Pyridine-2,6-dicarboxylic acid esters – new ligands for extraction and determination of metals
- Authors: Kazanina D.А.1, Alyapyshev M.Y.2, Polukeev V.А.3, Babain V.А.1, Kirsanov D.O.4
-
Affiliations:
- Khlopin Radium Institute
- Polymetal Engineering JSC
- Vekton JSC
- Saint Petersburg State University
- Issue: Vol 79, No 12 (2024)
- Pages: 1300-1316
- Section: ORIGINAL ARTICLES
- Submitted: 06.03.2025
- Accepted: 06.03.2025
- URL: https://journal-vniispk.ru/0044-4502/article/view/282597
- DOI: https://doi.org/10.31857/S0044450224120038
- EDN: https://elibrary.ru/sttrqd
- ID: 282597
Cite item
Full Text
Abstract
N,O-Hybrid donor ligands are promising compounds for the isolation and separation of actinides and lanthanides from technological solutions during the processing of spent nuclear fuel. New synthesized N,O-hybrid donor ligands – derivatives of 2,6-pyridindicarboxylic acid – have been studied as extractants and membrane components for potentiometric sensors. The extraction ability of solutions of these compounds in meta-nitrobenzotrifluoride with respect to d- and f-elements from solutions of nitric and perchloric acids has been studied. It has been shown that the replacement of a mide groups with ester groups reduces the extraction ability of ligands. The transition from nitric acid to chloric acid gives a sharp increase in the extraction capacity due to the perchlorate effect. A significant increase in the extraction capacity is also observed when chlorinated cobalt dicarbollide is added to the organic phase: the highest distribution coefficient is obtained with a ratio of the concentrations of the extractant and the additive 1:1. Potentiometric membrane sensors based on new ligands have demonstrated significant sensitivity to Cd2+. The correlation between the behavior of new ligands in extraction and in potentiometric measurements has been studied.
Full Text
Образование комплексов металл-лиганд является ключевой стадией в жидкостной экстракции и в потенциометрии. Взаимодействие ион-лиганд определяет свойства полимерных сенсорных мембран, и то же взаимодействие определяет стабильность комплекса при жидкостной экстракции, из-за чего можно предположить близкое сходство этих процессов в обоих случаях [1]. Показано, что традиционные экстрагенты, такие как карбамоилфосфиноксиды, диоксиды дифосфинов, диамиды дигликолевой кислоты, проявляют себя как высокочувствительные ионофоры к металлам, в том числе к редкоземельным элементам (РЗЭ). Тенденция, которая наблюдается при экстракции – тяжелые РЗЭ экстрагируются лучше легких, прослеживается и в сенсорах – чувствительность к тяжелым РЗЭ выше, чем к легким [2].
N,O-гибридные донорные лиганды, имеющие в своей структуре атомы азота (“мягкие” реакционные центры) и атомы кислорода (“жесткие” реакционные центры), активно изучаются как потенциальные экстрагенты актинидов и лантанидов, проявляющие селективность к актинидам [3–6]. Эти соединения также изучены в качестве ионофоров в сенсорах. Так, сенсоры на основе диамидов 2,6-пиридиндикарбоновой кислоты [7] проявляют чувствительность как к лантанидам, так и к d -элементам. Величина чувствительности растет с увеличением атомного номера РЗЭ (самые высокие отклики наблюдаются для Yb и Lu – около 24 мВ/декада). Эти сенсоры проявляют чувствительность также к плутонию(IV) [8]. Диамиды 2,2-дипиридил-6,6-дикарбоновой кислоты экстрагируют актиниды более эффективно, чем РЗЭ, при этом чувствительность сенсоров на основе диамидов 2,2-дипиридил-6,6-дикарбоновй кислоты к разным РЗЭ отличается незначительно [9]. Диамиды 1,10-фенантролин-2,9-дикарбоновой кислоты эффективно экстрагируют легкие РЗЭ [10], однако сенсоры на их основе не проявляют чувствительности к РЗЭ [11]. На селективность экстракции в ряду РЗЭ сильно влияет структура лиганда [12, 13]. Экстрагенты, содержащие гетероциклическое ядро и фосфиноксидные или фосфонатные заместители [4, 14, 15], также экстрагируют РЗЭ из кислых растворов.
Известно, что производные пиридинкарбоновых кислот используются в качестве экстрагентов d-элементов, таких как медь [16] или кадмий [17]. Диамиды гетероциклических кислот также экстрагируют d-элементы [4]. Сенсоры на основе этих классов соединений также проявляют чувствительность к d-элементам. Особенно чувствительны мембраны на основе диамидов гетероциклических кислот к кадмию и свинцу [7, 11, 18] Сравнение экстракционной способности и чувствительности мембран на основе гетероциклических фосфонатов приведено в работе [19]. Показано, что кадмий(II), свинец(II) и в меньшей степени медь(II) хорошо экстрагируются 1,10-фенантролин-2,9-диамилфосфонатом в мета -нитробензотрифториде (Ф-3).
Несмотря на явную очевидность, корреляция между поведением лигандов в экстракции и в потенциометрических измерениях во многих случаях не является однозначной. Наблюдаемые расхождения могут быть объяснены различиями в используемой среде: при экстракции – это органический растворитель, при потенциометрических измерениях – пластифицированная полимерная мембрана. Поскольку поиск новых лигандов, способных демонстрировать уникальные свойства и поведение при экстракции и при проведении потенциометрических измерений, продолжается, исследования в обеих областях представляют большой интерес.
Установлено, что 2,9-производные 1,10-фенантролина (сложные эфиры и кетоны) обладают экстракционной способностью по отношению к америцию и европию, однако несколько меньшей по сравнению с амидами кислот [20, 21]. В работе [22] описаны комплексы эфиров пиридин-2,6-дикарбоновой кислоты с хлоридом меди(II). Интересно проверить, как скажется на экстракционной способности и чувствительности ионофора замена амидной группы на сложноэфирную. Переход к сложноэфирной группе, если верна аналогия с диэфирами фенантролиндикарбоновой кислоты, приведет к некоторому снижению экстракционной способности, однако можно было ожидать повышения селективности (во многих случаях менее сильные экстрагенты проявляют более высокую селективность). Ранее предпринимались попытки создать лиганд на основе пиридинового кольца, сочетающий в своем строении амидные и эфирные группы. Полимер на основе амидоэфира пиридин-2,6-дикарбоновой кислоты синтезирован в работе [23], исследованы его сорбционные свойства по отношению к ионам тяжелых металлов из соляной кислоты. В работе [24] получен и исследован комплекс амидоэфира пиридин-2,6-дикарбоновой кислоты с хлоридом цинка.
Цель настоящей работы – изучение новых N,O-гибридных донорных соединений – производных пиридин-2,6-дикарбоновой кислоты как в качестве экстрагентов d- и f-элементов, так и ионофоров пластифицированных мембран потенциометрических сенсоров.
ЭКСПЕРИМЕНТАЛЬНАЯ ЧАСТЬ
Синтез лигандов. 2,6-Пиридиндикарбоновую кислоту, N -этил- п -толуидин, 4-метокси-2,6-пиридиндикарбоновую кислоту и диметил 4-хлор-2,6-пиридиндикарбоксилат приобретали у компании Alinda Chemical Trade Company Ltd. (Гонконг, Китай), все остальные реагенты и растворители – в АО “Вектон” (Санкт-Петербург, Россия).
Диоктил 2,6-пиридиндикарбоксилат (DOPDA). К 2,6-пиридиндикарбоновой кислоте (5.0 г, 30 ммоль) добавляли свежеперегнанный тионилхлорид (40 мл, 600 ммоль) и полученную суспензию кипятили в атмосфере аргона в течение 16 ч с получением прозрачного желтого раствора. Избыток тионилхлорида удаляли при пониженном давлении, хлорангидрид кислоты растворяли в сухом CH2Cl2 (100 мл) и охлаждали до 0°С. К полученному раствору добавляли смесь 1-октанола (12.6 мл, 80 ммоль) и триэтиламина (9.3 мл, 66 ммоль) в сухом CH2Cl2 (30 мл). Поддерживали температуру 0 ± 5°С. После добавления раствора смесь перемешивали при комнатной температуре в течение 16 ч до прекращения образования белого осадка. Суспензию промывали полунасыщенным водным раствором хлорида аммония (2 × 6 мл) и водой (2 × 3 мл), а затем сушили над Na2SO4. CH2Cl2 удаляли вакуумной дистилляцией, избыток 1-октанола отгоняли при 90–92°C/14 мм рт. ст. Остаток медленно кристаллизовался при стоянии. Полученный сырой продукт отфильтровывали и промывали холодным гексаном (5 мл). Выход составил 4.7 г (40%), Тпл 36–38°C. 1H ЯМР спектр: 8.26t, 2H, CHpyr; 8.18–8.21m, 1H, CHpyr; 4.33t, 4H, OCH2; 1.69–1.76 m, 4H, CH2; 1.39t, 4H, CH2; 1.26t, 16H, CH2; 0.85t 6H, C–CH3.
Диоктил 4-метокси-2,6-пиридиндикарбоксилат (MPyDA) получали аналогичным способом из 4-метокси-2,6-пиридиндикарбоновой кислоты с выходом 48%, Тпл 50–51°C. 1H ЯМР спектр: 7.72s, 2H, CHpyr; 4.32t, 4H, OCH2, 3.98s, 3H, OCH3; 1.69–1.76 m, 4H, CH2; 1.26–1.30m 20H, CH2; 0.85t 6H, C–CH3.
Диметил 4-(4-циклогексилфенокси)-2,6-дикарбоксилат (CyPODA). К суспензии гидрида натрия (60% в минеральном масле, 0.64 г, 16 ммоль, промыт гексаном) в сухом диметилформамиде (ДМФА) (10 мл) при комнатной температуре при перемешивании добавляли раствор 4-циклогексилфенола (2.83 г, 16 ммоль) в сухом ДМФА (25 мл). После прекращения выделения водорода добавляли раствор диметил 4-хлор-2,6-пиридиндикарбоксилата (3.72 г, 16 ммоль) в сухом ДМФА (15 мл) и смесь нагревали при 100°C в течение 3 ч. После охлаждения смесь выливали на лед, образовавшийся осадок отфильтровывали и высушивали в вакуумном сушильном шкафу. Перекристаллизацией из бензола получили 2.63 г (44%), Тпл 149–151°C. 1H ЯМР спектр: 7.65s, 2H, CHpyr; 7.39d, 2H, CHAr; 7.18d, 2H, CHAr; 3.89s, 6H, OCH3; 2.55–2.60 m, 1H, CH; 1.80–1.85m 4H, CH2; 1.72t, 1H, CH2, 1.34–1.48m, 4H, CH2; 1.24–1,30t, 1H, CH2.
Метил 6-(N-4-толил)-N-этилкарбамоил)-пиридин-2-карбоксилат (TECDA). 6-метоксикарбонилпиридин-2-карбоновую кислоту готовили в соответствии с рекомендациями [25]. 6-метоксикарбонилпиридин-2-карбоновую кислоту (3.62 г, 20 ммоль) в сухом дихлорметане (40 мл) в атмосфере аргона кипятили с обратным холодильником в течение 1 ч с тионилхлоридом (25 мл, 358 ммоль) и ДМФА (0.01 мл). После выпаривания досуха остаток белого твердого вещества сушили в вакуумном эксикаторе, растворяли в сухом дихлорметане (10 мл) и добавляли по каплям к смеси N-этил-п-толуидина (2.71 г, 20 ммоль) и триэтиламина (2.22 г, 22 ммоль) в сухом дихлорметане (20 мл) в течение 1 ч, охлаждали на ледяной бане. Смесь перемешивали 16 ч, промывали 0.5 М раствором NaHCO3 (2 × 30 мл), H2O (2 × 15 мл), сушили над MgSO4, упаривали, остаток растворяли в горячем циклогексане, раствор фильтровали через силикагель и выпаривали досуха. Выход желтоватого масла составил 2.80 г (47%). 1H ЯМР спектр: (пики расширены из-за присутствия ротамеров) 7.86br, 2H, CHpyr; 7.55br, 1H, CHpyr; 7.01br, 4H, CHAr; 3.88br, 2H, NCH2; 3.84s, 3H, OCH3; 2.18br, 3H, Ar-CH3; 1.12t, 3H, C–CH3.
Структурные формулы синтезированных соединений представлены на схеме 1.
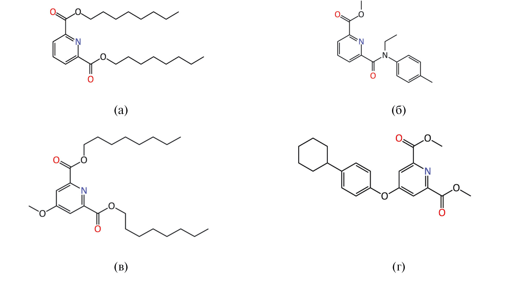
Схема 1. Структурные формулы синтезированных лигандов: (а) DOPDA – диоктил 2,6-пиридиндикарбоксилат, (б) TECDA – метил 6-(N-4-толил)-N-этилкарбамоил)-пиридин-2-карбоксилат, (в) MPyDA – диоктил 4-метокси-2,6-пиридиндикарбоксилат, (г) CyPODA – диметил 4-(4-циклогексилфенокси)-2,6-дикарбоксилат.
Сравнение DOPDA и MPyDA позволит определить, влияет ли дополнительный донорный заместитель на экстракционные свойства. Сравнение MPyDA и CyPODA позволит определить влияние длины алкильного радикала на экстракционные свойства. Сравнение свойств TECDA и DOPDA и изученных ранее диамидов пиридин-2,6-дикарбоновой кислоты позволит определить, насколько влияет на экстракцию замещение амидной группы на сложноэфирную.
Жидкостная экстракция. Растворы лигандов готовили в Ф-3 по точной навеске и перед экстракцией уравновешивали с раствором азотной кислоты той же концентрации, что и в эксперименте. Экстрагировали в течение 10 мин при интенсивном перемешивании. Предварительными экспериментами показано, что равновесие достигается в течение 3 мин. Фазы разделяли центрифугированием (центрифуга Biosan LMC-3000, 3 мин со скоростью 1000 об/мин). Для оценки сходимости все эксперименты проводили по меньшей мере три раза. Коэффициенты распределения америция и европия определяли радиометрически (гамма-спектрометр РАДЭК МКГБ-01) по формуле:
,
где Aорг – активность экстрагируемого вещества в органической фазе, Бк, Aвод – активность экстрагируемого вещества в водной фазе, Бк.
Каждую фазу измеряли по три раза. Отклонение от среднего значения в повторных измерениях не превышало 10%.
Использовали растворы солей (нитраты РЗЭ, Cu, Zn, Ni, Cd, Mo, Co, P b), U, Th квалификации х. ч. или ос. ч. Растворы готовили по точной навеске c последующим разбавлением до необходимой концентрации.
Стабильные металлы определяли на атомно-эмиссионном спектрометре EXPEC 6500 и рассчитывали коэффициент распределения по формуле:
,
где cисх – концентрация исходного раствора металла, мг/л; cвод – концентрация металла в водной фазе, мг/л. Для оценки сходимости все эксперименты также проводили по меньшей мере три раза, как и измерения водных фаз и исходных растворов металлов. Отклонение от среднего значения D > 0.1 в повторных измерениях не превышало 10%. Так как при малых значениях коэффициентов распределения погрешность резко возрастает, для D < 0.01 численные значения не приведены.
Перевод хлорированного дикарболлида кобальта (ХДК) в форму кислоты. Цезиевую соль Cs ХДК (содержание Co 9.35% и Cl 29.05%) производства KatChem (Чехия) переводили в H+-форму. Готовили 0.1 М раствор Cs ХДК в Ф-3 [26]. После растворения ХДК в Ф-3 пропускали приготовленный раствор через бумажный фильтр для удаления осадка. Далее к очищенному от примесей раствору Cs ХДК дважды приливали равный объем 3 М HClO 4 для удаления цезия в виде перхлората. Затем к раствору однократно приливали 0.5 М HNO3. Концентрацию Н+ХДК– определяли аналогично [27]. В коническую колбу с аликвотой раствора Н+ХДК– добавляли ацетон и несколько капель индикатора бромкрезолового зеленого. Затем титровали 0.1 М раствором NaOH до перехода желтой окраски в зеленую.
Приготовление сенсоров. Изучали потенциометрические сенсоры с жидкостным заполнением и полимерной мембраной, изготовленной из пластифицированного поливинилхлорида. В качестве пластификатора использовали o-нитрофенилоктиловый эфир фирмы SigmaAldrich (Германия). В качестве катионообменника использовали хлорированный дикарболлид кобальта в кислотной форме (10 ммоль/кг). Все сенсорные мембраны содержали 50 ммоль/кг лиганада (схема 1). Составы изготовленных мембран представлены в табл. 1.
Таблица 1. Состав (мас. %) сенсорных мембран
Лиганд | Лиганд | ХДК | ПВХ | НФОЭ |
DOPDA | 1.96 | 0.54 | 33 | 64.50 |
TECDA | 1.49 | 64.97 | ||
MPyDA | 2.11 | 64.35 | ||
CyPODA | 1.85 | 64.61 |
Примечание: НФОЭ – o-нитрофенилоктиловый эфир.
Сенсорные мембраны синтезировали по стандартной методике [2], растворяя все компоненты мембраны в свежеперегнанном тетрагидрофуране (ТГФ) и выдерживая полученный раствор в тефлоновом стакане в течение ночи до полного испарения ТГФ. Для оценки сходимости из каждого состава исходной мембраны готовили по три идентичных сенсора, в результате чего исследовали 12 потенциометрических сенсоров. Каждую мембрану наклеивали на верхнюю часть корпуса датчика из поливинилхлорида и после высыхания заполняли внутренним раствором – 0.01 М раствором NaCl. Датчики были оснащены изготовленными на заказ внутренними электродами сравнения Ag/AgCl.
Потенциометрические измерения проводили в водных растворах солей щелочных, щелочноземельных и переходных металлов. В случае лантанидов и актинидов измерения проводили в 0.01 М HNO3 для подавления гидролиза ионов металлов (pH 2). Значения электродвижущей силы регистрировали с помощью 32-канального цифрового милливольтметра ХАН 35 (ООО “Сенсорные системы”, Санкт-Петербург, Россия) с высоким входным сопротивлением в гальваническом элементе:
.
Измерения проводили в несимметричной ячейке, а внутренний раствор разработанных сенсоров не содержал целевых ионов. Это связано с тем, что предложенные в данной работе ионофоры ранее не изучались, поэтому сенсоры на их основе не рассматривались как селективные к конкретному иону, а изучались с точки зрения их аналитических возможностей.
В качестве электрода сравнения использовали Ag/AgCl электрод ЭВЛ 1 М 3.1 (ЗИП, Гомель, Беларусь), заполненный насыщенным раствором KCl. Для сбора и обработки данных милливольтметр подключали к персональному компьютеру через USB-кабель с помощью программного комплекса EchM (ООО “Сенсорные системы”, Санкт-Петербург, Россия). Все измерения проводили при комнатной температуре 20 ± 2°С.
Измерение чувствительности. Чувствительность разработанных сенсоров оценивали в диапазоне 10–6–10–2 М для щелочных, щелочноземельных и переходных металлов и 10–7–10–3 М для лантанидов и актинидов. Наклоны линейных участков градуировочных кривых рассчитывали по уравнению Нернста [28]:
,
где E0 – стандартный мембранный потенциал, В; R – универсальная газовая постоянная, Дж/(моль· K); T – абсолютная температура, К; F – число Фарадея, F = 96 500 Кл/моль; z+ – заряд определяемого иона, Kл; ai – активность определяемого иона.
Теоретическое значение чувствительности для однозарядных катионов составляет 59.1 мВ/д екада, для двухзарядных – 29.6 мВ/д екада, для трехзарядных – 19.7 мВ/д екада. Для оценки сходимости результатов проводили три повторных измерения для каждого сенсора и для каждого металла.
Измерения селективности. Селективность разработанных датчиков измеряли методом смешанных растворов [28]:
,
где Kij – коэффициент селективности; – активность основного иона; – активность мешающего иона.
Селективность – это мера относительной чувствительности электрода к определяемым ионам в присутствии мешающих ионов. Выбор мешающих и определяемых ионов основывался на сходстве их химических свойств. По этой причине для двухзарядных ионов сенсоры градуировали по растворам солей металлов в диапазоне 10–6–10–2 М при концентрации мешающего иона Cu2+ 10–5 М (для Sr2+ в качестве мешающего иона использовали Ca2+ с концентрацией 10–5 М). Для оценки сходимости также проводили три градуировки и рассчитывали стандартное отклонение. Пересчет концентраций в активности ионов не проводили, поскольку наклоны рассчитывали в диапазоне низких концентраций металлов от 10–5 до 10–2 М, где коэффициенты активности близки к единице.
Анализ данных. Для оценки влияния химической структуры лигандов на их экстракционные способности и сравнения их поведения при экстракции и потенциометрических измерениях использовали известный хемометрический метод – метод главных компонент (МГК) [29], который заключается в математическом разложении матрицы данных X на три компоненты:
,
где X – исходные данные; T – матрица счетов, элементами которой являются координаты образцов в новой системе координат, заданной главными компонентами (ГК); P – матрица нагрузок, элементы которой отражают вклад каждой из переменных исходного набора данных в направлении новых координат (ГК); E – матрица остатков, содержащая вариацию данных, не учтенную в рассчитанных ГК (остаточную дисперсию). Главные компоненты представляют собой новые геометрические координаты в пространстве исходных переменных, проведенные в направлении максимальной дисперсии в исходных данных. Каждая последующая ГК ортогональна предыдущей.
Матрицы (T и P) могут быть представлены в графическом виде: в виде графика счетов и графика нагрузок. График счетов (или карта образцов) описывает взаимное расположение образцов (лигандов) в пространстве ГК, а график нагрузок отражает влияние исходных переменных на координаты ГК.
В настоящей работе изучали две модели МГК для эффективного сравнения экстракционной способности изучаемых лигандов и чувствительности сенсоров, а также для понимания взаимосвязи между этими двумя параметрами. В качестве исходных переменных использовали чувствительность сенсоров к переходным металлам и коэффициенты распределения.
РЕЗУЛЬТАТЫ И ИХ ОБСУЖДЕНИЕ
Экстракция америция и европия из HNO 3 в присутствии хлорированного дикарболлида кобальта. Исследовали экстракцию америция и европия из 1–3 М HNO3 0.1 М растворами лигандов в Ф-3. Коэффициенты распределения Am и Eu для всех исследованных лигандов оказались ниже 0.01. В то же время при экстракции 0.1 М раствором N,N’-диэтил- N,N’-ди(пара-толил)пиридин дикарбосамидом (EtTDPA) в Ф-3 коэффициенты распределения америция увеличиваются от 0.22 (для 1 М HNO3) до 5.3 (для 3 М HNO3) [30]. Известно, что добавление объемного гидрофобного аниона, такого как ХДК, бромированный дикарболлид кобальта (Br - COSAN) или диоктилсульфосукцинат (AOT), к нейтральному лиганду способно увеличить экстракционную способность последнего за счет стабилизации экстрагируемого комплекса в органической фазе [20, 31–34].
Исследовали экстракцию Am и Eu из 1 M HNO3 0.01 М раствором лиганда в Ф-3 в присутствии 0.02 М ХДК. Для DOPDA, MPyDA и CyPODA синергетический эффект от добавления ХДК в органическую фазу оказался незначительным, значения коэффициентов распределения увеличились в 3–5 раз, но все равно оставались меньше 0.01. В то же время для TECDA обнаружено значительное увеличение степени извлечения в присутствии ХДК: DAm увеличился с 0.0015 до 0.9, DEu – с 0.002 до 0.5.
Изучали экстракцию металлов из азотной кислоты при различном соотношении ХДК и TECDA в органической фазе. На рис. 1 показана зависимость коэффициентов распределения Am и Eu от состава органической фазы. Наибольший коэффициент распределения достигается при соотношении концентраций TECDA и ХДК 1 : 1.
Рис. 1. Зависимость коэффициента распределения Am and Eu от состава органической фазы. Водная фаза – 1 М HNO3 и индикаторные количества 152Eu и 241Am. Органическая фаза – TECDA + ХДК в Ф-3; сХДК = 0.02 M.
Таким образом, замена амидных групп на сложноэфирные резко снижает экстракционную способность лигандов. Сложные эфиры, как пиридин-2,6-дикарбоновой, так и 4-алкокси пиридин-2,6-дикарбоновой кислот, практически не экстрагируют ни европий, ни америций. Снижение экстракционной способности выражено значительно сильнее, чем при переходе от диамидов фенантролиндикарбоновой кислоты к диэфирам фенантролиндикарбоновой кислоты [20]. Значительный синергетический эффект при добавлении ХДК, практически такой же, как для диамидов пиридиндикарбоновой кислоты [35], наблюдается и для TECDA, где имеется только один амидный заместитель. Для диэфиров DOPDA, MPyDA и CyPODA этот эффект становится незначительным.
Экстракция d-элементов из HNO3. Изучали экстракционную способность новых экстрагентов по отношению к d-элементам из 3 М HNO3 0.1 М растворами лиганда в Ф-3. Данные для TECDA, MPyDA и CyPODA представлены на рис. 2. Экстракционная способность DOPDA по отношению к d-элементам оказалась очень низкой: значения коэффициентов распределения металлов не превышают 0.01. Видно, что наибольшую экстракционную способность TECDA проявляет по отношению к Cd и Pb, в то время как MPyDA заметно извлекает только Cd. Коэффициенты распределения остальных металлов ниже 0.1. На примере Cd и Pb видно, что экстракционная способность лигандов уменьшается в ряду TECDA > MPyDA > CyPODA.
Рис. 2. Значения коэффициентов распределения металлов при экстракции из 3 M HNO3, cMe = 0.0002 M. Oрганическая фаза – 0.1 M раствор лиганда в Ф-3.
Для TECDA дополнительно изучали экстракцию выбранных металлов (Cd, Pb, Mo, Cu и Co) из 3 М HNO3 в зависимости от концентрации лиганда в органической фазе. Результаты представлены на рис. 3. С использованием этих данных методом сдвига равновесия рассчитали значения кажущихся сольватных чисел: 1.0 ± 0.1 для Co и Mo, 1.4 ± 0.2 для Cu и 2.0 ± 0.1 для Cd и Pb. Числа сольватации для металлов увеличиваются с ростом значения ионного радиуса металла: Cu2+ (0.57 Å) ≥ Co2+ (0.58 Å) > Cd2+ (0.95 Å) > Pb2+ (1.19 Å). Таким образом для Со и С u с относительно небольшим ионным радиусом характерно образование в органической фазе преимущественно моносольвата состава L · Me(NO3)2, а для более крупных ионов Cd и Pb в органической фазе образуется дисольват – L2 · Me(NO3)2.
Рис. 3. Зависимость коэффициентов распределения металлов от концентрации TECDA в Ф-3. Водная фаза – 3 M HNO3, cMe = 0.0002 M.
Экстракция f-элементов из HClO4. Хлорная кислота, более сильная, чем азотная, полностью диссоциирована в водных растворах, а перхлорат-ион является слабокоординирующим противоионом. Ранее для некоторых нейтральных полидентатных соединений, таких как карбамоилфосфиноксиды [36], полидентатные фосфорорганические соединения [37–39] был обнаружен перхлоратный эффект, который выражается в сильном увеличении значений коэффициентов распределения металлов при переходе от HNO3 к HClO4. Аналогичный эффект наблюдается для диамидов дигликолевой кислоты [40], пиридиндикарбоксамидов [41], фенантролинкарбоксамидов [42, 43] и фенантролиндифосфонатов [44]. Наши предварительные исследования показали, что лиганд TECDA не извлекает f-элементы из HNO 3, поэтому исследовали извлечение U(VI), Th(IV) и Ln(III) из 3 М HClO4 0.1 М раствором лиганда в Ф-3 (рис. 4). Для сравнения приведены также данные по извлечению Sc(III) и Y(III), которые традиционно относят к РЗЭ вместе с Ln(III). Как видно из рисунка, коэффициенты распределения при экстракции с помощью TECDA пропорционально увеличиваются с ростом атомного номера лантанида. С увеличением концентрации TECDA в органической фазе коэффициент распределения также увеличивается.
Рис. 4. Значения коэффициентов распределения металлов при экстракции из 3 M HClO4, cMe = 0.005 M. Органическая фаза – TECDA в Ф-3.
Методом сдвига равновесия рассчитали сольватные числа f-элементов, а также Sc и Y при экстракции из 3 М HClO4 экстракционной системой TECDA в Ф-3 (табл. 2). Числа сольватации Ln, Sc и Y близки друг к другу. Среднее число сольватации для этих металлов составляет 2.2 ± 0.2. Это означает, что доминирующими видами в органической фазе являются комплексы с соотношением Me и L 1: 2 ([L2 · Me(ClO4)3]).
Таблица 2. Сольватные числа f-элементов, а также Sc и Y при экстракции из 3 M HClO4 экстрагентом TECDA в мета-нитробензотрифториде (Ф-3)
Элемент | Сольватное число | Элемент | Сольватное число |
La | 2.2 ± 0.2 | Ho | 2.2 ± 0.2 |
Ce | 2.0 ± 0.2 | Er | 2.1 ± 0.2 |
Pr | 2.1 ± 0.2 | Tm | 2.3 ± 0.2 |
Nd | 2.1 ± 0.2 | Yb | 2.4 ± 0.2 |
Sm | 2.2 ± 0.2 | Lu | 2.3 ± 0.2 |
Eu | 2.2 ± 0.2 | Sc | 2.0 ± 0.2 |
Gd | 2.2 ± 0.2 | Y | 2.4 ± 0.2 |
Tb | 2.1 ± 0.2 | U | 0.6 ± 0.1 |
Dy | 2.2 ± 0.2 | Th | 2.6 ± 0.2 |
В нашей предыдущей работе [41] показано, что значения сольватных чисел сильно зависят от кислотности водной фазы. Числа сольватации европия в комплексе с EtTDPA изменяются от 1.5 до 3.8 в зависимости от концентрации HClO4. Для экстракции из 3 М HClO4 число сольватации европия в комплексе с EtTDPA составляет 3.5. Вероятно, TECDA обладает гораздо меньшими стерическими препятствиями, чем пиридиндикарбоксамиды, и нуждается в меньшем количестве лигандов для образования стабильного комплекса с перхлоратом металла. Вероятно, TECDA проявляет свойства, схожие с лигандами на основе фенантролина (фенантролиндикарбоксамиды [45], фенантролинкарбоксамиды [43] и фенантролиндифосфонаты [44]), которые имеют координационную полость гораздо большего размера, чем пиридиндикарбоксамиды, и также образуют комплексы [L2 · Me(ClO4)3] с перхлоратами лантанидов.
Потенциометрические измерения. Потенциометрические сенсоры были изготовлены с использованием пластифицированных полимерных мембран, содержащих новые лиганды. Сенсоры исследовали в водных растворах катионов металлов для изучения их чувствительности и селективности.
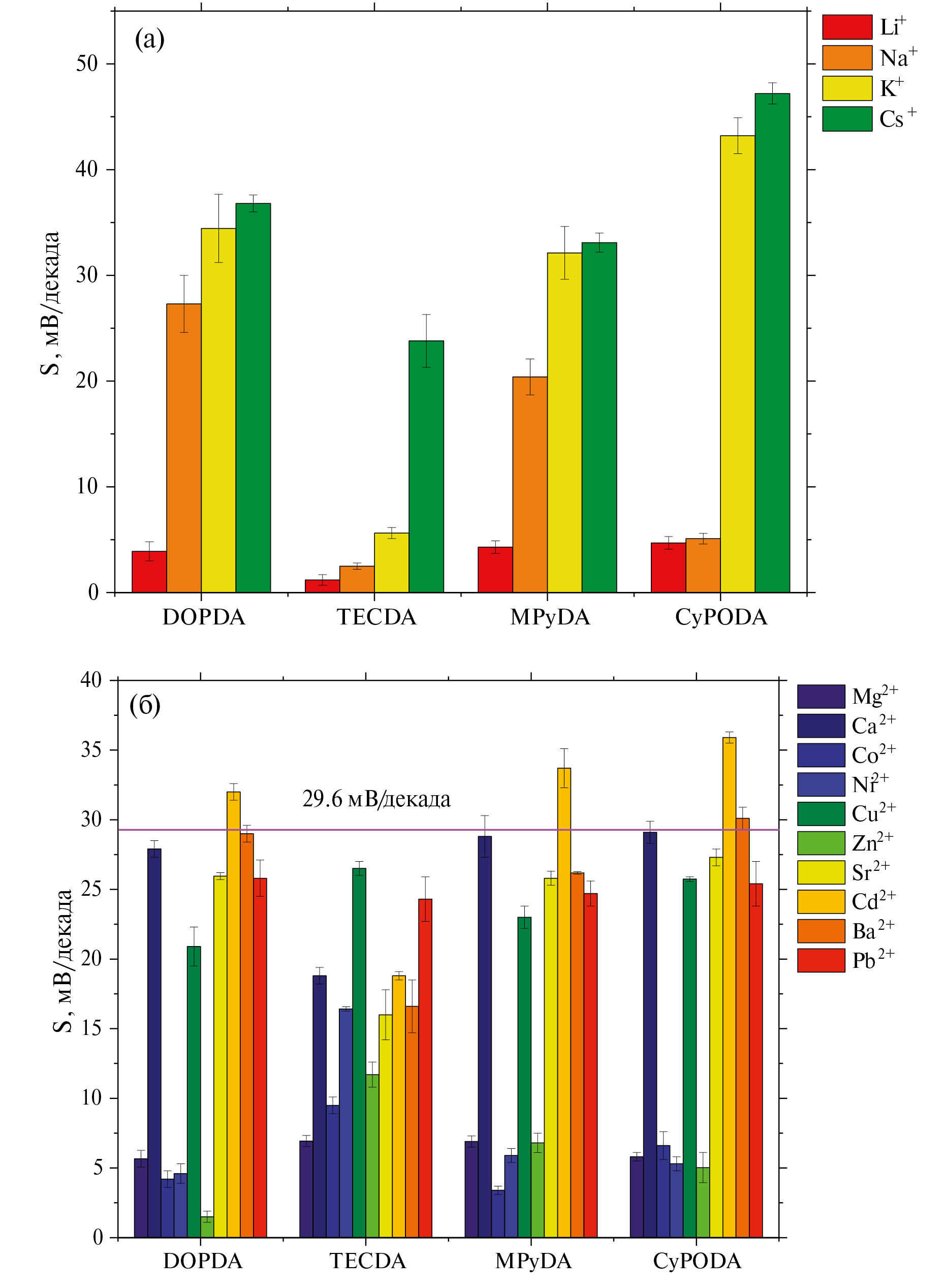
Чувствительность сенсоров к щелочным и щелочноземельным металлам. В качестве характерного примера на рис. 5 приведены экспериментальные кривые потенциометрического отклика сенсоров в водных растворах Cs+ и Ca2+. Видно, что изменение содержания металла вызывает катионный отклик сенсоров, и его величина зависит от состава мембраны сенсора. Рассчитанные чувствительности сенсоров к однозарядным и двухзарядным катионам в диапазоне концентраций 10–5–10–2 М представлены на рис. 6.
Рис. 5. Кривые потенциометрического отклика в водных растворах. (a) − Cs+, (б) − Ca2+.
Рис. 6. Чувствительность сенсоров к (a) однозарядным ионам, (б) двухзарядным ионам.
Теоретическое значение наклона линейной части электродной функции для однозарядных ионов составляет 59.1 мВ/декада в нормальных условиях. Как видно из рис. 6а, сенсоры не демонстрируют высокой чувствительности к рассматриваемым однозарядным элементам и все зарегистрированные значения ниже теоретических. Некоторое увеличение чувствительности для всех рассмотренных лигандов наблюдается с увеличением атомного номера элемента, а максимальная чувствительность получена для Cs+. Вероятно, это связано с возрастающей липофильностью катионов данного ряда.
В случае двухзарядных катионов теоретическое значение наклона составляет 29.6 мВ/д екада. Результаты (рис. 6б) показывают, что разработанные сенсоры с лигандами DOPDA, MPyDA, CyPODA чувствительны к двухзарядным катионам, особенно к Cd2+ (S (Cd2+) = 32.0–35.9 мВ/декада), максимальное значение чувствительности к которому наблюдается для сенсора на основе MPyDA (S (Cd2+) = 35.9 ± 0.4 мВ/декада). Причиной наблюдения супернернстовской чувствительности, по-видимому, может быть процесс гидролиза Cd2+, приводящий к образованию однозарядных катионов Cd (OH)+. Вероятно, сенсоры могут проявлять чувствительность к этим однозарядным ионам наряду с чувствительностью к двухзарядным катионам. Несмотря на супернернстовский отклик, полученные значения чувствительности хорошо воспроизводимы, поэтому эти сенсоры могут быть использованы для определения Cd2+ в водных растворах. Кроме того, сенсоры демонстрируют высокую чувствительность к Ca2+ (S (Ca2+) = 27.9–29.1 мВ/декада), Sr2+ (S (Sr2+) = 26.0–27.3 мВ/декада), Ba2+ (S (Ba2+) = 26.2–30.1 мВ/декада).
Сенсор на основе TECDA не показал значительной чувствительности к двухзарядным ионам, кроме Cu2+ (S (Cu2+) = 26.5 ± 0.5 мВ/декада) и Pb2+ (S (Pb2+) = 24.3 ± 1.6 мВ/декада).
На рис. 7 представлены результаты применения МГК в виде графиков счетов и нагрузок для изученных лигандов, рассчитанных по чувствительности сенсоров к переходным металлам (рис. 7а, б) и по экстракционной способности изученных лигандов (коэффициенты распределения переходных металлов, рис. 7в, г). Графики счетов (рис. 7a, c) позволяют удобно визуализировать сходства и различия в поведении лигандов как при потенциометрических измерениях, так и при экстракции. Причем расположение точек на графике рядом друг с другом указывает на сходство образцов (лигандов), а большое расстояние между ними – на их различия. Как видно из рис. 7а, сенсоры на основе лигандов MPyDA, CyPODA и DOPDA (по ГК1) имеют схожие характеристики чувствительности к некоторым двухзарядным катионам, в то время как сенсор на основе TECDA (по ГК1) значительно отличается от остальных. Наибольший вклад в это различие вносят катионы Cd2+, Cu 2+ и Ni 2+ (рис. 7б). Эти данные хорошо согласуются с результатами, представленными на рис. 6б, где сенсор на основе TECDA демонстрирует наибольшую чувствительность к Cu2+, Ni2+ и наименьшую к Cd2+ по сравнению с другими разработанными сенсорами. В отношении ГК2 наблюдается различие между сенсорами на основе MPyDA и DOPDA, что объясняется разной чувствительностью этих сенсоров к катионам Zn2+, Co2+ и Pb2+. Действительно, сенсор на основе DOPDA имеет более высокую чувствительность к Co2+ и Pb2+ и низкую чувствительность к Zn2+ по сравнению с сенсором на основе MPyDA.
Рис. 7. Графики нагрузок и счетов МГК для ГК1 и ГК2: (a) график счетов сенсоров на основе их чувствительности к переходным металлам, (б) график нагрузок на основе чувствительности сенсоров к переходным металлам, (в) график счетов лигандов на основе коэффициентов распределения переходных металлов, (г) график нагрузок на основе коэффициентов распределения переходных металлов.
Если говорить об экстракционных способностях изученных соединений, то видно, что лиганды MPyDA и TECDA демонстрируют схожую картину (рис. 7c). Наибольший вклад в объединение этих лигандов в один кластер (и отделение от остальных по ГК2) вносит их экстракционная способность к Cd и Pb (рис. 7d). Ранее показано (рис. 2), что эти лиганды лучше остальных изученных соединений экстрагируют Cd и Pb из азотнокислой среды. Zn и Cu (а также Ni и Co) в наибольшей степени ответственны за разницу экстракционных способностей лигандов CyPODA и DOPDA (по ГК1). В экспериментах экстракционная способность лиганда CyPODA наибольшая для этих элементов по сравнению с DOPDA, для которого коэффициент распределения рассматриваемых металлов составил менее 0.01. Результаты, полученные с помощью МГК, показывают низкую корреляцию поведения изученных лигандов при экстракции и при потенциометрических измерениях. Например, сенсор на основе TECDA демонстрирует низкую чувствительность к двухзарядным катионам (особенно к Cd2+) по сравнению с другими сенсорами, в то время как сам лиганд обладает самой высокой экстракционной способностью для этих ионов. Подобное различие в характеристиках лигандов в системах жидкостной экстракции и в потенциометрических измерениях уже наблюдалось в предыдущих исследованиях. Например, диамиды 1,10-фенатролин-2,9-дикарбоновой кислоты проявили значительную экстракционную способность по отношению к лантанидам [11], но непригодны для использования в качестве ионофоров в сенсорных мембранах для определения этих элементов: все зарегистрированные значения чувствительности были ниже 7 мВ/декада. В то же время наблюдалась достаточно высокая электрохимическая чувствительность сенсоров с этими ионофорами к катионам d-элементов (кадмий, свинец, медь), что соответствовало экстракционному поведению исследованных лигандов.
Чувствительность сенсоров к лантанидам и актинидам. Результаты расчета чувствительности разработанных сенсоров к лантанидам и актинидам в диапазоне концентраций 10–5–10–3 М представлены в табл. 3. Исследованные сенсоры показали достаточно низкую чувствительность к катионам лантанидов и актинидов (теоретические значения чувствительности: S (Ln3+) = 19.7 мВ/декада; S (UO22+) = 29.6 мВ/декада, S (Th4+) = 14.7 мВ/декада), полученные значения не подходят для практического применения.
Таблица 3. Чувствительность сенсоров к катионам лантанидов, UO22+ и Th4+ в 0.01 M HNO3
Катион | DOPDA | TECDA | MPyDA | CyPODA | ||||
S* | s** | S | s | S | s | S | s | |
La3+ | 4.8 | 0.1 | 1.5 | 0.1 | 1.5 | 0.1 | 2.2 | 0.5 |
Ce3+ | 2.4 | 0.1 | 4.4 | 1.2 | 2.7 | 0.1 | 4.0 | 0.4 |
Pr3+ | 5.5 | 0.7 | 4.2 | 0.8 | 2.1 | 0.1 | 0.6 | 0.3 |
Nd3+ | 5.6 | 1.0 | 3.5 | 0.2 | 2.1 | 0.3 | 4.7 | 0.5 |
Sm 3+ | 6.6 | 0.9 | 7.6 | 0.5 | 4.4 | 0.2 | 4.4 | 0.8 |
Eu3+ | 5.2 | 1.2 | 1.9 | 0.8 | 5.1 | 1.6 | 1.6 | 0.3 |
Gd3+ | 6.3 | 0.2 | 5.9 | 0.4 | 4.5 | 0.6 | 4.6 | 0.3 |
Tb3+ | 5.9 | 1.0 | 4.0 | 0.6 | 4.3 | 0.8 | 4.6 | 1.1 |
Lu3+ | 4.7 | 0.1 | 0.9 | 0.2 | 1.9 | 0.4 | 1.1 | 0.3 |
UO22+ | 3.4 | 0.1 | 2.3 | 0.1 | 1.5 | 0.2 | 1.4 | 0.1 |
Th4+ | 6.8 | 0.6 | 1.2 | 0.3 | 3.6 | 0.4 | 4.5 | 0.4 |
*S – чувствительность сенсора, мВ/декада; **s – стандартное отклонение, мВ/декада.
Учитывая перхлоратный эффект, наблюдаемый в экстракционных исследованиях, мы также изучили чувствительность сенсоров к РЗЭ в 0.01 М HClO4. Предполагается, что противоион может влиять на процессы на границе раздела фаз между мембраной потенциометрического датчика и водной средой. Результаты приведены в табл. 4. Хотя между результатами потенциометрических измерений в HNO3 и HClO4 наблюдаются незначительные различия, значения чувствительности слишком малы с практической точки зрения.
Таблица 4. Чувствительность сенсоров к катионам лантанидов в 0.01 M HClO4
Катион | DOPDA | TECDA | MPyDA | CyPODA | ||||
S* | s** | S | s | S | s | S | s | |
La3+ | 2.4 | 0.4 | 1.7 | 0.1 | 2.1 | 0.6 | 3.6 | 0.5 |
Ce3+ | 2.6 | 0.5 | 0.3 | 0.1 | 3.6 | 0.2 | 1.8 | 0.3 |
Pr3+ | 3.9 | 0.4 | 0.9 | 0.1 | 6.3 | 0.3 | 2.9 | 0.2 |
Nd3+ | 5.3 | 0.2 | 0.6 | 0.1 | 7.8 | 0.2 | 2.5 | 0.2 |
Sm3+ | 8.2 | 0.5 | 2.9 | 0.3 | 8.4 | 0.3 | 5.5 | 0.2 |
Eu3+ | 6.0 | 0.2 | 1.3 | 0.1 | 7.8 | 0.1 | 2.6 | 0.1 |
Gd3+ | 7.4 | 0.3 | 2.1 | 0.1 | 9.5 | 0.4 | 3.8 | 0.1 |
Tb3+ | 5.4 | 0.4 | 1.4 | 0.3 | 9.3 | 0.3 | 2.8 | 0.1 |
Lu3+ | 6.5 | 0.5 | 2.3 | 0.3 | 8.9 | 0.3 | 4.1 | 0.4 |
*S – чувствительность сенсора, мВ/декада; **s – стандартное отклонение, мВ/декада.
Селективность сенсоров к щелочноземельным и переходным металлам. Поскольку сенсоры нечувствительны к однозарядным ионам, катионам лантанидов и актинидов, селективность к ним не изучали. Селективность по отношению к двухзарядным ионам изучали при постоянном содержании фонового катиона Cu2+. В случае Sr2+ фоновым катионом служил Ca2+. Селективность определяли только для сенсоров с лигандами DOPDA, MPyDA, CyPODA, так как эти сенсоры проявляют чувствительность к двухзарядным катионам. Результаты расчета логарифма коэффициента селективности lgKsel представлены на рис. 8.
Рис. 8. Селективность сенсоров к двухзарядным ионам.
Разработанные сенсоры позволяют определять ионы Cd2+, Ba2+, Pb2+ в присутствии 10-кратного избытка иона Cu2+, а также ион Sr2+ в присутствии 10-кратного избытка иона Ca2+. Полученные характеристики чувствительности и селективности сенсоров указывают на актуальность их использования в качестве компонентов потенциометрических мультисенсорных массивов [46–48], а не отдельных селективных сенсоров.
* * *
Синтезированы и изучены новые N,O-гибридные донорные лиганды в качестве возможных экстрагентов и компонентов мембран потенциометрических сенсоров. Установлено, что, в отличие от ряда аналогичных лигандов с диамидной функциональностью, эти вещества не демонстрируют высокой экстракционной способности в отсутствие в экстракционной системе синергетной добавки ХДК. Введение ХДК в экстракционную систему увеличивает коэффициент распределения на несколько порядков. Так, в случае метила 6-(N-4-толил)-N-этилкарбамоил)пиридин-2-карбоксилата (TECDA) DAm увеличивается с 0.0015 до 0.90, DEu – с 0.0023 до 0.5. Наибольшее значение D наблюдали при соотношении концентраций экстрагента и ХДК 1: 1 (DAm = 3.74 ± 0.19, DEu = 2.30 ± 0.13). Примечательно, что экстракционная способность TECDA увеличивается в несколько раз при переходе от HNO3 к HClO4.
Разработанные пластифицированные полимерные мембранные потенциометрические сенсоры на основе новых соединений демонстрируют достаточно высокую потенциометрическую чувствительность к двухзарядным катионам металлов, превышающую в случае кадмия теоретическое нернстовское значение отклика (S (Cd2+) = 32.0–35.9 мВ/декада). Результаты, полученные при потенциометрических измерениях, не коррелируют с коэффициентами распределения, полученными при экстракции металлов изучаемыми лигандами: сенсор на основе TECDA демонстрирует низкую чувствительность к двухзарядным катионам по сравнению с другими сенсорами, в то время как при экстракции он обладает самой высокой экстракционной способностью.
ФИНАНСИРОВАНИЕ РАБОТЫ
Никаких средств, грантов или другой поддержки на проведение или руководство данным конкретным исследованием получено не было.
КОНФЛИКТ ИНТЕРЕСОВ
Авторы данной работы заявляют об отсутствии конфликта интересов.
ЗАЯВЛЕНИЕ О ДОСТУПНОСТИ ДАННЫХ
Данные будут предоставляться по обоснованному запросу.
About the authors
D. А. Kazanina
Khlopin Radium Institute
Author for correspondence.
Email: darinakazanina@gmail.com
Russian Federation, Saint Petersburg, 194021
M. Yu. Alyapyshev
Polymetal Engineering JSC
Email: darinakazanina@gmail.com
Russian Federation, Saint Petersburg, 198216
V. А. Polukeev
Vekton JSC
Email: darinakazanina@gmail.com
Russian Federation, Saint Petersburg, 194021
V. А. Babain
Khlopin Radium Institute
Email: darinakazanina@gmail.com
Russian Federation, Saint Petersburg, 194021
D. O. Kirsanov
Saint Petersburg State University
Email: darinakazanina@gmail.com
Russian Federation, Saint Petersburg, 194021
References
- Kirsanov D.O., Babain V.A., Legin A. V. Multisensor Systems for Chemical Analysis: Materials and Sensors. New York: Jenny Stanford Publishing, 2013.
- Legin A.V., Babain V.A., Kirsanov D.O., Mednova O.V. Cross-sensitive rare earth metal ion sensors based on extraction systems // Sens. Actuators B: Chem. 2008. V. 131. № 1. P. 29.
- Aляпышев М.Ю., Бабаин В.А., Ткаченко Л.И. Амиды гетероциклических карбоновых кислот – новые экстрагенты для переработки ВАО // Радиохимия. 2014. Т. 56. № 6. С. 565. (Alyapyshev M.Y., Babain V.A., Tkachenko L.I. Amides of heterocyclic carboxylic acids as novel extractants for high-level waste treatment // Radiochemistry. 2014. V. 56. P. 565.)
- Alyapyshev M.Y., Babain V.A., Kirsanov D.O. Isolation and purification of actinides using N,O-hybrid donor ligands for closing the nuclear fuel cycle // Energies. 2022. V. 15. № 19. P. 7380.
- Archer E.M., Galley S.S., Jackson J.A., Shafer J.C. Investigation of f-element interactions with functionalized diamides of phenanthroline-based ligands // Solvent Extr. Ion Exch. 2023. V. 41. № 6. P. 697.
- Xu L., Yang X., Zhang A., Xu C., Xiao C. Separation and complexation of f-block elements using hard-soft donors combined phenanthroline extractants // Coord. Chem. Rev. 2023. V. 496. Article 215404.
- Спиридонов И.Г., Кирсанов Д.О., Бабаин В.А., Аляпышев М.Ю., Елисеев Н.И., Власов Ю.Г., Легин А.В. Полимерные сенсоры для определения ионов редкоземельных металлов на основе диамидов дипиколиновой кислоты // Журн. прикл. химии. 2011. Т. 84. № 8. С. 1354. (Spiridonov I.G., Kirsanov D.O., Babain V. A., Alyapyshev M.Y., Eliseev N.I., Vlasov Y.G., Legin A.V. Polymeric sensors for determination of rare-earth metal ions, based on diamides of dipicolinic acid // Russ. J. Appl. Chem. 2011. V. 84. P. 1354. https://doi.org/10.1134/S1070427211080106)
- Savosina J., Agafonova-Moroz M., Yaroshenko I., Ashina J., Babain V., Lumpov A., Legin A., Kirsanov D. Plutonium (IV) quantification in t echnologically relevant media using potentiometric sensor array // Sensors. 2020. V. 20. № 6. P. 1604. https://doi.org/10.3390/s20061604
- Кирсанов Д.О., Борисова Н.Е., Решетова М.Д., Иванов А.В., Коротков Л.А., Елисеев И.И., Аляпышев М.Ю., Спиридонов И.Г., Легин А.В., Власов Ю.Г., Бабаин В.А. Новые диамиды 2,2'-дипиридил-6,6'-дикарбоновой кислоты: Синтез, координационные свойства, возможности применения в электрохимических сенсорах и жидкостной экстракции // Изв. АН. 2012. Т. 61. № 4. С. 881. (Kirsanov D.O., Borisova N.E., Reshetova M.D., Ivanov A.V., Korotkov L.A., Eliseev I.I., Alyapyshev M.Y., Spiridonov I.G., Legin A.V., Vlasov Yu. G., Babain V.A. Novel diamides of 2,2 '-dipyridyl-6,6 '-dicarboxylic acid: Synthesis, coordination properties, and possibilities of use in electrochemical sensors and liquid extraction // Russ. Chem. Bull. 2012. V. 61. № 4. P. 881. https://doi.org/10.1007/s11172-012-0124-4)
- Ustynyuk Y.A., Borisova N.E., Babain V.A., Gloriozov I.P., Manuilov A.Y., Kalmykov S. N., Ustynyuk N.A. N, N ′-Dialkyl- N, N ′-diaryl-1,10-phenanthroline-2,9-dicarboxamides as donor ligands for separation of rare earth elements with a high and unusual selectivity. DFT computati onal and experimental studies // Chem. Commun. 2015. V. 51. P. 7466. https://doi.org/10.1039/C5CC01620G
- Alyapyshev M., Ashina J., Dar’in D., Kenf E., Kirsanov D., Tkachenko L., Legin A., Starova, G., Babain V. 1,10-Phenanthroline-2,9-dicarboxamides as ligands for separation and sensing of hazardous metals // RSC Adv. 2016. V. 73. P. 68642. https://doi.org/10.1039/C6RA08946A
- Al yapyshev M., Babain V., Tkachenko L., Kenf E., Vorona ev I., Dar’in D., Ustynyuk Y. Extraction of actinides with heterocyclic dicarboxamides // J. Radioanal. Nucl. Chem. 2018. V. 32. № 2. P. 138. https://doi.org/10.1007/s10967-018-5775-7
- Simonnet M., Kobayashi T., Shimojo K., Yokoyama K., Yaita T. Study on phenanthroline carboxamide for lanthanide separation: Influence of amide substituents // Inorg. Chem. 2021. V. 60. № 17. P. 13409. https://doi.org/10.1021/acs.inorgchem.1c01729
- Konopkina E.A., Matveev P.I., Hu ang P.W., Kirsanova A.A., Chernysheva M.G., Sumyanova T. B., Borisova N.E. Pyridine-di-phosphonates as chelators for trivalent f-elements: Kinetics, thermodynamic and interfacial study of Am(III)/Eu(III) solvent extraction // Dalton Trans. 2022. V. 51. P. 11180. https://doi.org/10.1039/d2dt01007k
- Yang X., Xu L., Hao Y., Meng R., Zhang X., Lei L., Xiao C. Effect of counteranions on the extraction and complexation of trivalent lanthanides with tetradentate phenanthroline-derived phosphonate ligands // Inorg. Chem. 2020. V. 59. № 23. P. 17453. https://doi.org/10.1021/acs.ino rgchem.0c02728
- Borowiak-Resterna A. Extraction of copper(II) from acid chloride solutions by N-dodecyl- and N,N-dihexylpyridinecarboxamides // Solvent Extr. Ion Exch. 1999. V. 17. P. 15.
- Tomaszewska M., Borowiak-Resterna A., Olszanowski A. Cadmium extraction from chloride solutions with model N -alkyl- and N, N -dialkyl-pyridine-carboxamides // Hydrometallurgy. 2007. V. 85. № 2. P. 116. https://doi.org/10.1016/j.hydromet.2006.08.008
- Кирсанов Д.О., Меднова О.В., Поль шин Е.Н., Легин А.В., Аляпышев М.Ю., Елисеев И.И., Бабаин В.А., Власов Ю.Г. Новые полимерные химические сенсоры для определения ионов свинца // Журн. прикл. химии. 2009. Т. 82. № 2. C. 247. (Kirsanov D.O., Me dnova O.V., Pol’shin E.N., Legin A.V., Al yapyshev M.Yu., Eliseev I.I., Babain V.A., Vlasov Yu. G. New polymeric chemical sensors for determination of lead ions // Russ. J. Appl. Chem. 2009. V. 82. P. 247. https://doi.org/10.1134/S1070427209020165 )
- Konopkina E.A., Pozdeev A.S., Kalle P., Kirsanov D.O., Smol'yanov N.A., Kirsanova A.A., Matveev P. I. Sensing and extraction of hazardous metals by di-phosphonates of heterocycles: A combined experimental and theoretical study // Dalton Trans. 2023. V. 36. P. 12934. https://doi.org/10.1039/d3dt01534c
- Galletta M., Scaravaggi S., Macerata E., Famulari A., Mele A., Panzeri W., Mariani M. 2,9-Dicarbonyl-1,10-phenanthroline deri vatives with an u nprecedented Am(III)/Eu(III) selectivity under highly acidic conditions // Dalton Trans. 2013. V. 48. P. 16930. https://doi.org/10.1039/c3dt52104d
- Wang C., Wu Q.Y., Wang C.Z., Lan J.H., Nie C.M., Chai Z.F. Prediction of binding stability of Pu(IV) and PuO2(VI) by nitrogen tridentate ligands in aqueous solution // Dalton Trans. 2020. V. 21. № 8. P. 2791. https://doi.org/10.3390/ijms21082791
- Butsch K., Sandleben A., Dokoohaki M.H., Zolgha dr A.R., Klein A. Pyridine-2,6-dicarboxylic acid esters (pydicR2) as O,N,O-pincer ligands in CuII // Inorganics. 2019. V. 7. № 4. P. 53. https://doi.or g/ 10.3390/inorganics7040053
- Chevallier P., Soutif J.C., Brosse J.C., Grote M. Poly(amide ester)s from 2,6-pyridinedicarboxylic acid and ethanolamine derivatives: Identification of macrocycles by matri x-assisted laser desorption/ionization mass spec trometry / / React. Funct. Polym. 1999. V. 15. № 15. P. 1476. https://doi.org/10.1002/RC M.742
- Kadir M.A., Mansor N., Yusof M.S.M., Sumby M.S.M. Synthesis and crystal structure of N-6-[(4-pyridylamino)carbonyl]-pyridine-2-carboxyl ic acid methyl ester zinc complex // Complex Metals. 2014. V. 1. p. 32. https://doi.org/10.1080/2164232X.2014.883289
- Johansen J.E., Christie B.D., Rapoport H. Iminium salts from α-amino acid decarbonylation. Application to the synthesis of berbines // J. Org. Chem. 1978. V. 43. № 11. P. 2115. https://doi.org/10.1021/jo00405a006
- S mirnov I.V., Chirkov A.V., Babain V.A., Pokrovskaya E.Y., Artamonova T.A. Am and Eu extraction from acidic media by synergistic mixtures of substitute d bis-tetrazolyl pyridines with chlorinated cobalt dicarbollide // Radiochim. Act a. 2009. V. 97. № 10. P. 593. https://doi.org/10.1524/ract.2009.1648
- Rais J., Tachimori S., Selucký P., Kadlecova L. Synergetic extraction in systems with dicarbollide and bidentate phosphonate // Sep. Sci. Technol. 1994. V. 29. № 2. P. 261. https://doi.org/10.1080/01496399408002482
- Bakker E., Buhlmann P., Pretsch. E. ChemInform abstract: Carrier-based ion-selective electrodes and bulk optodes. Part 1. General characteristics // Chem. Rev. 1997. V. 29. № 11. P. 92. https://doi.org/10.1002/chin.199811318
- Esbensen K.H. Multivariate Data An alysis – In Practice. An Introduction to Multivariate Data Analysis and Experimental Design, 5th Ed., Oslo: CAMO AS, 2001.
- Бабаин В.А., Аляпышев М.Ю., Смирнов И.В., Шадрин А.Ю. Экстракция америция и европия диамидами ди пиколиновой кислоты во фторорганических растворителях // Радиохимия. 2006. Т. 48. № 4. С. 331. (Babain V.A., Alyapyshev M.Y., Smirnov I.V., Shadrin A.Y. Extraction of Am and Eu with N, N′-substituted pyridine-2, 6-dicarboxamide s in fluorinated diluents // Radiochemistry. 2006. V. 48. № 4. P. 331. https://doi.org/10.1134/S1066362206040102)
- Rais J., Grüner B. Ion Exchange and Solvent Extraction. Boca Raton: CRC Press, 1973.
- Grüner B., Rais J., Selucký P., Lucˇaníková M. Boron Science: New Technologies and Applications. Boca Raton: CRC Press, 2016
- Suzuki H., Naganawa H., Tachimori S. Extraction of europium(III) into W/O microemulsion containing aerosol OT and a bulky diamide. I. Cooperative effect // S olvent Extr. Ion Exch. 2003. V. 21. № 4. P. 527. https://doi.org/10.1081/SEI-120022519
- Rey J., Atak S., Dourdain S., Arrachart G., Berthon L., Pellet-Rostaing S. Synergistic extraction of rare earth elements from phosphoric acid medium using a mixture of surfactant AOT and DEHCNPB // Solvent Extr. Ion Exch. 2017. V. 35. № 5. P. 321. https://doi.org/10.1080/07366299.2017.1362852
- Аляпышев М.Ю., Бабаин В.А., Смирнов И.В. Изучение экстракционных свойств синергетных смесей диамидов дипико линовой кислоты и хлорированного дикарболлида кобальта // Радиохимия. 2004. Т. 46. № 3. С. 250. (Alyapyshev M.Y., Babain V.A., Smirnov I.V. Extractive properties of synergistic mixtures of dipicolinic acid diamides and chlorinated cobalt dicarbol lide // Radiochemistry. 2004. V. 46. P. 2 5 0. https://doi.org/10.1023/B:RACH.0000031687.46581.eb)
- Chmutova M.K., Litvina M.N., Nesterova N.P., Myasoedov B.F., Kabachnik M.I. Extraction of lanthanide chlorides, nitrates, and perchlorates by methylenebis(di-n-hexylphosphine oxide) and related extractants // Solvent. Extr. Ion Exch. 1992. V. 41. № 14. P. 2010. https://doi.org/10.1021/ac50159a035
- Туранов А.Н., Карандашев В.К., Яркевич А.Н., Сафронова З.В. Селективность экстракции U (VI), Th (IV), и РЗЭ(III) из растворов хлорной кислоты бидентатными фосфорилзамещенными бутилфенилфосфинатами // Радиохимия. 2011. Т. 53. С. 264. (Turanov A.N., Karandashev V.K., Yarkevich A.N., Safronova Z.V. Selectivity of extraction of U(VI), Th(IV), and REE(III) from perchloric acid solutions with bidentate phosphoryl-substituted butyl phenylphosphinates // Radiochemistry. 2011. V. 53. P. 264. https://doi.org/10.1134/S1066362211030064)
- Туранов А. Н., Карандашев В. К., Баулин В. Е., Баулин Д. В. Экстракция U(VI), Th(IV), РЗЭ (III) и Sc(III) из нитратных и перхлоратных растворов 1,5- бис [ди (п - толил) фосфорил]-3- оксапентаном // Радиохимия (Turanov A.N., Karandashev V.K., Baulin V.E., Baulin D.V. Extraction of U(VI), Th(IV), REE(III), and Sc(III) from nitrate and perchlorate solutions with 1,5-Bis[di(p-tolyl)phosphoryl]-3-oxapentane // Radiochemistry. 2023. V. 65. P. 404. https://doi.org/10.1134/S1066362223040021)
- Туранов А.Н., Карандашев В.К., Баулин В.Е., Баулин Д.В. Экстракция РЗЭ(III), U (VI) и Th (IV) диоксидом тетрафенил(о-оксифениленметилен)дифосфина из перхлоратных растворов // Радиохимия. 2019. Т. 61. № 2. С. 117. (Turanov A.N., Karandashev V.K., Baulin V.E., Baulin D.V. Extraction of REE(III), U(VI), and Th(IV) from perchlorate solutions with tetraphenyl(o -oxyphenylenemethylene)diphosphine dioxide // Radiochemistry. 2019. V. 61. P. 156. https://doi.org/10.1134/S1066362219020048)
- Ansari S.A., Pathak P.N., Manchanda V.K., Husain M., Prasad A.K., Parmar V.S. N,N,N′,N′-Tetraoctyl diglycolamide (TODGA): A promising extractant for actinide-partitioning from high-level waste (HLW) // Solvent Extr. Ion Exch. 2005. V. 23. № 4. P. 463. https://doi.org/10.1081/SEI-200066296
- Аляпышев М.Ю., Бабаин В.А., Антонов Н.Г., Смирнов И.В. Экстракция америция и европия ди-и тетера-алкилдиамидами дипиколиновой кислоты из хлорных сред // Журн. прикл. химии. 2006. T. 79. № 11. C. 1827. (Alyapyshev M.Y., Babain V.A., Antonov N.G., Smirnov I.V. Extraction of americium and europium from perchloric acid solutions with N,N′-dialkyl-and N,N,N′,N′-tetraalkylpyridine-2,6-dicarboxamides // Russ. J. Appl. Chem. 2006. V. 79. P. 1808. https://doi.org/10.1134/S1070427206110139)
- Simonnet M., Suzuki S., Miyazaki Y., Kobayashi T., Yokoyama K., Yaita T. Lanthanide intra-series separation by a 1,10-phenanthroline derivative: Counterion effect // Solvent Extr. Ion Exch. 2020. V. 38. № 4. P. 430. https://doi.org/10.1080/07366299.2020.1744806
- Sun M., Xu L., Yang X., Wang S., Lei L., Xiao C. Complexation behaviors of a tridentate phenanthroline carboxamide ligand with trivalent f-block elements in different anion systems: A thermodynamic and crystallographic perspective // Inorg. Chem. 2022 V. 61. № 6. Р. 2824. https://doi.org/10.1021/acs.inorgchem.1c03270
- Yang X., Xu L., Hao Y., Meng R., Zhang X., Lei L., Xiao C. Effect of counteranions on the extraction and complexation of trivalent lanthanides with tetradentate phenanthroline-derived phosphonate ligands // Inorg. Chem. 2020. V. 59. № 23. P. 17453. https://doi.org/10.1021/acs.inorgchem.0c02728
- Chen B., Liu J., Lv L., Yang L., Luo S., Yang Y., Peng S. Complexation of lanthanides with N,N,N′,N′-tetramethylamide derivatives of bipyridinedicarboxylic acid and phenanthrolinedicarboxylic acid: Thermodynamics and coordination modes // Inorg. Chem. 2019. V. 58. № 11. Р. 7416. https://doi.org/10.1021/acs.inorgchem.9b00545
- Ярошенко И.С., Аляпышев М.Ю., Бабаин В.А., Легин А.В., Кирсанов Д.О. Потенциометрические сенсоры и мультисенсорные системы для определения лантанидов // Журн. аналит. химии. 2019. Т. 74. № 10. С. 784. (Yaroshenko I.S., Alyapyshev M.Yu., Babain V.A., Legin A.V., Kirsanov D.O. Potentiometric sensors and multisensor systems for the determination of lanthanides // J. Anal. Chem. 2019. V. 74. P. 1003. https://doi.org/10.1134/S1061934819100113)
- Темердашев З.А., Абакумов А.Г., Каунова А.А., Шелудько О.Н., Цюпко Т.Г. Оценка качества и региона происхождения вин // Журн. аналит. химии. 2023. Т. 78. С. 1784. (Temerdashev Z.A., Abakumov A.G., Kaunova A.A., Shelud’ko O.N., Tsyupko T.G. Assessment of quality and region of origin of wines // J. Anal. Chem. 2023. V. 78. P. 1724. https://doi.org/10.1134/S1061934823120171 )
- Бобрешова О.В., Паршина А.В., Пожидаева Ю.В. Потенциометрические перекрестно чувствительные ПД-сенсоры для совместного определения никотиновой кислоты и пиридоксина гидрохлорида в водных растворах // Журн. аналит. химии. 2013. Т. 68. № 4. С. 348. (Bobreshova O.V., Parshina A. V., Poshideva Yu. V. Potentiometric cross-sensitive PD sensors for the simultaneous determination of nicotinic acid and pyridoxine hydrochloride in aqueous solutions // J. Anal. Chem. 2013. V. 68. P. 321. https://doi.org/10.1134/S1061934813020044)
Supplementary files











