Physically adsorbed coatings based on chitosan for electrophoretic separation of biologically active substances
- Authors: Kolobova E.A.1, Ziangirova E.R.1, Solovyova E.V.1, Kartsova L.A.1
-
Affiliations:
- Institute of Chemistry of the Saint Petersburg State University
- Issue: Vol 80, No 1 (2025)
- Pages: 81-94
- Section: ORIGINAL ARTICLES
- Submitted: 25.04.2025
- Accepted: 25.04.2025
- URL: https://journal-vniispk.ru/0044-4502/article/view/289203
- DOI: https://doi.org/10.31857/S0044450225010086
- EDN: https://elibrary.ru/abdcfk
- ID: 289203
Cite item
Abstract
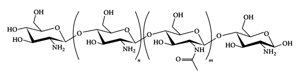
Coatings of the inner walls of a quartz capillary based on cationic high-molecular chitosan with a deacetylation degree of 95% were formed. The dependence of the electroosmotic flow rate on the pH of the background electrolyte was studied, and the stability of the coating under the influence of various solvents was assessed. The results were compared with another cationic coating based on poly(diallyldimethylammonium chloride) (PDADMAC). It was shown that when separating amino acids, catecholamines, and organic acids, the formed coatings based on chitosan are slightly inferior in efficiency to coatings made of PDADMAC, but provide a higher resolution of the studied biologically active analytes. It was found that chitosan on the inner walls of a quartz capillary promotes an increase in enantioselectivity in the separation of β-blocker enantiomers (carvedilol, propranolol, sotalol) in the presence of (2-hydroxypropyl)-β-cyclodextrin in the background electrolyte, as well as non-steroidal anti-inflammatory drugs (ketoprofen and ketorolac) using vancomycin as the second chiral selector.
Full Text
About the authors
E. A. Kolobova
Institute of Chemistry of the Saint Petersburg State University
Author for correspondence.
Email: ekatderyabina@mail.ru
Russian Federation, 26, Universitetsky Ave., Peterhof, Saint Petersburg, 198504
E. R. Ziangirova
Institute of Chemistry of the Saint Petersburg State University
Email: ekatderyabina@mail.ru
Russian Federation, 26, Universitetsky Ave., Peterhof, Saint Petersburg, 198504
E. V. Solovyova
Institute of Chemistry of the Saint Petersburg State University
Email: ekatderyabina@mail.ru
Russian Federation, 26, Universitetsky Ave., Peterhof, Saint Petersburg, 198504
L. A. Kartsova
Institute of Chemistry of the Saint Petersburg State University
Email: ekatderyabina@mail.ru
Russian Federation, 26, Universitetsky Ave., Peterhof, Saint Petersburg, 198504
References
- Карцова Л.А., Макеева Д.В., Бессонова Е.А. Современное состояние метода капиллярного электрофореза // Журн. аналит. химии. 2020. Т. 12. № 75. С. 1059. https://doi.org/10.31857/S0044450220120087 (Kartsova L.A., Makeeva D.V., Bessonova E.A. Current status of capillary electrophoresis // J. Anal. Chem. 2020. V. 12. № 75. P. 1497. https://doi.org/10.1134/S1061934820120084)
- Voeten R.L. C., Ventouri I.K., Haselberg R., Somsen G.W. Capillary Electrophoresis: Trends and Recent Advances // Anal. Chem. 2018. V. 90. № 3. P. 1464. https://doi.org/10.1021/acs.analchem.8b00015
- Gao Z., Zhong W. Recent (2018–2020) development in capillary electrophoresis // Anal. Bioanal. Chem. 2022. V. 414. № 1. P. 115. https://doi.org/10.1007/s00216-021-03290-y
- Hajba L., Guttman A. Recent advances in column coatings for capillary electrophoresis of proteins // TrAC, Trends Anal. Chem. 2017. V. 90. P. 38. https://doi.org/10.1016/j.trac.2017.02.013
- Карцова Л.А., Кравченко А.В., Колобова Е.А. Ковалентные покрытия кварцевых капилляров для электрофоретического определения биологически активных аналитов // Журн. аналит. химии. 2019. Т. 74. № 8. С. 563. https://doi.org/10.31857/S0044450221090061 (Kartsova L.A., Kravchenko A.V., Kolobova E.A. Covalent coatings of quartz capillaries for the electrophoretic determination of biologically active analytes // J. Anal. Chem. 2019. V. 74. № 8. P. 729. https://doi.org/10.1134/S1061934819080100)
- Znaleziona J., Petr J., Knob R. Dynamic coating agents in CE // Chromatographia. 2008. V. 67. P. 5. https://doi.org/10.1365/s10337-007-0509-y
- Robb C.S. Applications of physically adsorbed polymer coatings in capillary electrophoresis // J. Liq. Chromatogr. Relat. Technol. 2007. V. 30. № 5–7. P. 729. https://doi.org/10.1080/10826070701191029
- Guo X.F., Guo X.M., Wang H., Zhang H.S. One step physically adsorbed coating of silica capillary with excellent stability for the separation of basic proteins by capillary zone electrophoresis // Talanta. 2015. V. 144. P. 110. https://doi.org/10.1016/j.talanta.2015.05.080
- McGettrick J.R., Palmer C.P. Evaluation of poly([2-(acryloyloxy)ethyl]trimethylammonium chloride) cationic polymer capillary coating for capillary electrophoresis and electrokinetic chromatography separations // J. Sep. Sci. 2017. V. 40. № 20. P. 4060. https://doi.org/10.1002/jssc.201700461
- Duša F., Witos J., Karjalainen E., Viitala T., Tenhu H., Wiedmer S.K. Novel cationic polyelectrolyte coatings for capillary electrophoresis // Electrophoresis. 2016. V. 37. № 2. P. 363. https://doi.org/10.1002/elps.201500275
- Sola L., Chiari M. Tuning capillary surface properties by charged polymeric coatings // J. Chromatogr. A. 2015. V. 1414. P. 173. https://doi.org/10.1016/j.chroma.2015.08.032
- Zandkarimi M., Shafaati A., Foroutan S.M., Lucy C.А. Improvement of electrophoretic enantioseparation of amlodipine by polybrene // Iran. J. Pharm. Res. 2012. V. 11. № 1. P. 129.
- Pei L., Lucy C.A. Insight into the stability of poly(diallydimethylammoniumchloride) and polybrene poly cationic coatings in capillary electrophoresis // J. Chromatogr. A. 2014. V. 1365. P. 226. https://doi.org/10.1016/j.chroma.2014.09.013
- Ullsten S., Zuberovic A., Bergquist J. Adsorbed cationic polymer coatings for enhanced capillary electrophoresis/mass spectrometry of proteins // Methods Mol. Biol. 2008. V. 384. P. 631. https://doi.org/10.1007/978-1-59745-376-9_25
- Huhn C., Ramautar R., Wuhrer M., Somsen G.W. Relevance and use of capillary coatings in capillary electrophoresis-mass spectrometry // Anal. Bioanal. Chem. 2010. V. 396. № 1. P. 297. https://doi.org/10.1007/s00216-009-3193-y
- Pattky M., Barkovits K., Marcus K., Weiergräber O.H., Huhn C. Statically adsorbed coatings for high separation efficiency and resolution in CE–MS peptide analysis: Strategies and implementation // Methods Mol. Biol. 2016. V. 1483. P. 53. https://doi.org/10.1007/978-1-4939-6403-1_4
- Ribeiro J.C. V., Vieira R.S., Melo I.M., Araújo V.M. A., Lima V. Versatility of chitosan-based biomaterials and their use as scaffolds for tissue regeneration // Sci. World J. 2017. V. 2017. Article 8639898. https://doi.org/10.1155/2017/8639898
- Sahariah P., Másson M. Antimicrobial chitosan and chitosan derivatives: A review of the structure-activity relationship // Biomacromolecules. 2017. V. 18. № 11. P. 3846. https://doi.org/10.1021/acs.biomac.7b01058
- Thevarajah J.J., Van Leeuwen M. P., Cottet H., Castignolles P., Gaborieau M. Determination of the distributions of degrees of acetylation of chitosan // Int. J. Biol. Macromol. 2017. V. 95. P. 40. https://doi.org/10.1016/j.ijbiomac.2016.10.056
- Yao Y.J., Li S.F. Y. Capillary zone electrophoresis of basic proteins with chitosan as a capillary modifier // J. Chromatogr. A. 1994. V. 663. № 1. P. 97. https://doi.org/10.1016/0021-9673(94)80500-8
- Kumar M.N., Muzzarelli R.A., Muzzarelli C., Sashiwa H., Domb A.J. Chitosan chemistry and pharmaceutical perspectives // Chem. Rev. 2004. V. 104. № 12. Р. 6017. https://doi.org/10.1021/cr030441b
- Huang X., Wang Q., Huang B. Preparation and evaluation of stable coating for capillary electrophoresis using coupled chitosan as coated modifier // Talanta. 2006. V. 69. Р. 463. https://doi.org/10.1016/j.talanta.2005.10.015
- Jia Y., Cao J., Zhou J., Zhou P. Methyl chitosan coating for glycoform analysis of glycoproteins by capillary electrophoresis // Electrophoresis. 2020. V. 41. № 9. P. 729. https://doi.org/10.1002/elps.201900333
- Porpiglia N.M., Tagliaro I., Pellegrini B., Alessi A., Tagliaro F., Russo L. et al. Chitosan derivatives as dynamic coatings for transferrin glycoform separation in capillary electrophoresis // Int. J. Biol. Macromol. 2024. V. 254. Article 127888. https://doi.org/10.1016/j.ijbiomac.2023.127888
- Vitali L., Della Betta F., Costa A.C., Vaz F.A., Oliveira M.A., Vistuba J.P. et al. New multilayer coating using quaternary ammonium chitosan and κ-carrageenan in capillary electrophoresis: Application in fast analysis of betaine and methionine // Talanta. 2014. V. 123. P. 45. https://doi.org/10.1016/j.talanta.2014.01.047
- Zhou L.P., Chen Y., Hu H., Yu B., Wang G.W., Cong H.L. Novel diazoresin/carboxymethyl chitosan capillary coating for the analysis of proteins by capillary electrophoresis // Ferroelectrics. 2018. V. 529. № 1. P. 24. https://doi.org/10.1080/00150193.2018.1448184
- Nishi H., Kuwahara Y. Enantiomer separation by capillary electrophoresis utilizing noncyclic mono-, oligo- and polysaccharides as chiral selectors // J. Biochem. Biophys. Methods. 2001. V. 48. № 2. P. 89. https://doi.org/10.1016/s0165-022x(01)00142-7
- Yu R.B., Quirino J.P. Chiral selectors in capillary electrophoresis: Trends during 2017–2018 // Molecules. 2019. V. 24. № 6. Article 1135. https://doi.org/10.3390/molecules24061135
- Буданова Н.Ю., Шаповалова Е.Н., Шпигун О.А. Изучение возможности использования хитозана в капиллярном электрофорезе // Вестн. Моск. ун-та. Сер. 2. Химия. 2006. Т. 47. №3. С. 177–181. (Budanova N., Shapovalova E., Shpigun O. Study of possible application of chitosan in capillary electrophoresis // Mosc. Univ. Chem. Bull. 2006. V. 61. P. 20.)
- Prokhorova A.F., Kuznetsov M.A., Shapovalova A.N., Staroverov S.M., Shpigun O.A. Enantioseparations of aromatic carboxylic acid by capillary electrophoresis using eremomycin as a chiral selector in a chitosan-modified capillary // Procedia Chem. 2010. V. 2. P. 9. https://doi.org/10.1016/j.proche.2009.12.004
- Liu Q., Lin F., Hartwick R.A. Poly(diallyldimethylammonium chloride) as a cationic coating for capillary electrophoresis // J. Chromatogr. Sci. 1997. V. 35. № 3. P. 126. https://doi.org/10.1093/chromsci/35.3.126
- Tseng W.L., Chen S.M., Hsu C.Y., Hsieh M.M. On-line concentration and separation of indolamines, catecholamines, and metanephrines in capillary electrophoresis using high concentration of poly(diallyldimethylammonium chloride) // Anal. Chim. Acta. 2008. V. 613. № 1. P. 108. https://doi.org/10.1016/j.aca.2008.02.049
- Szabó Z.I., Benkő B.M., Bartalis-Fábián Á., Iványi R., Varga E., Szőcs L., Tóth G. Chiral separation of Apremilast by capillary electrophoresis using succinyl-β-cyclodextrin—reversal of enantiomer elution order by cationic capillary coating // Molecules. 2023. Т. 28. № 8. Article 3310. https://doi.org/10.3390/molecules28083310
- Nehmé R., Perrin C., Cottet H., Blanchin M.D., Fabre H. Stability of capillaries coated with highly charged polyelectrolyte monolayers and multilayers under various analytical conditions – Application to protein analysis // J. Chromatogr. A. 2011. V. 1218. № 22. Р. 3537. https://doi.org/10.1016/j.chroma.2011.03.040
- Kamande M.W., Kapnissi C.P., Zhu X., Akbay C., Warner I.M. Open-tubular capillary electrochromatography using a polymeric surfactant coating // Electrophoresis. 2003. V. 24. № 6. Р. 945. https://doi.org/10.1002/elps.200390137
- Qu Q., Liu D., Mangelings D., Yang C., Hu X. Permanent gold nanoparticle coatings on polyelectrolyte multilayer modified capillaries for open-tubular capillary electrochromatography // J. Chromatogr. A. 2010. V. 1217. № 42. P. 6588. https://doi.org/10.1016/j.chroma.2010.08.057
- Neiman B., Grushka E., Lev O. Use of gold nanoparticles to enhance capillary electrophoresis // Anal. Chem. 2001. V. 73. № 21. Р. 5220. https://doi.org/10.1021/ac0104375
- Dhellemmes L., Leclercq L., Höchsmann A., Neusüß C., Biron J.P., Roca S., Cottet H. Critical parameters for highly efficient and reproducible polyelectrolyte multilayer coatings for protein separation by capillary electrophoresis // J. Chromatogr. A. 2023. V. 1695. Article 463912. https://doi.org/10.1016/j.chroma.2023.463912
- Макеева Д.В., Антипова К.С., Соловьева Е.В., Моргачева В.П., Колобова Е.А., Карцова Л.А. Полислойные покрытия на основе стабилизированных цитратом наночастиц золота и полидиаллилдиметиламмоний хлорида для электрофоретического разделения карбоновых кислот // Журн. аналит. химии. 2023. Т. 78. № 3. С. 241. https://doi.org/10.31857/S0044450223030088 (Makeeva D.V., Antipova K.S., Solovyeva E.V., Morgacheva V.P., Kolobova E.A, Kartsova L.A. Multilayer coatings based on citrate-stabilized gold nanoparticles and polydiallyldimethylammonium chloride for the electrophoretic separation of carboxylic acids // J. Anal. Сhem. 2023. V. 78. № 3. P. 241. https://doi.org/1010.1134/S1061934823030085)
- Моргачева В.П., Макеева Д.В., Соловьева Е.В., Колобова Е.А., Карцова Л.А. Новые подходы к формированию покрытий на основе альбумина и наночастиц золота для хирального разделения методом капиллярного электрофореза // Аналитика и контроль. 2023. Т. 27. № 1. С. 21. https://doi.org/1010.15826/analitika.2023.27.1.002
- Makeeva D., Morgacheva V., Kolobova E., Solovyeva E., Kartsova L. Multilayer coatings based on gold nanoparticles and polymers with bovine serum albumin as a functional layer for the chiral separation in capillary electrochromatography // J. Sep. Sci. 2024. V. 47. № 2. Article e2300864. https://doi.org/10.1002/jssc.202300864
- Pak C., Marriott P.J., Carpenter P.D., Amiet R.G. Enantiomeric separation of propranolol and selected metabolites by using capillary electrophoresis with hydroxypropyl-beta-cyclodextrin as chiral selector // J. Chromatogr. 1998. V. 793. P. 357. https://doi.org/10.1016/s0021-9673(97)00919-9
- Hancu G., Cârje A., Iuga I., Fülöp I., Szabó Z.I. Cyclodextrine screening for the chiral separation of carvedilol by capillary electrophoresis // Iran. J. Pharm. Res. 2015. V. 14. P. 425.
- Колобова Е.А., Карцова Л.А., Алопина Е.В., Смирнова Н.А. Разделение энантиомеров тирозина, триптофана и β-блокаторов методом капиллярного электрофореза с участием аминокислотной ионной жидкости 1-бутил-3-метилимидазолий L-пролинат [C4MIM][L-PRO] в качестве хирального селектора // Аналитика и контроль. 2018. Т. 22. № 1. С. 51. https://doi.org/1010.15826/analitika.2018.22.1.004
- Podar A., Oprean R., Suciu Ş. Review – Recent enantiomer separation strategies of nonsteroidal anti-inflammatory drugs (NSAIDs) by capillary electrophoresis // Farmacia. 2016. V. 64. № 2. P. 159.
Supplementary files










