ИЗУЧЕНИЕ ЗАЩИТНОГО И АНТИОКСИДАНТНОГО ДЕЙСТВИЯ ИНСУЛИНА НА НЕЙРОНЫ КОРЫ МОЗГА КРЫС ПРИ ДЕПРИВАЦИИ ГЛЮКОЗЫ И КИСЛОРОДА IN VITRO
- Авторы: Захарова И.О.1, Зорина И.И.1, Баюнова Л.В.1, Шпаков А.О.1, Аврова Н.Ф.1
-
Учреждения:
- Институт эволюционной физиологии и биохимии им. И.М. Сеченова РАН
- Выпуск: Том 59, № 1 (2023)
- Страницы: 20-31
- Раздел: ЭКСПЕРИМЕНТАЛЬНЫЕ СТАТЬИ
- URL: https://journal-vniispk.ru/0044-4529/article/view/136682
- DOI: https://doi.org/10.31857/S0044452923010096
- EDN: https://elibrary.ru/GXXUDU
- ID: 136682
Цитировать
Полный текст
Аннотация
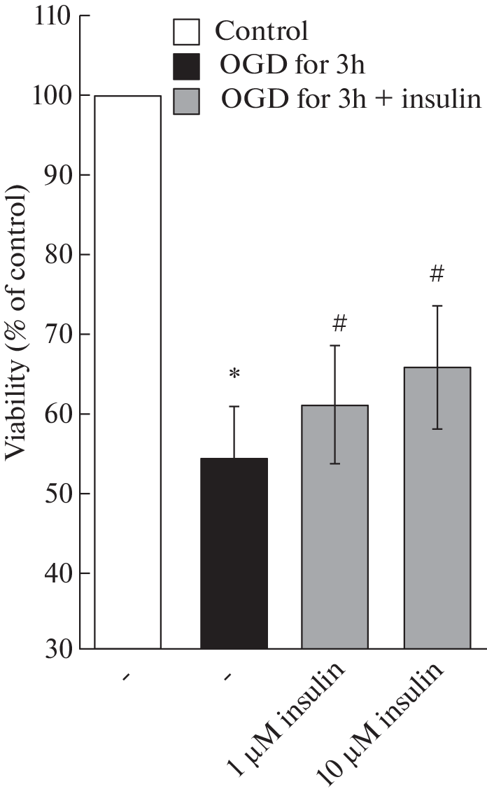
Инсулин при интраназальном введении является одним из наиболее перспективных протекторов для лечения нейродегенеративных и других болезней, связанных с поражениями мозга. Интересно, что при этих болезнях уровень инсулина в мозге (в противоположность его уровню в крови), как правило, сильно снижается, что, наряду с развитием резистентности к нему, приводит к нарушению инсулинового сигналинга в нейронах. При изучении in vitro механизмов защитного эффекта нейропротекторов при ишемии и реперфузии мозга используются разные модели. Целью настоящей работы является изучение защитного эффекта инсулина на нейроны коры мозга в культуре и его механизма действия при депривации глюкозы и кислорода (ДГК) и последующем восстановлении снабжения нейронов этими соединениями. Показано, что воздействие на нейроны ДГК в течение 1 или 3 ч с последующей инкубацией в полной ростовой среде с глюкозой и кислородом приводит к снижению жизнеспособности нейронов и увеличению образования активных форм кислорода, а преинкубация нейронов с инсулином в микромолярных концентрациях оказывает нейропротекторный и антиоксидантный эффекты. Найдено, что воздействие на нейроны ДГК в течение 1 ч и затем инкубация в полной ростовой среде приводит к падению активности протеинкиназы B – Akt (снижению отношения pAkt (Ser473)/Akt) и активации киназы гликогенсинтазы-3бета (GSK-3beta), одной из основных мишеней Akt, что выражается в снижении отношения pGSK-3beta (Ser9)/GSK-3beta. Преинкубация с инсулином, напротив, активирует Akt и инактивирует GSK-3beta. Эти эффекты инсулина, очевидно, вносят существенный вклад в его нейропротекторный эффект, т.к. активация GSK-3beta приводит к нарушению функций митохондрий и гибели нейронов. Показано также увеличение активности протеинкиназы, регулируемой внеклеточными сигналами (ERK1/2), при действии инсулина на нейроны, которая снижалась при действии ДГК с последующей инкубацией в полной ростовой среде.
Ключевые слова
Об авторах
И. О. Захарова
Институт эволюционной физиологии и биохимии им. И.М. Сеченова РАН
Email: avrova@iephb.ru
Россия, Санкт-Петербург
И. И. Зорина
Институт эволюционной физиологии и биохимии им. И.М. Сеченова РАН
Email: avrova@iephb.ru
Россия, Санкт-Петербург
Л. В. Баюнова
Институт эволюционной физиологии и биохимии им. И.М. Сеченова РАН
Email: avrova@iephb.ru
Россия, Санкт-Петербург
А. О. Шпаков
Институт эволюционной физиологии и биохимии им. И.М. Сеченова РАН
Email: avrova@iephb.ru
Россия, Санкт-Петербург
Н. Ф. Аврова
Институт эволюционной физиологии и биохимии им. И.М. Сеченова РАН
Автор, ответственный за переписку.
Email: avrova@iephb.ru
Россия, Санкт-Петербург
Список литературы
- Chen Y, Guo Z, Mao YF, Zheng T, Zhang B (2018) Intranasal insulin ameliorates cerebral hypometabolism, neuronal loss, and astrogliosis in streptosotocin-induced Alzheimer’s rat model. Neurotox Res 33: 716–724. https://doi.org/10.1007/s12640-017-9809-7
- Song Y, Ding W, Bei Y, Xiao Y, Tong HD, Wang LB, Ai LY (2018) Insulin is a potential antioxidant for diabetes-associated cognitive decline via regulating Nrf2 dependent antioxidant enzymes. Biomed Pharmacother 104: 474–484. https://doi.org/10.1016/j.biopha.2018.04.097
- Fine JM, Stroebel BM, Faltesek KA, Terai, K; Haase L, Knutzen K.E, Kosyakovsky J, Bowe TJ, Fuller A.K, Frey WH, Hanson LR (2020) Intranasal delivery of low-dose insulin ameliorates motor dysfunction and dopaminergic cell death in a 6-OHDA rat model of Parkinson’s Disease. Neurosci Lett 714: 134567. https://doi.org/10.1016/j.neulet.2019.134567
- Milstein JL, Ferris HA (2021) The brain as an insulin-sensitive metabolic organ. Mol Metab. 52: 101234. https://doi.org/10.1016/j.molmet.2021.101234
- Claxton A, Baker LD, Hanson AJ, Trittschuh EH, Collerton B, Morgan A, Callaghan M, Arbuckle M, Behl C, Craft S (2015) Long-acting insulin Detemir improves cognition for adults with mild cognitive impairment or early-stage Alzheimer’s disease dementia. J Alzheimers Dis 44: 897–906. https://doi.org/10.3233/JAD-141791
- Craft S, Claxton A, Baker LD, Hanson AJ, Collerton B, Trittschuh EH, Dahl D, Caulder E, Neth B, Montine TJ, Jung Y, Maldjian J, Whitlow C, Friedman S (2017) Effects of regular and long-acting insulin on cognition and Alzheimer’s disease biomarkers: A pilot clinical trial. J Alzheimers Dis 57: 1325–1334. https://doi.org/:10.3233/JAD-161256
- Avgerinos KI, Kalaitzidis G, Malli A, Kalaitzoglou D, Myserlis PG, Lioutas VA (2018) Intranasal insulin in Alzheimer’s dementia or mild cognitive impairment. A systematic review. J Neurol 265: 1497–1510. https://doi.org/10.1007/s00415-018-8768-0
- Novak P, Maldonado DAP, Novak V (2019) Safety and preliminary efficacy of intranasal insulin for cognitive impairment in Parkinson disease and multiple system atrophy: A double-blinded placebo-controlled pilot study. PLoS One 14: e0214364. https://doi.org/10.1371/journal.pone.0214364
- Lochhead JJ, Kellohen KL, Ronaldson PT, Davis TP (2019) Distribution of insulin in trigeminal nerve and brain after intranasal administration. Sci Rep 9: 2621. https://doi.org/10.1038/s41598-019-39191-5
- Fan LW, Carter K, Beatt A, Pang Y (2019) Rapid transport of insulin to the brain following intranasal administration in rats. Neural Regen Res 14: 1046–1051. https://doi.org/10.4103/1673-5374.250624
- Hallschmid M (2021) Intranasal insulin. J Neuroendocrinol 33: e12934. https://doi.org/10.1111/jne.12934
- Shpakov AO, Derkach KV, Berstein LM (2015) Brain signaling systems in the Type 2 diabetes and metabolic syndrome: promising target to treat and prevent these diseases. Future Sci OA 1: FSO25. https://doi.org/10.4155/fso.15.23
- Minokoshi Y, Alquier T, Furukawa N, Kim YB, Lee A, Xue B, Mu J, Foufelle F, Ferré P, Birnbaum MJ (2004) AMP-kinase regulates food intake by responding to hormonal and nutrient signals in the hypothalamus. Nature 428: 569–574. https://doi.org/10.1038/nature02440
- Rizk NN, Myatt-Jones.J, Rafols J, Dunbar JC (2007) Insulin-like growth factor-1 (IGF-1) decreases ischemia-reperfusion induced apoptosis and necrosis in diabetic rats. Endocrine 31: 66–71. https://doi.org/10.1007/s12020-007-0012-0
- Jiang LH, Yuan XL, Yang NY, Ren., Zhao. M, Luo BX, Bian YY, Xu JY, Lu DX, Zheng YY, Zhang CJ, Diao YM, Xia BM, Chen GJ (2015) Daucosterol protects neurons against oxygen-glucose deprivation/reperfusion-mediated injury by activating IGF1 signaling pathway. Steroid Biochem Mol Biol 152: 45–52. https://doi.org/10.1016/j.jsbmb.2015.04.007
- Gong P, Zou Y, Zhang W, Tian Q, Han S, Xu Z, Chen Q, Wang X, Li M (2021) The neuroprotective effects of Insulin-like growth factor-1 via the Hippo/YAP signaling pathway are mediated by the PI3K/AKT cascade following cerebral ischemia/reperfusion injury. Brain Res Bull 177: 373–387. https://doi.org/10.1016/j.brainresbull.2021.10.017
- Lioutas VA, Alfaro-Martinez F, Bedoya F, Chung CC, Pimentel DA, Novak V (2015) Intranasal insulin and insulin-like growth factor-1 as neuroprotectants in acute ischemic stroke. Transl Stroke Res 6: 264–275. https://doi.org/10.1007/s12975-015-0409-7
- Zorina II, Galkina OV, Bayunova LV, Zakharova IO (2019) Effect of insulin on lipid peroxidation and glutathione levels in a two-vessel occlusion model of rat forebrain ischemia followed by reperfusion. J Evol Biochem Physiol 35: 333–335. https://doi.org/10.1134/S0022093019040094
- Zorina II, Fokina EA, Zakharova IO, Bayunova LV, Shpakov AO (2020) Characteristics of changes in lipid peroxidation and Na+/K+-ATPase activity in the cortex of old rats in conditions of two-vessel cerebral ischemia/reperfusion. Adv Geront 10: 156–161. https://doi.org/10.1134/s2079057020020162
- Mielke JG, Wang YT (2005) Insulin exerts neuroprotection by counteracting the decrease in cell-surface GABA receptors following oxygen-glucose deprivation in cultured cortical neurons. J Neurochem 92: 103–113. https://doi.org/10.1111/j.1471-4159.2004.02841.x
- Sun X, Yao H, Douglas RM, Gu XQ, Wang J, Haddad GG (2010) Insulin/PI3K signaling protects dentate neurons from oxygen-glucose deprivation in organotypic slice cultures. J Neurochem 112: 377–388. https://doi.org/10.1111/j.1471-4159.2009.06450.x
- Dichter MA (1978) Rat cortical neurons in cell culture: culture methods, cell morphology, electrophysiology, and synapse formation. Brain Res 149: 279–293. https://doi.org/10.1016/0006-8993(78)90476-6
- Mironova EV, Evstratova AA, Antonov SM (2007) A fluorescence vital assay for the recognition and quantification of excitotoxic cell death by necrosis and apoptosis using confocal microscopy on neurons in culture. J Neurosci Methods 163: 1–8. https://doi.org/10.1016/j.jneumeth.2007.02.010
- Hansen MB, Nielsen SE, Berg K (1989) Re-examination and further development of a precise and rapid dye method for measuring cell growth/cell kill. J Immunol Methods 119: 203–210. https://doi.org/10.1016/0022-1759(89)90397-9
- Zorina II, Bayunova LV, Zakharova IO, Avrova NF (2018) The dependence of the protective effect of insulin on its concentration and modulation of ERK1/2 activity under the conditions of oxidative stress in cortical neurons. Neurochem J 10: 111–116. https://doi.org/0.1134/S1819712417040110
- Zakharova I, Sokolova T, Vlasova Y, Bayunova L, Rychkova M, Avrova N (2017) α-Tocopherol at nanomolar concentration protects cortical neurons against oxidative stress. Int J Mol Sci. 18: 216. https://doi.org/10.3390/ijms18010216
- Bonde C, Noraberg J, Noer H, Zimmer J (2005) Ionotropic glutamate receptors and glutamate transporters are involved in necrotic neuronal cell death induced by oxygen-glucose deprivation of hippocampal slice cultures. Neuroscience 136: 779–794. https://doi.org/10.1016/j.neuroscience.2005.07.020
- Zakharova IO, Sokolova TV, Zorina I, Bayunova LV, Rychkova MP, Avrova NF (2018) Protective effect of insulin on rat cortical neurons in oxidative stress and its dependence on modulation of protein kinase B (Akt) activity. J Evol Biochem Physiol 54: 192–204. https://doi.org/10.1134/S0022093018030043
- Bayunova LV, Zorina II, Zakharova IO, Avrova NF (2018) Insulin increases viability of neurons in rat cerebral cortex and normalizes Bax/Bcl-2 atio under conditions of oxidative stress. Bull Exp Bio Med 165: 14–17. https://doi.org/10.1007/s10517-018-4088-8
- Zakharova, IO, Sokolova TV, Bayunova LV, Zorina II, Rychkova MP, Shpakov AO, Avrova NF (2019) The protective effect of insulin on rat cortical neurons in oxidative stress and its dependence on the modulation of Akt, GSK-3beta, ERK1/2, and AMPK activities. Int J Mol Sci 20 (15): E3702. https://doi.org/10.3390/ijms20153702
Дополнительные файлы










