических жидкостях связана со сравнительно низкими его концентрациями в биопробах [5]. Кроме того, в крови ДА быстро окисляется моноаминоксидазами тромбоцитов, поэтому его определение в биопробах человека должно быть экспрессным (15–30 мин) [6]. Определение ДА часто затруднено присутствием других катехоламинов – адреналина (АД), норадреналина (НАД), их производных и мешающих компонентов (мочевины, аминокислот, аскорбиновой и мочевой кислот и др.) [7], поэтому важен поиск инструментальных методов с высокими селективностью и чувствительностью определения маркеров заболеваний, связанных с нарушением нейромедиаторного обмена.
Вольтамперометрия с химически модифицированными электродами (ХМЭ) значительно расширяет аналитические возможности метода при определении органических соединений [8, 9]. Электрохимическое определение ДA в присутствии АД или НАД проводят на ХМЭ на основе пленки из нафиона [10], частиц золота [11], углеродных материалов [12], а также композитов на их основе [13, 14].
Для селективного вольтамперометрического определения ДА актуальным является создание электродов, модифицированных молекулярно-импринтированными полимерами (МИП), обладающими молекулярной памятью. Такие электроды сочетают в себе высокую механическую и химическую прочность, характерную для сшитых материалов, с высокой селективностью в отношении целевых аналитов-биомолекул благодаря образованию комплекса между заданной молекулой-темплатом и функциональными группами полимера [15, 16].
В последние десятилетия широко развивается электрохимический анализ с применением новых материалов для конструирования различных сенсоров. Эти материалы позволяют создавать сенсоры, обладающие высокими селективностью и чувствительностью, способностью к распознаванию органических веществ в биологических жидкостях в присутствии мешающих компонентов. Следует отметить, что мономеры, используемые для синтеза МИП, могут обладать высокой токсичностью и мутагенностью [17], поэтому экологически чистые материалы типа никотинамида (НА), являющегося основным компонентом комплекса витаминов группы В и реакционноспособной частью никотинамидадениндинуклеотида, считают перспективным материалом для получения МИП [18].
В настоящей работе изучена возможность использования стеклоуглеродного электрода (СУЭ), модифицированного композитом из электроосажденных частиц палладия и МИП на основе никотинамида (МИП-СУЭ), для селективного вольтамперометрического определения ДА в присутствии АД и НАД.
ЭКСПЕРИМЕНТАЛЬНАЯ ЧАСТЬ
Циклические вольтамперограммы (ЦВА) регистрировали с помощью бипотенциостата DropSens μSTAT400 (Испания) с трехэлектродной электрохимической ячейкой объемом 10 мл, в которой рабочим электродом являлся СУЭ. В качестве электрода сравнения и вспомогательного электрода применяли хлоридсеребряный и платиновый электроды соответственно. Циклические вольтамперограммы регистрировали при скорости наложения потенциала (v) 10–100 мВ/с.
Электроосаждение частиц палладия на поверхности СУЭ проводили потенциостатически из раствора, содержащего хлорид палладия (PdCl2) х. ч. (Экофарм, Россия).
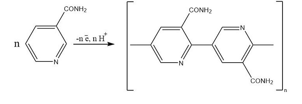
Формирование МИП на поверхности СУЭ проводили путем электрополимеризации из раствора никотинамида х. ч. (Aldrich, Германия) в присутствии молекулы-темплата ДА в условиях циклической вольтамперометрии по схеме 1 [19]:
Схема 1. Электрополимеризация никотинамида.
Предварительно СУЭ выдерживали в течение 20 мин при комнатной температуре в фосфатном буферном растворе (стандарт-титр, ЗАО “Уралхиминвест”, Россия), содержащем 10 мкМ НА и 6.5 мкМ ДА для образования предполимеризационного комплекса между молекулами НА и ДА [20]. Далее для получения пленки МИП сканировали потенциал в диапазоне от -1.0 В до +2.0 В в течение 20 циклов при v = 0.1 В/с. Внедренный ДA удаляли электрохимически путем потенциодинамического электролиза, сканируя потенциал между -0.2 В и +0.8 В в фосфатном буферном растворе в течение нескольких циклов до исчезновения пика окисления ДА.
Композит из МИП и частиц палладия на поверхности электрода получали двумя способами: сначала на поверхности СУЭ формировали МИП, а затем электроосаждали частицы палладия (Pd-МИП-СУЭ) или сначала электроосаждали частицы палладия на поверхности рабочего электрода, а затем формировали МИП (МИП-Pd-СУЭ).
Растворы ДА, АД и НАД готовили по точным навескам реактивов х. ч. (Aldrich, Германия). Растворы меньших концентраций получали разбавлением исходного раствора непосредственно перед измерениями. В качестве фонового электролита использовали 0.1 М H2SO4 (стандарт-титр, ЗАО “Уралхиминвест”, Россия).
Импедиметрические измерения проводили с помощью потенциостата-гальваностата AUTOLAB PGSTAT 204N (Нидерланды) со встроенным модулем FRA32M. Спектроскопию электрохимического импеданса применяли для модельной системы, состоящей из 1 мМ смеси гексацианоферрата(II)/(III) калия х. ч. (Aldrich, Германия) в среде 0.1 М KCl х.ч. (Aldrich, Германия) в диапазоне частот от 100 кГц до 0.01 Гц с амплитудой 5 мВ при потенциале 0.24 В. Потенциал рассчитывали как полусумму потенциалов пиков окисления и восстановления редокс-пары [Fe(CN)6]3-/4-.
В качестве биологического объекта использовали урину. Сбор урины проводили натощак с использованием коммерчески доступного стерильного контейнера. Биологический материал хранили не более 2 ч после забора при комнатной температуре и не более 24 ч при 4°С.
При анализе урины предварительно удаляли белки, так как их присутствие в пробе может блокировать поверхность электрода и снижать чувствительность и точность определения. Раствор центрифугировали в течение 3 мин при скорости 3500 об/мин для того, чтобы отделить нерастворимые компоненты. Далее 5 мл полученной пробы разбавляли до 10 мл фоновым электролитом. Дофамин определяли методом ЦВА на модифицированном электроде.
РЕЗУЛЬТАТЫ И ИХ ОБСУЖДЕНИЕ
Электроокисление дофамина на электроде, модифицированном молекулярно-импринтированным полимером из никотинамида. На ЦВА, полученных при окислении ДА на немодифицированном СУЭ в кислой среде, регистрируется растянутый анодный пик при потенциале пика (Еп) 0.75 В (рис. 1а, кривая 1). Зависимость высоты анодного пика от концентрации этого соединения линейна в интервале 5 × 10–4–5 × 10–3 М.
Рис. 1. Циклические вольтамперограммы, полученные на немодифицированном СУЭ (1) и МИП-СУЭ (2) в присутствии дофамина (с = 5×10–3 М) на фоне 0.1 М Н2SO4 (а); зависимость от при электроокислении дофамина на электроде МИП-СУЭ (б).
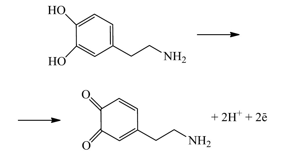
Электродные реакции, протекающие на СУЭ в растворах ДА, включают 2-электронный процесс, который сопровождается переносом двух протонов с образованием о-хиноидного фрагмента в структуре продукта окисления этого биогенного амина. Электрохимический процесс соответствует следующему уравнению (схема 2) [21]:
Схема 2. Электроокисление дофамина.
На анодной ветви ЦВА окисления ДА, полученной на электроде МИП-СУЭ, имеется широкий пик при Еп = 0.55 В (рис. 1а, кривая 2). При этом величина аналитического сигнала пропорциональна концентрации ДА в интервале от 5 × 10–5 до 5 × 10–3 М. Эта зависимость описывается следующим уравнением:
lgI = (3.0 ± 0.3) + + (0.29 ± 0.02) lgс; (I, мкА; с, М); R = 0.994.
По сравнению с немодифицированным СУЭ на электроде МИП-СУЭ наблюдается увеличение тока окисления катехоламина в 2.4 раза и уменьшение потенциала пика его окисления на 200 мВ. Уменьшение потенциала окисления ДА на электроде МИП-СУЭ объясняется электронопроводящими свойствами образующейся полимерной пленки и, как следствие, увеличением скорости переноса электрона.
Поскольку в биологических жидкостях, кроме ДА, присутствуют и другие катехоламины, оценили возможность использования электрода МИП-СУЭ для селективного определения ДА в присутствии АД и НАД. Способность электрода МИП-СУЭ распознавать молекулу-темплат оценивали с помощью импринтинг-фактора (IF), рассчитанного как отношение тока окисления органического соединения на ХМЭ на основе МИП (IМИП) к току его окисления на ХМЭ на основе неипринтированного полимера (IНИП): IF = IМИП/ IНИП. Импринтинг-фактор составил 3.2, 3.8, 3.1 для ДА, АД и НАД соответственно, что указывает на возможность использования этого электрода для распознавания рассматриваемых катехоламинов. Селективное вольтамперометрическое определение рассматриваемых катехоламинов при совместном присутствии на этом ХМЭ затруднено, так как окисление ДА, АД и НАД происходит при близких потенциалах, при этом регистрируемые пики перекрывают друг друга.
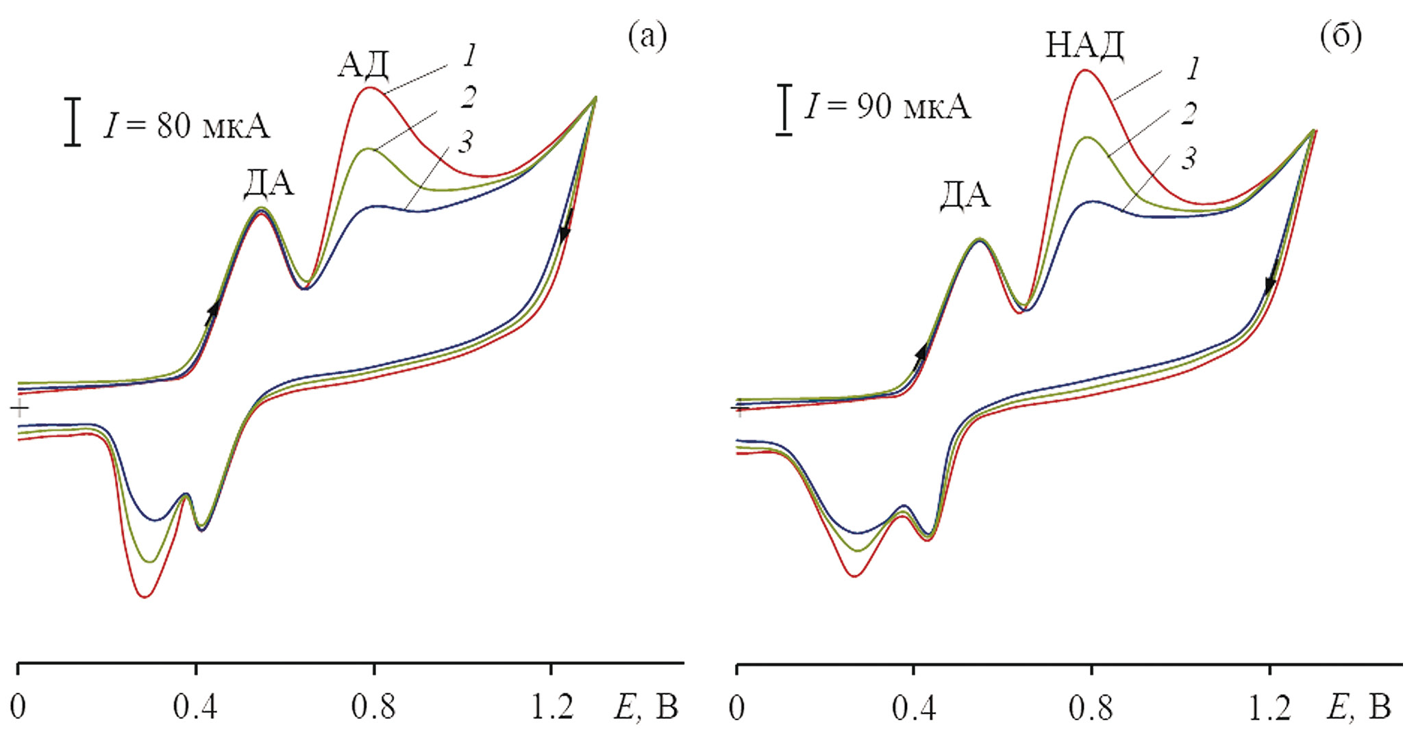
Электрокаталитическое окисление дофамина на электродах, модифицированных частицами палладия и молекулярно-импринтированным полимером из никотинамида. Ранее [22], установлена возможность избирательного определения ДА и АД на углеродном электроде с электроосажденными наночастицами палладия. В данной работе изучили электрохимическое поведение ДА в отсутствие и в присутствии АД и НАД на композитных электродах на основе МИП и электроосажденных частиц палладия. На рис. 2а приведены вольтамперограммы окисления ДА на электродах Pd-МИП-СУЭ (кривая 2) и МИП-Pd-СУЭ (кривая 3).
Рис. 2. Циклические вольтамперограммы, полученные на МИП-Pd-СУЭ (1, 3) и Pd-МИП-СУЭ (2) в отсутствие (1) и в присутствии (2, 3) дофамина (с = 5 × 10–3 М) на фоне 0.1 М Н2SO4 (а); зависимость от при электроокислении дофамина на МИП-Pd-СУЭ (б).
При окислении ДА на рассматриваемых ХМЭ на анодной ветви ЦВА имеется узкий пик. Электроокисление ДА на этих электродах происходит при одинаковых потенциалах – при Еп = 0.55 В. Достигнутая высота пика в несколько раз превышает высоту пика окисления модификатора и растет с увеличением концентрации аналита. Можно предположить, что уменьшение перенапряжения и увеличение тока на электродах Pd-МИП-СУЭ и МИП-Pd-СУЭ связано с каталитическими свойствами металлического модификатора [22]. Наибольшая величина тока пика окисления ДА (Iп) получена при использовании электрода МИП-Pd-СУЭ (табл. 1, рис. 2а, кривая 3).
Таблица 1. Вольтамперометрические характеристики окисления дофамина и параметры электрохимического импеданса электродов (n = 5, P = 0.95)
Электрод | Iп, мкА | Ret, кОм |
СУ | 56.1± 1.7 | 26.2 ± 0.8 |
Pd-СУ | 125 ± 4 | 4.9 ± 0.2 |
Pd-МИП-СУ | 210 ± 6 | 0.81 ± 0.03 |
МИП-Pd-СУ | 332 ± 9 | 0.110 ± 0.006 |
Для характеристики электронного переноса на рассматриваемых электродах использовали спектроскопию электрохимического импеданса. На рис. 3 представлены соответствующие диаграммы Найквиста. Полукруг в области высоких частот соответствует лимитирующей стадии переноса заряда. Прямолинейный участок для модифицированных электродов в области меньших частот описывает диффузионную составляющую переноса заряда. Для модифицированных электродов диаметр полукруга существенно меньше, чем для СУЭ, что свидетельствует об увеличении скорости переноса заряда. Как видно из данных табл. 1, для модифицированных электродов значительно снижается сопротивление переносу электрона (Ret) по сравнению с СУЭ (в 5 раз для Pd-СУЭ, в 32 раза для Pd-МИП-СУЭ и в 236 раз для МИП-Pd-СУЭ). Таким образом, электроды, модифицированные МИП и частицами палладия, характеризуются высокой скоростью переноса электрона, причем наилучшими характеристиками обладает электрод МИП-Pd-СУЭ.
Рис. 3. Диаграммы Найквиста, полученные на немодифицированном СУЭ (1), на Pd-СУЭ (2) (а), на Pd-МИП-СУЭ (3) и МИП-Pd-СУЭ (4) (б) в присутствии 1.0 мМ K4[Fe(CN)6]/K3Fe(CN)6 на фоне 0.1 М KCl в диапазоне частот от 0.01 Гц до 10 кГц с амплитудой 5 мВ при потенциале 0.24 В.
Положительный наклон зависимости от , полученный при окислении ДА на электроде МИП-Pd-СУЭ (рис. 2б), как и в случае электрода МИП-СУЭ (рис. 1б), свидетельствует об адсорбционном вкладе в значение тока за счет присутствия в структуре полимерной пленки участков (отпечатков), способных к специфическому взаимодействию с молекулами субстрата.
Величина аналитического сигнала на электроде МИП-Pd-СУЭ пропорциональна концентрации ДА в интервале от 5 × 10–9 до 5 × 10–3 М. Зависимость описывается следующим уравнением:
lgI = (3.3 ± 0.2) + + (0.24 ± 0.01) lgс; (I, мкА; с, М); R = 0.991.
Правильность методики определения рассматриваемых соединений оценивали методом введено–найдено. Относительное стандартное отклонение (sr) не превышает 4.0% во всем диапазоне концентраций (табл. 2). Правильность характеризовали степенью открытия: СО = (снайдено/свведено) × 100 %. Полученные значения СО, которые составили 99–101% (табл. 2), подтверждают правильность разработанной методики.
Таблица 2. Результаты вольтамперометрического определения дофамина на электроде МИП-Pd-СУ на фоне 0.1 М H2SO4 (n = 6, P = 0.95)
Введено, мкМ | Найдено, мкМ | СО, % | sr |
0.50 | 0.500 ± 0.014 | 100 | 0.03 |
1.50 | 1.49 ± 0.06 | 99 | 0.04 |
2.50 | 2.52 ± 0.08 | 101 | 0.03 |
Изучили электрохимическое поведение ДА, АД и НАД при совместном присутствии на электроде МИП-Pd-СУЭ. Как и в случае электрода с электроосажденными частицами палладия [22], на анодной ветви циклической вольтамперограммы окисления ДА и АД на электроде МИП-Pd-СУЭ наблюдаются два пика. Дофамин окисляется при Еп = 0.55 В, АД – при Еп = 0.75 В. Аналогичная картина наблюдается при окислении ДА в присутствии НАД. Различие в потенциалах окисления (разность потенциалов пиков составляет 200 мВ) позволяет селективно определять ДА в присутствии АД и НАД.
Для учета взаимного влияния этих соединений на аналитический сигнал, регистрируемый при электроокислении ДА на ХМЭ, использовали метод добавок, в ходе которого варьировали концентрации мешающего компонента смеси при постоянной концентрации ДА. При определении ДА в смеси ДА/АД или ДА/НАД последовательно регистрировали циклические вольтамперограммы в растворах с постоянной концентрацией ДА (с = 5 × 10–3 М) и возрастающими концентрациями АД или НАД в интервале от 5 × 10–5 М до 5 × 10–3. На рис. 4 приведены циклические вольтамперограммы окисления ДА в присутствии АД или НАД на электроде МИП-Pd-СУЭ. Видно, что присутствие в растворе АД и НАД в исследуемом интервале концентраций не влияет на вольт-амперные характеристики окисления ДА.
Рис. 4. Циклические вольтамперограммы, полученные на МИП-Pd-СУЭ при электроокислении дофамина (c = 5×10–3 М) в присутствии адреналина с концентрацией 5 × 10–5 (1), 5 × 10–4 (2), 5 × 10–3 (3) М (а) и норадреналина с концентрацией 5 × 10–5 (1), 5 × 10–4 (2), 5 × 10–3 (3) М (б) на фоне 0.1 М Н2SO4.
Таким образом, вольтамперометрический способ определения ДА на электроде МИП-СУЭ отличается высокой селективностью и чувствительностью благодаря свойствам молекулярной памяти МИП, центры распознавания которого имеют форму и размер отпечатков молекул-темплата ДА. Однако на поверхности электрода, модифицированного МИП, вместе с ДА возможно концентрирование структурно близких соединений. Для разделения пиков окисления катехоламинов использовали каталитические свойства палладия в составе электрода МИП-Pd-СУЭ, поскольку наличие иммобилизованных на СУЭ микро- и наночастиц палладия с различной электрохимической активностью приводит к разделению пиков электроокисления ДА и АД, НАД. Снижение перенапряжения и увеличение токов окисления этих соединений наблюдается и на электроде Pd-МИП-СУЭ, но в меньшей степени, что, вероятно, связано с ограничением накопления молекул-темплата в полостях МИП из-за электроосажденных в них частиц палладия. В связи с этим для определения ДА в образцах урины использовали композитный электрод МИП-Pd-СУЭ.
Вольтамперометрическое определение дофамина на электроде, модифицированном частицами палладия и молекулярно-импринтированным полимером из никотинамида, в урине. Предложенный вольтамперометрический способ позволяет селективно определять ДА с высокой чувствительностью в урине. Степень открытия при определении ДА в образцах урины составляет 98–99% (табл. 3), что подтверждает отсутствие влияния матричных компонентов (НАД, АД, мочевой кислоты, глюкозы, мочевины, аминокислот и др.) и высокую точность определения ДА на электроде МИП-Pd-СУЭ. Все это указывает на возможность применения предлагаемого электрода для вольтамперометрического определения ДА в реальных образцах.
Таблица 3. Результаты вольтамперометрического определения дофамина в образцах урины на электроде МИП-Pd-СУ на фоне 0.1 М H2SO4 (n = 6, P = 0.95)
Образец | Норма, мкМ [23] | Введено, мкМ | Расчет, мкМ | Найдено, мкМ | СО, % | sr |
№ 1 | 0.34–2.6 | – | – | 2.50 ± 0.08 | – | 0.02 |
0.5 | 3.0 | 2.95 ± 0.09 | 98 | 0.03 | ||
1.0 | 3.5 | 3.47 ± 0.06 | 99 | 0.02 | ||
5.0 | 7.5 | 7.42 ± 0.22 | 99 | 0.04 | ||
№ 2 | – | – | 1.81 ± 0.05 | – | 0.03 | |
0.5 | 2.3 | 2.26± 0.09 | 98 | 0.04 | ||
1.0 | 2.8 | 2.77 ± 0.08 | 99 | 0.03 | ||
5.0 | 6.8 | 6.7 ± 0.3 | 98 | 0.05 |
* * *
Таким образом, разработан модифицированный электрод с иммобилизованным композитом на основе электроосажденных частиц палладия и молекулярно-импринтированного полимера, полученного из экологически чистого мономера – никотинамида. Используемый композитный электрод позволяет проводить селективное вольтамперометрическое определение дофамина в присутствии адреналина и норадреналина с высокой чувствительностью. Предложенный способ опробован при анализе образцов урины.
ФИНАНСИРОВАНИЕ РАБОТЫ
Работа выполнена за счет средств Программы стратегического академического лидерства Казанского (Приволжского) федерального университета (“Приоритет-2030”).
СОБЛЮДЕНИЕ ЭТИЧЕСКИХ СТАНДАРТОВ
Все исследования проводились в соответствии с принципами биомедицинской этики, изложенными в Хельсинкской декларации 1964 г. и последующих поправках к ней. Биологические образцы были предоставлены авторами публикации. Каждый участник исследования дал добровольное письменное информированное согласие после получения разъяснений о потенциальных рисках и преимуществах, а также о характере предстоящего исследования.
КОНФЛИКТ ИНТЕРЕСОВ
Авторы данной работы заявляют, что у них нет конфликта интересов.
Об авторах
Л. Г. Шайдарова
Казанский федеральный университет
Автор, ответственный за переписку.
Email: larisashaidarova@mail.ru
Химический институт им. А.М. Бутлерова
Россия, ул. Кремлевская, 18, Казань, 420008И. А. Челнокова
Казанский федеральный университет
Email: larisashaidarova@mail.ru
Химический институт им. А.М. Бутлерова
Россия, ул. Кремлевская, 18, Казань, 420008Д. Ю. Хайруллина
Казанский федеральный университет
Email: larisashaidarova@mail.ru
Химический институт им. А.М. Бутлерова
Россия, ул. Кремлевская, 18, Казань, 420008Ю. А. Лексина
Казанский федеральный университет
Email: larisashaidarova@mail.ru
Химический институт им. А.М. Бутлерова
Россия, ул. Кремлевская, 18, Казань, 420008Г. К. Будников
Казанский федеральный университет
Email: larisashaidarova@mail.ru
Химический институт им. А.М. Бутлерова
Россия, ул. Кремлевская, 18, Казань, 420008Список литературы
- Liu X., Liu J. Biosensors and sensors for dopamine detection // View. 2021. V. 2. № 1. Article 20200102. https://doi.org/10.1002/VI W.20200102
- Ramesh S., Arachchige A.S.P.M. Depletion of dopamine in Parkinson’s disease and relevant therapeutic options: A review of the literature // AIMS Neurosci. 2023. V. 10. № 3. P. 200. https://doi.org/10.3934/Neuroscience.2023017
- Moghaddam B., Abbas A.I. Depression and prefrontal cortex: All roads lead to dopamine // Biol. Psychiatry. 2022. V. 91. № 9. P. 773. https://doi.org/10.1016/j.biopsych.2022.02.015
- Olivares-Hernández A., Figuero-Pérez L., Cruz-Hernandez J.J., González Sarmiento R., Usategui-Martin R., Miramontes-González J.P. Dopamine receptors and the kidney: An overview of health-and pharmacological-targeted implications // Biomolecules. 2021. V. 11. № 2. P. 254. https://doi.org/10.3390/biom11020254
- Shakeel F., Fazal M.W., Zulfiqar A., Zafar F., Akhtar N., Ahmed A., Shafiq Z. Melamine-derived N-rich C-entrapped Au nanoparticles for sensitive and selective monitoring of dopamine in blood samples // RSC Adv. 2022. V. 12. № 40. P. 26390.
- Perry M., Li Q., Kennedy R.T. Review of recent advances in analytical techniques for the determination of neurotransmitters // Anal. Chim. Acta. 2009. V. 653. P. 1. htps://doi.org/10.1016/j.aca.2009.08.038
- Tampu R.I., Finaru A., Elfakir C. Determination of catecholamines and related molecules in brain extract using a hydrophilic interaction liquid chromatography mass spectrometry method // Sci. Study Res. Chem. Chem. Eng., Biotechnol., Food Ind. 2020. V. 21. № 1. P. 59.
- Шайдарова Л.Г., Будников Г.К. Химически модифицированные электроды на основе благородных металлов, полимерных пленок или их композитов в органической вольтамперометрии // Журн. аналит. химии. 2008. Т. 63. № 10. С. 1014. (Shaidarova L.G., Budnikov G.K. Chemically modified electrodes based on noble metals, polymer films, or their composites in organic voltammetry // J. Anal. Chem. 2008. V. 63. № 10. P. 922. https://doi.org/10.1134/S106193480810002X)
- Sajid M., Baig N., Alhooshani K. Chemically modified electrodes for electrochemical detection of dopamine: Challenges and opportunities // Trends Anal. Chem. 2019. Т. 118. P. 368. https://doi.org/10.1016/j.trac.2019.05.042
- Nasa K., Kurnia I., Hartati Y.W., Einaga Y. Low-interference norepinephrine signal on dopamine detection using nafion-coated boron doped diamond electrodes // Biosens. Bioelectron. 2023. V. 220. Article 114892. https://doi.org/10.1016/j.bios.2022.114892
- de Matos Morawski F., Xavier B.B., Virgili A.H., dos Santos Caetano K., de Menezes E.W., Benvenutti E.V., Arenas L.T. A novel electrochemical platform based on mesoporous silica/titania and gold nanoparticles for simultaneous determination of norepinephrine and dopamine // Mater. Sci. Eng. C. 2021. V. 120. Article 111646. https://doi.org/10.1016/j.msec.2020.111646
- Yin B., Zhai H.L., Zhao B.Q., Bi K.X., Mi J.Y. Chemometrics-assisted simultaneous voltammetric determination of multiple neurotransmitters in human serum // Bioelectrochemistry. 2021. V. 139. Article 107739. https://doi.org/10.1016/j.bioelechem.2021.107739
- Vinoth V., Natarajan L.N., Mangalaraja R.V., Valdes H., Anandan S. Simultaneous electrochemical determination of dopamine and epinephrine using gold nanocrystals capped with graphene quantum dots in a silica network // Microchim. Acta. 2019. V. 186. P. 1. https://doi.org/10.1007/s00604-019-3779-9
- Fatma S., Prasad B.B., Jaiswal S., Singh R., Singh K. Electrochemical simultaneous analysis of dopamine and epinephrine using double imprinted One MoNomer acryloylated graphene oxide-carbon black composite polymer // Biosens. Bioelectron. 2019. V. 135. P. 36. https://doi.org/10.1016/j.bios.2019.04.016
- Ndunda E.N. Molecularly imprinted polymers – A closer look at the control polymer used in determining the imprinting effect: A mini review // J. Mol. Recognit. 2020. V. 33. № 11. P. 2855. https://doi.org/10.1002/jmr.2855
- Villa C.C., Sánchez L.T., Valencia G.A., Ahmed S., Gutiérrez T.J. Molecularly imprinted polymers for food applications: A review // Trends Food Sci. Technol. 2021. V. 111. P. 642. https://doi.org/10.1016/j.tifs.2021.03.003
- Viveiros R., Rebocho S., Casimiro T. Green strategies for molecularly imprinted polymer development // Polymers. 2018. V. 10. № 3. P. 306. https://doi.org/10.3390/polym10030306
- Li B., Zhou Y., Wu W., Liu M., Mei S., Zhou Y., Jing T. Highly selective and sensitive determination of dopamine by the novel molecularly imprinted poly (nicotinamide)/CuO nanoparticles modified electrode // Biosens. Bioelectron. 2015. V. 67. P. 121. https://doi.org/10.1016/j.bios.2014.07.053
- Zhu X., Lin X. Eletropolymerization of niacinamide for fabrication of electrochemical sensor: Simultaneous determination of dopamine, uric acid and ascorbic acid // Chin. J. Chem. 2009. V. 27. № 6. P. 1103. https://doi.org/10.1002/cjoc.200990184
- Лисичкин Г.В., Крутяков Ю.А. Материалы с молекулярными отпечатками: синтез, свойства, применение // Успехи химии. 2006. Т. 75. № 10. С. 998. https://doi.org/10.1070/RC2006v075n10ABEH003618
- Ribeiro J.A., Fernandes P.M., Pereira C.M., Silva F. Electrochemical sensors and biosensors for determination of catecholamine neurotransmitters: A review // Talanta. 2016. V. 160. P. 653. https://doi.org/10.1016/j.talanta.2016.06.066
- Шайдарова Л.Г., Челнокова И.А., Лексина Ю.А., Гедмина А.В., Будников Г.К. Использование двойного планарного электрода с наночастицами палладия для проточно-инжекционного амперометрического определения дофамина и адреналина // Журн. аналит. химии. 2020. Т. 75. С. 736. https://doi.org/10.31857/S0044450220080137 (Shaidarova L.G., Chelnokova I.A., Leksina Y.A., Gedmina A.V., Budnikov H.C. A dual screen-printed electrode with palladium nanoparticles for the flow-injection amperometric determination of dopamine and adrenaline // J. Anal. Chem. 2020. V. 75. № 8. P. 1059.)
- Grouzmann E., Lamine F. Determination of catecholamines in plasma and urine // Best Pract. Res. Clin. Endocrinol. Metab. 2013. V. 27. P. 713. https://doi.org/10.1016/j.beem.2013.06.004
Дополнительные файлы









