Application of sulphonated styrene and divinylbenzene copolymers with various degree of crosslinking for ion exclusion chromatography
- Authors: Laptev A.Y.1, Rozhmanova N.B.1, Sevko A.V.1
-
Affiliations:
- Lomonosov Moscow State University
- Issue: Vol 80, No 1 (2025)
- Pages: 95-108
- Section: ORIGINAL ARTICLES
- Submitted: 25.04.2025
- Accepted: 25.04.2025
- URL: https://journal-vniispk.ru/0044-4502/article/view/289211
- DOI: https://doi.org/10.31857/S0044450225010095
- EDN: https://elibrary.ru/abdfki
- ID: 289211
Cite item
Abstract
The chromatographic retention of neutral polar compounds (alcohols, ketones, carboxylic acids, carbohydrates, and sweeteners) and compounds in ionized form (mono- and dibasic organic acids) on cation exchange columns filled with sulfonated poly(styrene-divinylbenzene) with a crosslinking degree of 8 % (Nautilus-IE) and 10 % (Sevko AA) is studied in a variant of ion exclusion chromatography. Using 5 mM sulfuric acid, the retention parameters of the compounds are determined and new patterns are obtained that clarify the mechanism of retention of organic acids in the ion-exclusion chromatography variant. It is found that the retention of all the studied compounds (logk’) is directly proportional to the hydrophobicity values logPexp). In this case, the electrostatic repulsion of organic acids from the sulfo groups of the cation exchanger shifts the logk’–logPexp dependences by a fixed value proportional to the number of carboxyl groups. The possibility of using the Sevko AA column not only for amino acid analysis, but also for ion exclusion chromatographic determination of organic acids and alcohols in complex samples with simultaneous spectrophotometric and refractometric detection is shown.
Full Text
Ионоэксклюзионная хроматография (ИЭХ) является удобным методом одновременного определения и разделения полярных водорастворимых соединений, таких как низкомолекулярные органические кислоты, спирты, кетоны, альдегиды, углеводы и некоторые другие классы соединений, при анализе пищевых продуктов и напитков [1, 2]. Как правило, для разделения используют сильнокислотные катионообменники, такие как сульфированный поли(стирол-дивинилбензол) (ПС-ДВБ) с низкой степенью сшивки (4–8 %), диаметром частиц от 5 до 10 мкм и ионообменной емкостью около 3–5 мэкв/г. В качестве элюентов в ИЭХ используют воду или разбавленные растворы сильных кислот (обычно серной) [3] или слабых кислот [4] с добавками органических растворителей (ацетонитрил, ацетон, метанол, этанол) [5]. Также известно применение в ИЭХ карбоксилированного ПС-ДВБ [6, 7], сульфированного сверхсшитого полистирола [8, 9], модифицированного силикагеля [10] и некоторых других сорбентов.
Высокая селективность разделения, низкая токсичность элюентов, невысокая стоимость анализа являются важными преимуществами ИЭХ в сравнении с хроматографией гидрофильных взаимодействий (ХГВ), которая также широко используется для разделения и определения полярных соединений. Следует отметить, что в случае ХГВ обычно используют элюенты, содержащие до 85–95 об. % токсичных растворителей ацетонитрила и метанола [11, 12] или сложные смеси органических растворителей и воды [13, 14].
С другой стороны, к недостаткам ИЭХ можно отнести значительное удерживание длинноцепочечных и ароматических кислот за счет их взаимодействия с ПС-ДВБ-матрицей ионобменников [12, 15]. С ИЭХ совместимы различные способы детектирования: кондуктометрическое, спектрофотометрическое, рефрактометрическое, масс-спектрометрическое и детектор заряженных аэрозолей.
Следует отметить, что сульфированный ПС-ДВБ с несколько более высокой степенью сшивки (10 %) широко используется в классическом аминокислотном анализе [10], что делает возможным его применение в ИЭХ.
Цель данной работы – изучение и сравнение закономерностей удерживания различных классов полярных соединений (спирты, кетоны, карбоновые кислоты и углеводы) методом ИЭХ на двух сульфокатионообменниках на основе ПС-ДВБ в H+-форме с одинаковой ионообменной емкостью, но с разной степенью сшивки и оценка возможности их применения для определения карбоновых кислот и спиртов в сложных по составу объектах, таких как пиво и яблочный сидр. Особое внимание уделено изучению механизма удерживания нейтральных и ионогенных полярных органических соединений в условиях ИЭХ.
ЭКСПЕРИМЕНТАЛЬНАЯ ЧАСТЬ
Реагенты. В качестве модельных веществ использовали полярные соединения нескольких классов, включая спирты: н-пропанол, н-бутанол, втор-бутанол, трет-бутанол, изобутанол, изопентанол, н-пентанол, пропандиол-1,2, пропандиол-1,3, бутандиол-1,3, бутандиол-1,4 х. ч. (Реахим, Россия), метанол (Merck, Германия, ≥ 99.97 %), этанол (Ферейн, Россия, ≥ 95 %), изопропанол (Merck, Германия, ≥ 99.9 %), этиленгликоль (Fluka, Швейцария, ≥ 99 %), диэтиленгликоль (Компонент-Реактив, Россия, 99.5 %), триэтиленгликоль (Компонент-Реактив, Россия, 98.5 %), тетраэтиленгликоль (TCI, Япония, ≥ 95 %); альдиты: глицерин х. ч. (Реахим, Россия), эритрит (DopDrops, Россия); кетоны: ацетон, метилэтилкетон, метилбутилкетон, метилизобутилкетон х. ч. (Реахим, Россия), диэтилкетон (Sigma-Aldrich, США, ≥ 99 %), органические кислоты: щавелевую, винную, лимонную, яблочную, фумаровую, янтарную, адипиновую, муравьиную, уксусную, масляную, валериановую х. ч. (Реахим, Россия), аскорбиновую (TCI, Япония, ≥ 99 %), глиоксиловую (Sigma-Aldrich, США, ≥ 99 %), гликолевую (Sigma-Aldrich, США, ≥ 99 %), молочную (Союз Реактив, Россия, ≥ 95 %) и пропионовую (Кемикал Лайн, Россия, ≥ 99.5 %); сахара: L-(+)-арабинозу, D-(+)-фруктозу, D-(+)-глюкозу, D-(+)-мальтозу моногидрат х. ч. (Реахим, Россия); D-(+)-ксилозу (Мerck, Германия, ≥ 99.97 %), мальтотриозу ч. д. а. (ICN Biomedicals, США), инулин (Molecularmeal, Китай) и вещества-подсластители: сукралозу (Spirulina Food, Россия), ребаудиозид А (Стевия Групп, Россия, 98 %).
Для приготовления растворов аналитов и элюентов использовали деионизованную воду (Портлаб, Россия) и серную кислоту (Уралхиминвест, Россия).
Аппаратура. Использовали хроматограф Хроматэк-Кристалл ВЭЖХ 2014 (Россия), включающий дегазатор подвижной фазы, насос высокого давления, термостат колонок, спектрофотометрический и рефрактометрический детекторы. Результаты обрабатывали с использованием программного обеспечения “Хроматэк Аналитик 3.1”.
Изучали хроматографические колонки, заполненные сульфированным ПС-ДВБ в H+-форме:
- Севко AA (Севко и Ко, Россия), размер 200 × 4.6 мм, диаметр частиц 7 мкм, степень сшивки 10 %, обменная емкость 4.6–5.0 мэкв/г;
- Наутилус ИЭ (БиоХиммак СТ, Россия), размер 150 × 4.6 мм и 200 × 4.6 мм, диаметр частиц 10 мкм, степень сшивки 8 %, обменная емкость 4.6–5.0 мэкв/г.
Все разделения проводили с использованием 5 мМ серной кислоты в качестве подвижной фазы при объемной скорости 0.45 мл/мин. Перед использованием подвижную фазу фильтровали через мембранный фильтр из нейлона с диаметром пор 0.45 мкм. Объем пробы составлял 20 мкл. Разделения проводили при температуре хроматографической колонки 80 °С, а кювету рефрактометра термостатировали при 55 °С.
Приготовление образцов для анализа. Жидкие образцы (квас, пиво, сидр, рассол) предварительно фильтровали через мембранный фильтр с диаметром пор 0.45 мкм, дегазировали до исчезновения пены и разбавляли в элюенте в 10 раз.
Исследование поверхности сорбента. Морфологию поверхности сорбента Наутилус-ИЭ изучали с помощью сканирующей электронной микроскопии на электронном микроскопе Hitachi Tabletop Microscope TM3030Plus (Hitachi, Japan) с напряжением 15 кВ на ускоряющем электроде.
РЕЗУЛЬТАТЫ И ИХ ОБСУЖДЕНИЕ
Механизм удерживания полярных сорбатов в ионоэксклюзионной хроматографии. Удерживание полярных сорбатов на полимерных сульфокатионообменниках в протонированной форме определяется комбинацией нескольких факторов, включающих эксклюзию Доннана, гидрофобное взаимодействие с ПС-ДВБ-матрицей сорбента, эксклюзию по размеру и электростатическое взаимодействие с сульфогруппой [15–17]. Вклад каждого из этих процессов в удерживание зависит от природы разделяемых соединений.
Согласно теории, доннановская эксклюзия ионов является основным механизмом удерживания ионов в ИЭХ. Гидратированная катионообменная смола за счет отрицательно заряженных функциональных групп образует гипотетическую полупроницаемую мембрану (мембрана Доннана), условно разделяющую жидкую фазу на две части. Первая часть – это жидкость между частицами катионообменника, а вторая – жидкость внутри частиц слабосшитой смолы. Это приводит к тому, что нейтральные молекулы проникают сквозь мембрану и распределяются между двумя жидкими фазами и, следовательно, удерживаются в слое сорбента. В то же время отрицательно заряженные ионы электростатически отталкиваются от одноименно заряженных групп катионообменника и слабо удерживаются на колонке. Частично ионизированные соединения слабо отталкиваются мембраной и могут быть полностью протонированы в кислой фазе катионообменника. Времена их удерживания имеют промежуточные значения между временами удерживания полностью ионизированных и нейтральных аналитов. Таким образом, удерживание соединения зависит от его эффективного заряда, которое определяется соотношением концентраций его ионизированной и нейтральной форм. Например, в случае органических кислот их удерживание снижается с уменьшением pKa, тогда как полностью диссоциированные неорганические кислоты элюируются неразделенными в мертвом объеме колонки [15–17].
Согласно теории ИЭХ гидрофобное взаимодействие полярных сорбатов с ПС-ДВБ-матрицей сорбента преобладает для молекул, содержащих длинную углеродную цепь или ароматическую систему. Для таких молекул наблюдается более сильное удерживание по сравнению с предполагаемым механизмом ионной эксклюзии ионов. Так, например, длинноцепочечные (nC > 3) алифатические кислоты обладают близкими по значению константами диссоциации (табл. 1), но они значительно различаются по удерживанию в ИЭХ [17]. В этом случае вклад электростатических взаимодействий остается постоянным, а удерживание (logk’) пропорционально nC или гидрофобности (logP) (табл. 1 и 2).
Таблица 1. Cвойства органических кислот, их удерживание и селективность разделения на колонках Севко АА и Наутилус ИЭ
Кислота | logPexpa | pKa1b (25 °С, I = 0) | pKa2b (25 °С, I = 0) | Севко AA | Наутилус ИЭ | ||
k’ | α | k’ | α | ||||
Одноосновные кислоты | |||||||
Глиоксиловая | – | 3.46 | – | 0.43 | – | 0.61 | – |
Гликолевая | –1.11 | 3.83 | – | 0.78 | 1.81 | 1.03 | 1.69 |
Молочная | –0.72 | 3.86 | – | 0.85 | 1.09 | 1.13 | 1.10 |
Муравьиная | –0.54 | 3.75 | – | 1.05 | 1.24 | 1.29 | 1.14 |
Уксусная | –0.17 | 4.76 | – | 1.21 | 1.15 | 1.50 | 1.16 |
Пропионовая | 0.33 | 4.86 | – | 1.59 | 1.31 | 1.95 | 1.30 |
Масляная | 0.79 | 4.83 | – | 2.18 | 1.37 | 2.62 | 1.34 |
Валериановая | 1.39 | 4.84 | – | – | – | 3.30 | 1.26 |
Многоосновные кислоты | |||||||
Щавелевая | – | 1.25 | 4.27 | 0.07 | – | 0.11 | – |
Лимонная | – | 3.13 | 4.76 | 0.26 | 3.71 | 0.37 | 3.36 |
Винная | – | 3.04 | 4.37 | 0.30 | 1.15 | 0.44 | 1.19 |
Яблочная | –1.26 | 3.46 | 5.10 | – | – | 0.63 | 1.43 |
Янтарная | –0.59 | 4.21 | 5.64 | – | – | 0.99 | 1.57 |
Фумаровая | 0.46 | 3.02 | 4.48 | – | – | 1.32 | 1.33 |
Адипиновая | 0.08 | 4.42 | 5.42 | – | – | 1.63 | 1.23 |
aЗначения logPexp взяты из базы данных EPA KOWWIN [18]; bзначения pKa кислот взяты из базы данных NIST [19].
Таблица 2. Удерживание и селективность разделения нейтральных полярных органических соединений на колонках Севко АА и Наутилус ИЭ
Соединение | logPexpa | Севко AA | Наутилус ИЭ | ||||
tR, мин | k’ | α | tR, мин | k’ | α | ||
Одноатомные спирты | |||||||
Метанол | –0.77 | 6.58 | 1.67 | – | 7.05 | 2.06 | – |
Этанол | –0.31 | 7.46 | 2.03 | 1.21 | 8.08 | 2.50 | 1.22 |
Изопропанол | 0.05 | 8.20 | 2.33 | 1.15 | 8.99 | 2.91 | 1.16 |
Трет-бутанол | 0.35 | 8.77 | 2.56 | 1.10 | 9.75 | 3.24 | 1.11 |
н-Пропанол | 0.25 | 9.39 | 2.82 | 1.10 | 10.15 | 3.42 | 1.05 |
Втор-бутанол | 0.61 | 10.81 | 3.39 | 1.20 | 11.85 | 4.15 | 1.22 |
Изобутанол | 0.76 | 11.28 | 3.58 | 1.06 | 12.27 | 4.36 | 1.05 |
н-Бутанол | 0.88 | 12.88 | 4.24 | 1.18 | 13.88 | 5.06 | 1.16 |
Изопентанол | 1.16 | 16.01 | 5.51 | 1.30 | 17.31 | 6.57 | 1.30 |
н-Пентанол | 1.51 | 19.76 | 7.03 | 1.28 | 21.07 | 8.23 | 1.25 |
Многоатомные спирты | |||||||
Эритрит | –2.29 | 4.07 | 0.65 | – | 4.43 | 0.92 | – |
Глицерин | –1.76 | 4.59 | 0.87 | 1.33 | 5.02 | 1.17 | 1.28 |
Этиленгликоль | –1.36 | 5.47 | 1.22 | 1.40 | 5.95 | 1.58 | 1.35 |
Диэтиленгликоль | – | 5.48 | 1.23 | 1.01 | 6.14 | 1.66 | 1.05 |
Триэтиленгликоль | –1.75 | 5.51 | 1.24 | 1.01 | 6.30 | 1.73 | 1.04 |
Тетраэтиленгликоль | – | 5.54 | 1.25 | 1.01 | 6.35 | 1.75 | 1.01 |
Пропандиол-1,2 | –0.92 | 5.74 | 1.33 | 1.06 | 6.38 | 1.77 | 1.01 |
Пропандиол-1,3 | –1.04 | 5.89 | 1.40 | 1.05 | 6.56 | 1.84 | 1.04 |
Бутандиол-1,3 | – | 6.28 | 1.55 | 1.11 | 7.13 | 2.09 | 1.14 |
Бутандиол-1,4 | – | 7.03 | 1.86 | 1.20 | 7.98 | 2.46 | 1.18 |
Кетоны | |||||||
Ацетон | –0.24 | 7.75 | 2.15 | – | 8.27 | 2.58 | – |
Метилэтилкетон | 0.29 | 9.82 | 2.99 | 1.39 | 10.43 | 3.52 | 1.36 |
Диэтилкетон | 0.99 | 12.74 | 4.18 | 1.4 | 13.44 | 4.82 | 1.37 |
Метилизобутилкетон | 1.31 | 15.25 | 5.2 | 1.24 | 16.09 | 5.97 | 1.24 |
Метилбутилкетон | 1.38 | 18.74 | 6.62 | 1.27 | 19.41 | 7.41 | 1.24 |
Сахара и подсластители | |||||||
Инулин | – | 2.48 | 0.01 | – | 2.40 | 0.04 | – |
Мальтотриоза | – | 2.73 | 0.11 | 11.52 | 2.67 | 0.16 | 3.90 |
Мальтоза | – | 2.88 | 0.17 | 1.60 | 2.93 | 0.27 | 1.72 |
Глюкоза | –3.24 | 3.36 | 0.37 | 2.12 | 3.46 | 0.50 | 1.86 |
Ксилоза | – | 3.54 | 0.44 | 1.20 | 3.70 | 0.60 | 1.21 |
Фруктоза | – | 3.56 | 0.45 | 1.02 | 3.72 | 0.61 | 1.01 |
Арабиноза | – | 3.78 | 0.54 | 1.20 | 4.01 | 0.74 | 1.21 |
Сукралоза | –0.51 | 4.17 | 0.69 | 1.29 | 4.68 | 1.03 | 1.40 |
Ребаудиозид А | – | 4.32 | 0.76 | 1.09 | 5.28 | 1.29 | 1.25 |
aЗначения logPexp взяты из базы данных EPA KOWWIN [18] и работы [20].
Эксклюзия по размеру основана на том, что молекулы с большим размером хуже проникают в смолу, которая представляет собой пористую трехмерную сеть. Удерживание определяемого вещества определяется радиусом Стокса и проницаемостью сорбента, которая зависит от степени сшивки и набухания полимерной матрицы. Чем меньше степень сшивки, тем больше набухаемость и выше проницаемость ионообменника. Cчитается, что разделение сахаров происходит согласно эксклюзии по размеру [5, 15].
Дополнительное взаимодействие нейтральных соединений с сульфогруппой возможно с образованием водородных связей или за счет диполь-дипольных взаимодействий. Также возможна реализация распределительного механизма между водой, связанной с сульфогруппами внутри частиц смолы, и подвижной фазой вне частиц сорбента, что в определенной степени соответствует механизму гидрофильной хроматографии. В этом случае аналиты, в частности углеводы, удерживаются на сульфированном ПС-ДВБ согласно их гидрофильности [17].
Характеристика сорбентов и колонок. Рассматривали закономерности удерживания различных полярных соединений на колонках Севко АА и Наутилус ИЭ, заполненных сульфокатионообменниками на основе ПС-ДВБ, имеющих одинаковую ионообменную емкость 4.6–5.0 мэкв/г (в H+-форме), но разные диаметр частиц (7 и 10 мкм) и степень сшивки (10 и 8 %). Мертвое время определяли по времени удерживания серной кислоты, оно составило 2.46 и 2.31 мин соответственно для колонок Севко АА и Наутилус ИЭ длиной 200 мм. Согласно рекомендациям производителей, колонка Наутилус ИЭ предназначена для разделения полярных соединений методом ИЭХ, а колонка Севко AA – для аминокислотного анализа. Для заполнения хроматографических колонок использовали микросферические катионообменники с однородным распределением частиц по размеру. На рис. 1 приведена фотография сорбента Наутилус ИЭ с диаметром частиц 10 мкм, иллюстрирующая однородность частиц по размеру. Эффективность по спиртам на колонке Севко AA достигает 28 000 тт/м, а в случае Наутилус ИЭ – 24 000 тт/м (табл. 3). Соответственно приведенная высота, эквивалентная теоретической тарелке (ПВЭТТ), характеризующая качество набивки колонок, составляет 5.1 и 4.1.
Рис. 1. Микрофотографии частиц катионообменника Наутилус ИЭ.
Таблица 3. Эффективность, разрешение и коэффициенты ассимметрии полярных органических соединений на колонках Севко АА и Наутилус ИЭ
Соединение | Севко АА | Наутилус ИЭ | ||||
N, тт/м | Rs | As | N, тт/м | Rs | As | |
Одноатомные спирты | ||||||
Метанол | 23 600 | – | 0.66 | 18 200 | – | 0.43 |
Этанол | 28 300 | 2.27 | 0.59 | 20 100 | 2.1 | 0.42 |
Изопропанол | 24 600 | 1.72 | 0.6 | 19 200 | 1.68 | 0.49 |
Трет-бутанол | 20 200 | 1.11 | 1.12 | 13 000 | 1.13 | 0.5 |
н-Пропанол | 28 700 | 1.19 | 0.92 | – | 0.6 | – |
Втор-бутанол | 22 000 | 2.47 | 0.39 | 15 600 | 2.38 | – |
Изобутанол | – | 0.69 | – | – | 0.56 | – |
н-Бутанол | 25 500 | 2.27 | 0.55 | 24 500 | 2.23 | 0.38 |
Изопентанол | 17 200 | 3.45 | 0.94 | 17 400 | 3.49 | 0.62 |
н-Пентанол | 19 700 | 3.19 | 0.74 | 23 400 | 3.12 | 0.4 |
Многоатомные спирты | ||||||
Глицерин | 17 400 | – | 0.67 | 17 400 | – | 0.51 |
Этандиол-1,2 | 19 200 | 2.68 | 0.57 | 18 200 | 2.53 | 0.57 |
Пропандиол-1,3 | 20 500 | 1.13 | 1.04 | 16 800 | 1.37 | 0.76 |
Бутандиол-1,3 | 22 000 | 1.18 | 1.22 | 18 800 | 1.32 | 0.9 |
Бутандиол-1,4 | 21 000 | 1.87 | 0.58 | 22 000 | 1.74 | 0.47 |
Кетоны | ||||||
Ацетон | 24 900 | – | 0.74 | 21 800 | – | 0.46 |
Метилэтилкетон | 26 600 | 4.23 | 0.48 | 23 300 | 3.98 | 0.36 |
Диэтилкетон | 28 100 | 4.8 | 0.48 | 24 000 | 4.46 | 0.43 |
Метилизобутилкетон | 24 100 | 3.22 | 0.51 | 22 800 | 3.18 | 0.44 |
Метилбутилкетон | 24 900 | 3.6 | 0.51 | 24 300 | 3.35 | 0.46 |
Сахара | ||||||
Мальтотриоза | 7700 | – | 1.2 | 5800 | – | 1 |
Мальтоза | 7800 | 0.52 | 0.9 | 5500 | 0.66 | 0.8 |
Глюкоза | 10 400 | 1.52 | 0.89 | 10 000 | 1.68 | 0.6 |
Органические кислоты | ||||||
Щавелевая | 9700 | – | 1.5 | 9200 | – | 1.1 |
Лимонная | 8400 | 1.57 | – | 9200 | 2.35 | – |
Винная | 9200 | 0.47 | – | 10 300 | 0.65 | – |
Глиоксиловая | 13 700 | 1.12 | 0.87 | 15 800 | 1.36 | 0.67 |
Гликолевая | 12 000 | 2.75 | 0.22 | 16 800 | 3.3 | 0.3 |
Молочная | – | 0.53 | – | – | 0.7 | – |
Муравьиная | 22 000 | 1.57 | 0.84 | 21 300 | 1.12 | 0.72 |
Уксусная | 26 000 | 1.41 | 0.6 | 25 400 | 1.5 | 0.53 |
Пропионовая | 29 700 | 3.03 | 0.43 | 29 700 | 3.07 | 0.36 |
Масляная | 27 000 | 4.02 | 0.91 | 25 800 | 4.03 | 0.92 |
Изучали хроматографическое удерживание шести групп полярных водорастворимых органических соединений, включая одноатомные спирты (метанол, этанол, н-пропанол, изопропанол, трет-бутанол, втор-бутанол, изобутанол, н-бутанол, изопентанол, н-пентанол); многоатомные спирты (этиленгликоль, диэтиленгликоль, триэтиленгликоль, тетраэтиленгликоль, пропандиол-1,2, пропандиол-1,3, бутандиол-1,3, бутандиол-1,4, глицерин, эритрит); кетоны (ацетон, метилэтилкетон, диэтилкетон, метилизобутилкетон, метилбутилкетон); алифатические карбоновые кислоты (щавелевую, лимонную, винную, яблочную, фумаровую, янтарную, адипиновую, глиоксиловую, гликолевую, молочную, муравьиную, уксусную, пропионовую, масляную, валериановую); углеводы (инулин, мальтотриозу, мальтозу, глюкозу, ксилозу, фруктозу, арабинозу) и вещества-подсластители (сукралозу, ребаудиозид А).
Для каждого соединения получали значения времени удерживания (tR), фактора удерживания (k’), селективности разделения по отношению к предыдущему пику (α), эффективности (N), разрешения (Rs) и ассиметрии хроматографических пиков (As), которые приведены в табл. 1–3.
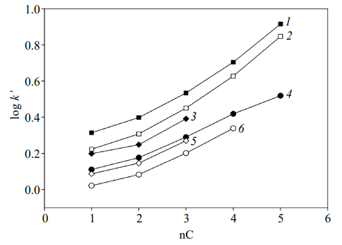
Сорбенты, полученные сульфированием микросферических ПС-ДВБ-частиц, обладают различной степенью гидрофобности. Для оценки гидрофобности удобно использовать величины α(CH2), которые рассчитывают из разности удерживания гомологов с числом атомов углерода nC > 3 [21].
Удерживание гомологов в хроматографии описывается линейной зависимостью:
, (1)
из тангенса угла наклона которой можно оценить вклад метиленовой группы в удерживание или метиленовую селективность α(CH2) [18]. В настоящей работе изучали удерживание гомологов н-алканолов, α,ω-диолов и н-алкановых кислот, для которых строили зависимости logk’–nС (рис. 2).
Рис. 2. Зависимость удерживания гомологов н-алканолов (1, 2), диолов (3, 5) и н-алкановых кислот (4, 6) от числа атомов углерода на колонках Наутилус ИЭ (1, 3, 4) и Севко АА (2, 5, 6).
Значения α(CH2), рассчитанные по разнице значений logk’ н-бутанола и н-пропанола, составили 0.170 и 0.177 для сорбентов Наутилус ИЭ и Севко АА соответственно. Поскольку величины α(CH2) характеризуют гидрофобность сорбентов, то можно сделать вывод о том, что колонка Севко АА чуть более гидрофобна. Полученные данные соответствуют значениям α(CH2) для ионообменников на основе ПС-ДВБ-матрицы [18]. Гидрофобность сорбентов можно также оценить по тангенсу угла наклона линейной зависимости logk’ от logPexp нейтральных полярных органических соединений. Полученные значения тангенса угла наклона составили 0.26 ± 0.01 и 0.24 ± 0.01 (n = 21) для сорбентов Севко АА и Наутилус ИЭ соответственно. Данные значения подтверждают более высокую гидрофобность колонки Севко АА по сравнению с Наутилус ИЭ.
Закономерности удерживания нейтральных полярных органических соединений. Одноатомные спирты. Согласно данным табл. 1 удерживание нормальных одноатомных спиртов возрастает с увеличением длины цепи. По всей видимости, это объясняется возрастающим вкладом гидрофобных взаимодействий между алкильными радикалами, оцениваемых величиной logPexp спиртов, и полимерной матрицей сорбентов (рис. 3). В целом спирты с разветвленным алкильным радикалом удерживаются слабее, чем соответствующие изомеры с линейной цепью. Такой порядок элюирования соединений связан с относительно более высокой полярностью гидроксильной группы и спирта в целом и меньшими значениями logP. При этом следует учитывать, что вследствие экранирования алкильными группами центральный атом углерода менее доступен для гетерогенного взаимодействия с поверхностью жесткой полимерной матрицы сорбента по сравнению с гомогенным взаимодействием с октанолом-2, используемым для определения значений logPexp. Данный эффект обусловливает следующий порядок элюирования изомеров бутанола: трет-бутанол < втор-бутанол < изобутанол < н-бутанол.
Рис. 3. Зависимость удерживания (logk’) полярных органических соединений на колонке Наутилус ИЭ от гидрофобности (logPexp). 1 – нейтральные соединения ((●) – одноатомные спирты, (■) – кетоны, (◆) – многоатомные спирты, (▽) – глюкоза), 2 – одноосновные кислоты (⬢) и 3 – многоосновные кислоты (△).
Зависимость порядка элюирования от гидрофобности линейна для всех изученных нейтральных полярных соединений (рис. 3), включая одноатомные спирты, за исключением трет-бутанола. Полученные закономерности удерживания спиртов справедливы для обеих изученных хроматографических колонок, при этом наблюдается линейная корреляция между факторами удерживания одноатомных спиртов на изученных колонках:
, (2)
что подтверждает одинаковый механизм удерживания с относительно более слабым удерживанием спиртов на сорбенте Севко AA. Это может быть связано с тем, что катионообменник Севко AA характеризуется большей степенью сшивки и меньшим размером пор. Из-за этого молекулам пробы труднее проникать в смолу, что приводит к снижению их удерживания. По этой причине катионообменники с низкой степенью сшивки (обычно 4 %) используют для разделения веществ с более высокой молекулярной массой, например олигосахаридов, а для разделения моно- и дисахаридов обычно используют сорбенты с 6–8 % сшивки [17]. Кроме того, обе колонки характеризуются схожей селективностью для большинства спиртов, кроме пары трет-бутанол/н-пропанол, где наибольшее значение коэффициента селективности наблюдается на сорбенте Севко AA.
На колонках Севко AA и Наутилус ИЭ изучена возможность одновременного разделения смеси десяти одноатомных спиртов. Соответствующие хроматограммы представлены на рис. 4. Как видно (рис. 4, табл. 3), колонка Севко AA показала более высокую эффективность разделения, разрешение и симметрию пиков спиртов. Заметное улучшение разрешения наблюдалось для пар трет-бутанол/н-пропанол и втор-бутанол/изобутанол, тогда как на Наутилус ИЭ пики слабо разрешены. Для удерживания одноатомных спиртов на колонке Наутилус ИЭ найдена следующая корреляция:
. (3)
Рис. 4. Хроматограмма разделения модельной смеси одноатомных спиртов с концентрацией 0.5 мг/мл: 1 – метанол, 2 – этанол, 3 – изопропанол, 4 – трет-бутанол, 5 – н-пропанол, 6 – втор-бутанол, 7 – изобутанол, 8 – н-бутанол, 9 – изопентанол, 10 – н-пентанол. Рефрактометрический детектор. Колонки: 200 × 4.6 мм.
Многоатомные спирты. Увеличение времени удерживания с увеличением длины углеродной цепи между гидроксильными группами наблюдали для многоатомных спиртов (рис. 2, табл. 2). Так, удерживание на колонке Наутилус ИЭ увеличивается от этиленгликоля (nC = 2, k’ = 1.58) к пропиленгликолю (3, 1.77) и бутиленгликолю (4, 2.46). Увеличение числа гидроксильных групп в молекулах снижает гидрофобность (logPexp) и тем самым приводит к снижению удерживания спиртов. Это проявляется в следующем порядке элюирования спиртов, содержащих три атома углерода, но разное количество гидроксильных групп: глицерин < изомеры пропандиола < изомеры пропанола. Соответственно удерживание многоатомных спиртов также пропорционально их гидрофобности, как показано на рис. 3.
Сравнение колонок показало, что более сильное удерживание как многоатомных, так и одноатомных спиртов наблюдается на колонке Наутилус ИЭ по сравнению с Севко AA (табл. 2). Что касается селективности, видно, что значения коэффициентов селективности различаются для сорбентов Севко AA и Наутилус ИЭ: сорбент Севко AA продемонстрировал лучшую селективность разделения пар эритрит/глицерин, глицерин/этиленгликоль, тетраэтиленгликоль/пропандиол-1,2 и бутандиол-1,3/бутандиол-1,4. В то же время на Наутилус ИЭ наблюдали увеличение селективности разделения пропандиола-1,3 и бутандиола-1,3. Продемонстрирована возможность одновременного разделения смеси пяти многоатомных спиртов на колонках Севко AA и Наутилус ИЭ (рис. 5).
Рис. 5. Хроматограмма разделения модельной смеси многоатомных спиртов с концентрацией 1.2 мг/мл. 1 – глицерин, 2 – этиленгликоль, 3 – пропандиол-1,3, 4 – бутандиол-1,3, 5 – бутандиол-1,4. Рефрактометрический детектор. Колонки: 200 × 4.6 мм.
Согласно полученным данным (рис. 5, табл. 3) сорбент Севко AA показал более высокую эффективность и симметрию пиков. Несмотря на это, на колонке Наутилус ИЭ наблюдали существенно лучшее разрешение для пар этиленгликоль/пропандиол-1,3 и пропандиол-1,3/бутандиол-1,3 по сравнению с сорбентом Севко AA. Обратная ситуация наблюдается для пар глицерин/этиленгликоль и бутандиол-1,3/бутандиол-1,4, где значение Rs больше на колонке Севко AA.
Кетоны. Закономерности удерживания кетонов и спиртов (табл. 2, рис. 3) схожи, при этом logk’ линейно возрастает с увеличением logPexp:
. (4)
Следует отметить, что коэффициенты корреляционных уравнений (3) и (4) практически совпадают, что указывает на определяющий вклад гидрофобности в удерживание этих соединений. На рис. 6 представлены хроматограммы модельной смеси кетонов на колонках Севко AA и Наутилус ИЭ. Из данных рис. 6 и табл. 3 видно, что обе колонки показывают высокую эффективность и разрешение кетонов, кроме того, сорбент Севко AA демонстрирует более высокую эффективность разделения и симметрию пиков.
Рис. 6. Хроматограмма разделения модельной смеси кетонов с концентрацией 0,5 мг/мл. 1 – ацетон, 2 – метилэтилкетон, 3 – диэтилкетон, 4 – метилизобутилкетон, 5 – метилбутилкетон. Рефрактометрический детектор. Колонки: 200 × 4.6 мм.
Углеводы и подсластители. Удерживание сахаров и структурно похожих подсластителей (табл. 2) уменьшается с увеличением степени полимеризации (молекулярной массы), поэтому можно предположить, что порядок элюирования сахаров обусловлен эксклюзией по размеру. Так, трисахариды удерживаются слабее, чем дисахариды, а дисахариды, в свою очередь, меньше, чем моносахариды. Эта закономерность верна, например, для ряда инулин < мальтотриоза < мальтоза < глюкоза.
Другие закономерности удерживания углеводов установить сложно, однако полученный порядок элюирования совпадает с результатами других работ. Считается, что порядок элюирования моносахаридов и альдитов обусловлен распределительным механизмом между водой, связанной с сульфогруппой внутри частиц ионообменной смолы, и подвижной фазой вне частиц сорбента.
Сукралоза – дисахарид, является производным сахарозы, отличающийся наличием трех атомов хлора. Замещение трех гидроксильных групп на атомы хлора в сахарозе приводит к снижению гидрофильности молекулы (logPexp = –0.51 [20]) и увеличению удерживания за счет возрастания гидрофобных взаимодействий с полимерной матрицей сорбента.
Ребаудиозид А является стевиоловым гликозидом и состоит из стевиола и четырех молекул глюкозы, присоединенных к стевиолу. Наличие стевиола в молекуле ребаудиозида А приводит к увеличению гидрофобности молекулы, что обусловливает увеличение удерживания по сравнению с полисахаридами, содержащих аналогичное количество моносахаридов.
Как отмечено выше, для колонки Наутилус ИЭ характерно более сильное удерживание спиртов и кетонов по сравнению с колонкой Севко AA. Аналогичная ситуация наблюдается с углеводами и подсластителями.
При оценке селективности на колонке Наутилус ИЭ наблюдали увеличение коэффициентов селективности для пар мальтотриоза/мальтоза (α = 1.72), арабиноза/сукралоза (α = 1.40) и сукралоза/ребаудиозид А (α = 1.25) по сравнению с Севко AA, где коэффициенты селективности составили 1.60, 1.29 и 1.09 соответственно. Однако сорбент Севко AA продемонстрировал лучшую селективность разделения мальтозы и глюкозы (α = 2.12), тогда как на сорбенте Наутилус ИЭ коэффициент селективности составил 1.86. По-видимому, это связано с тем, что катионообменники обладают различной степенью сшивки, что позволяет более крупным молекулам углеводов легче диффундировать в смолу с меньшим числом поперечных сшивок полимерных цепей и приводит к более сильному удерживанию. Что касается селективности разделении моносахаридов, то она схожа для обоих колонок. Сорбент Наутилус ИЭ продемонстрировал более высокое разрешение для пар мальтотриоза/мальтоза и мальтоза/глюкоза по сравнению с Севко AA (табл. 3).
Карбоновые кислоты. Одноосновные кислоты. Удерживание одноосновных карбоновых кислот пропорционально их гидрофобности (табл. 1), но электростатическое отталкивание отрицательно заряженных сорбатов от одноименно заряженных сульфогрупп приводит к более слабому взаимодействию, поэтому результирующая прямая зависимости logk’–logPexp расположена параллельно зависимости, полученной для нейтральных соединений, но ниже (рис. 3). Соотношение концентраций ионизированной и нейтральной форм кислоты определяется константой диссоциации и эквивалентно эффективному заряду растворенного вещества. Таким образом, удерживание органических кислот на сульфокатионообменниках определяется суммой электростатических и гидрофобных взаимодействий, аналогично данным работы [21] для ионообменной хроматографии кислот. Для колонки Севко AA (табл. 1) отмечено некоторое увеличение коэффициентов селективности для пар кислот глиоксиловая/гликолевая (α = 1.81) и муравьиная/молочная (α = 1.24), тогда как на Наутилус ИЭ коэффициенты селективности составляют 1.68 и 1.14 соответственно. Возможность одновременного разделения смеси десяти карбоновых кислот продемонстрирована на колонках Севко AA и Наутилус ИЭ (рис. 7).
Рис. 7. Хроматограмма разделения модельной смеси кислот с концентрацией 0.1 мг/мл: 1 – щавелевая, 2 – лимонная, 3 – винная, 4 – глиоксиловая, 5 – гликолевая, 6 – молочная, 7 – муравьиная, 8 – уксусная, 9 – пропионовая, 10 – масляная кислота. Спектрофотометрический детектор, 210 нм.
Многоосновные кислоты. Согласно данным табл. 1 и рис. 3 закономерности удерживания многоосновных и одноосновных кислот схожи, удерживание возрастает с увеличением гидрофобности. Исключением является щавелевая кислота, которая удерживается значительно слабее, чем остальные кислоты. По-видимому, это связано с низким значением pKa1 = 1.25, что приводит к уменьшению времени удерживания за счет наличия диссоциированной карбоксильной группы и дополнительного отталкивания аналита от заряженных сульфогрупп катионообменника в элюенте с рН ~ 2.0.
При рассмотрении ортогональности зависимости фактора удерживания карбоновых кислот на колонке Наутилус ИЭ от фактора удерживания карбоновых кислот на колонке Севко AA видна схожая зависимость, как и в случае спиртов. Уравнение зависимости для кислот:
. (5)
Это может свидетельствовать об идентичном механизме удерживания и относительно более слабом удерживании карбоновых кислот на сорбенте Севко AA по сравнению с Наутилус ИЭ. Как упоминалось выше, степень сшивки катионообменника существенно влияет на удерживание органических соединений, в том числе и карбоновых кислот. Так, сорбент с низкой степенью сшивки позволяет молекулам легче проникать в смолу, что приводит к увеличению коэффициентов удерживания [3, 22]. Из данных рис. 7 и табл. 3 видно, что катионообменники Наутилус ИЭ и Севко AA обладают схожей эффективностью разделения и разрешающей способностью в случае одноосновных карбоновых кислот (муравьиная, уксусная, пропионовая и масляная). Для остальных кислот наблюдали увеличение эффективности разделения и разрешения на сорбенте Наутилус ИЭ. Действительно, разрешение заметно улучшается для пар кислот щавелевая/лимонная, лимонная/винная и гликолевая/молочная, тогда как на Севко AA оно заметно хуже. Интересно отметить, что, несмотря на увеличение разрешающей способности в случае перечисленных пар кислот, на сорбенте Севко AA разрешение для пары молочная/муравьиная кислоты существенно больше по сравнению с Наутилус ИЭ. Однако на обеих колонках наблюдаются низкие значения Rs для пар кислот лимонная/винная и гликолевая/молочная. Лимонная кислота, в отличие от винной, является трехосновной, поэтому для улучшения разделения можно изменить концентрацию серной кислоты в подвижной фазе, тем самым изменив количество диссоциированных групп в кислотах. Молочная и гликолевая кислоты обладают близкими значениями pKa, однако наличие метильной группы в молекуле молочной кислоты увеличивает ее гидрофобность. Тем не менее для данной пары кислот наблюдаются низкие значения разрешения. Для повышения селективности разделения можно уменьшить температуру колонки и изменить концентрацию серной кислоты в подвижной фазе.
Что касается симметрии пиков кислот, то коэффициенты асимметрии для обоих катионообменников близки и имеют значения ниже единицы для всех кислот, кроме щавелевой кислоты, для которой As > 1.
Таким образом, можно сделать вывод, что изученные сорбенты могут быть успешно использованы для разделения и определения различных органических соединений в режиме ИЭХ. Полученные закономерности удерживания спиртов, кетонов, органических кислот и углеводов верны как для сорбента Севко AA, так и для Наутилус ИЭ и совпадают с порядком элюирования, полученным на других сульфокатионобменниках [5, 23, 24]. Важно отметить, что сорбент Севко AA показал более высокую эффективность и разрешение при разделении одноатомных спиртов и кетонов. Сорбент Наутилус ИЭ обеспечивает хорошее разрешение и эффективность разделения многоатомных спиртов, органических кислот и углеводов.
Для определения содержания сахаров, органических кислот и спиртов в реальных объектах выбрали сорбент Наутилус ИЭ. Как правило, в ИЭХ используют более объемные колонки размером 300 × 7.8 мм. По этой причине для улучшения эффективности и разрешения использовали последовательное соединение двух колонок Наутилус ИЭ длиной 150 и 200 мм. За счет увеличения эффективности колонки в изократических условиях за 38 мин удалось разделить 19 органических соединений различных классов, включая 7 органических кислот, 3 углевода, 9 спиртов (рис. 8).
Рис. 8. Хроматограмма разделения модельной смеси органических кислот, углеводов и спиртов с концентрацией 0.46 мг/мл. 1 – щавелевая к-та, 2 – лимонная к-та, 3 – винная к-та, 4 – глюкоза, 5 – фруктоза, 6 – арабиноза, 7 – янтарная к-та, 8 – молочная к-та, 9 – глицерин, 10 – уксусная к-та, 11 – пропионовая к-та, 12 – метанол, 13 – этанол, 14 – изопропанол, 15 – н-пропанол, 16 – втор-бутанол, 17 – н-бутанол, 18 – изопентанол, 19 – н-пентанол. Рефрактометрический детектор. Последовательно соединенные колонки Наутилус ИЭ размером 150 × 4.6 и 200 × 4.6 мм.
Практическое применение. Применимость сорбента Наутилус ИЭ к анализу реальных объектов сложного состава показана на примере определения органических кислот и спиртов в напитках, таких как пиво и яблочный сидр. Соответствующие хроматограммы, полученные с двумя детекторами, приведены на рис. 9. Применение рефрактометрического детектора вместе со спектрофотометрическим детектором позволило выявить хроматографические пики этанола и глицерина в сложных по составу объектах. Как видно из хроматограмм, в составе сидра обнаружены следующие компоненты: лимонная, яблочная, янтарная, молочная, фумаровая, уксусная, пропионовая кислоты, глицерин и этанол. В пиве зафиксированы пики, соответствующие щавелевой, лимонной, молочной, фумаровой, уксусной, пропионовой кислотам, глицерину и этанолу. Важно отметить использование двухдетекторной системы при анализе объектов. Использование рефрактометрического детектора позволяет отчетливо идентифицировать пики глицерина и этанола.
Рис. 9. Хроматограммы слабоалкогольных напитков. а – УФ-детектирование (210 нм), б – рефрактометрическое детектирование. Идентифицированные компоненты: 1 – щавелевая, 2 – лимонная, 3 – яблочная, 4 – янтарная, 5 – молочная, 6 – фумаровая, 7 – уксусная, 8 – пропионовая кислоты, 9 – глицерин, 10 – этанол. Последовательно соединенные колонки Наутилус ИЭ размером 150 × 4.6 и 200 × 4.6 мм.
* * *
Сравнение двух типов сульфокатионообменников показало идентичность механизма удерживания и их взаимозаменяемость для практической работы в варианте ионоэксклюзионной хроматографии. Найдено, что удерживание всех изученных соединений (logk’) линейно коррелирует со значениями гидрофобности (logPexp). При этом электростатическое отталкивание органических кислот от сульфогрупп катионообменника смещает зависимости logk’–logPexp на фиксированную величину, пропорциональную числу карбоксильных групп. Показано, что другие взаимодействия не вносят существенного вклада в удерживание соединений. Найденные закономерности удерживания существенно упрощают выбор возможных объектов анализа и идентификацию определяемых соединений.
ФИНАНСИРОВАНИЕ РАБОТЫ
Работа выполнена при финансовой поддержке Министерства науки и высшего образования РФ: АААА-А21-1211011990019-4. Никаких дополнительных грантов на проведение или руководство данным конкретным исследованием получено не было.
КОНФЛИКТ ИНТЕРЕСОВ
Авторы данной работы заявляют об отсутствии конфликта интересов.
About the authors
A. Yu. Laptev
Lomonosov Moscow State University
Author for correspondence.
Email: p.nesterenko@phys.chem.msu.ru
Russian Federation, 1, Leninskie Gory, Moscow, 119991
N. B. Rozhmanova
Lomonosov Moscow State University
Email: p.nesterenko@phys.chem.msu.ru
Russian Federation, 1, Leninskie Gory, Moscow, 119991
A. V. Sevko
Lomonosov Moscow State University
Email: p.nesterenko@phys.chem.msu.ru
Russian Federation, 1, Leninskie Gory, Moscow, 119991
References
- Haddad P.R. Ion chromatography : Principles and applications // J. Chromatogr. Libr. 1990. V. 46. P. 195.
- Mori M., Ch. 8. Ion-exclusion chromatography / Ion-Exchange Chromatography and Related Techniques / Eds. P. N. Nesterenko, C. F. Poole, Y. Sun. Elsevier, 2024. P. 163.
- Ng K.L., Dicinoski G.W., Haddad P.R. Effects of stationary phase cross-linking and ion-exchange capacity on the retention of carboxylic acids in ion-exclusion chromatography using sulfonated resins // Anal. Sci. 2001. V. 17. P. 1117.
- Медведев A.Л., Иванов А.А., Шпигун О.А. Ионоэксклюзионная хроматография алифатических карбоновых кислот // Журн. анал. химии. 1997. Т. 52. № 1. С. 47. (Medvedev A.L., Ivanov A.A., Shpigun O.A. Ion-exclusion chromatography of aliphatic carboxylic acids // J. Anal. Chem. 1997. V. 52. P. 39.)
- Papp E., Keresztes P. Retention behaviour of mono- and dicarboxylic acids, carbohydrates and alcohols in ion-exclusion chromatography. // J. Chromatogr. 1990. V. 506. P. 157.
- Tanaka K., Chikara H., Hu W., Hasebe K. Separation of carboxylic acids on a weakly acidic cation-exchange resin by ion-exclusion chromatography // J. Chromatogr. A. 1999. V. 850. P. 187.
- Mori M., Hironaga T., Kajiwara H., Nakatani N., Kozaki D., Itabashi H., Tanaka K. Use of a polystyrene-divinylbenzene-based weakly acidic cation-exchange resin column and propionic acid as an eluent in ion-exclusion/adsorption chromatography of aliphatic carboxylic acids and ethanol in food samples // Anal. Sci. 2011. V. 27. P. 505.
- Нестеpенко П.Н., Кебец П.А., Волгин Ю.В. Применение сульфокатионообменника на основе сверхсшитого полистирола для разделения органических кислот // Журн. аналит. химии. 2001. Т. 56. С. 801. (Nesterenko P.N., Kebets P.A., Volgin Y.V. Use of sulfonated cation-exchange resin based on hypercrosslinked polystyrene for the separation of organic acids // J. Anal. Chem. 2001. V. 56. P. 715.)
- Нестеpенко П.Н., Кебец П.А. Oпределение молочной кислоты методом ионоэксклюзионной хроматографии на сульфированном сверхсшитом полистиролe // Вестн. Моск. ун-та. Сер. 2. Химия. 2002. Т. 43. № 1. С. 34.
- Nesterenko P.N. Ch. 3. Stationary phases for ion separations / Ion-Exchange Chromatography and Related Techniques / Eds. P.N. Nesterenko, C.F. Poole, Y. Sun. Elsevier, 2024. P. 49.
- Hemstrom P., Irgum K. Hydrophilic interaction chromatography // J. Sep. Sci. 2006. V. 29. P. 1784.
- Tanaka K., Haddad P.R. Ion exclusion chromatography: Liquid chromatography / Encyclopedia of Separation Science / Ed. I.D. Wilson. Oxford: Academic Press, 2000. P. 3193.
- Нестеpенко П.Н., Савельев В.И. Высокоэффективная жидкостная хроматография смеси моно-, ди- и трисахаридов с использованием в качестве подвижной фазы смеси ацетон–этилацетат–вода // Журн. аналит. химии. 1990. Т. 45. С. 1134. (Nesterenko P.N., Savel’ev V.I. High-performance liquid-chromatography of a mixture of monosaccharides, disaccharidies, and trisaccharides using an acetone–ethyl-acetate–water mixture as the mobile phase // J. Anal. Chem. USS R. 1990. V. 45. P. 819.)
- Hutchinson J.P., Remenyi T., Nesterenko P., Farrell W., Groeber E., Szucs R. et al. Investigation of polar organic solvents compatible with Corona Charged Aerosol Detection and their use for the determination of sugars by hydrophilic interaction liquid chromatography // Anal. Chim. Acta. 2012. V. 750. P. 199.
- Tanaka K., Mori M. Milestone studies on ion-exclusion chromatography of ionic and nonionic substances utilizing multifunctional separation mechanism of ion-exchange resins // Anal. Sci. 2021. V. 37. P. 93.
- Mansour F.R., Kirkpatrick C.L., Danielson N.D. Ion exclusion chromatography of aromatic acids // J. Chromatogr. Sci. 2013. V. 51. P. 655.
- Rainer M., Huck C.W., Huber C.G., Bonn G.K., Ch. 3. HPLC of carbohydrates with cation-exchange silica and resin-based stationary phases / Carbohydrate Analysis by Modern Liquid Phase Separation Techniques / Ed. El Rassi Z. Amsterdam: Elsevier, 2021. P. 125.
- Программное обеспечения и база данных US EPA, KOWWIN доступна по ссылке http://www.Epa.Gov/oppt/exposure/pubs/episuite.htm (дата обращения: 30.09.2024).
- NIST critically selected stability constants of metal complexes database. Version 5.0. 1998.
- Jenner M.R., Smithson A. Physicochemical properties of the sweetener sucralose // J. Food Sci. 1989. V. 54. P. 1646.
- Nesterenko P.N., Nesterenko E.P. Hydrophobicity of polymer based anion-exchange columns for ion chromatography // Heliyon. 2021. V. 7. P. Article e07290.
- Harlow G.A., Morman D.H. Automatic ion exclusion-partition chromatography of acids // Anal. Chem. 1964. V. 36. P. 2438.
- Doyon G., Gaudreau G., St-Gelais D., Beaulieu Y., Randall C.J. Simultaneous HPLC determination of organic acids, sugars and alcohols // Can. Inst. Food Sci. Technol. J. 1991. V. 24. P. 87.
- Pecina R., Bonn G., Burtscher E., Bobleter O. High-performance liquid chromatographic elution behaviour of alcohols, aldehydes, ketones, organic acids and carbohydrates on a strong cation-exchange stationary phase // J. Chromatogr. A. 1984. V. 287. P. 245.
Supplementary files











