REMODELING OF EXTRACELLULARLY RECORDED ACTION POTENTIALS OF RAT HEART SUBEPICARDIAL CARDIOMYOCYTES AFTER ISCHEMIA REPERFUSION INJURY
- Authors: Stepanov A.V.1, Dobretsov M.G.1, Novikova E.V.1, Filippov Y.A.1, Panov A.A.1, Kubasov I.V.1
-
Affiliations:
- Sechenov Institute of Evolutionary Physiology and Biochemistry of the Russian Academy of Sciences
- Issue: Vol 59, No 5 (2023)
- Pages: 378-388
- Section: EXPERIMENTAL ARTICLES
- URL: https://journal-vniispk.ru/0044-4529/article/view/136712
- DOI: https://doi.org/10.31857/S004445292305008X
- EDN: https://elibrary.ru/KQFEOG
- ID: 136712
Cite item
Full Text
Abstract
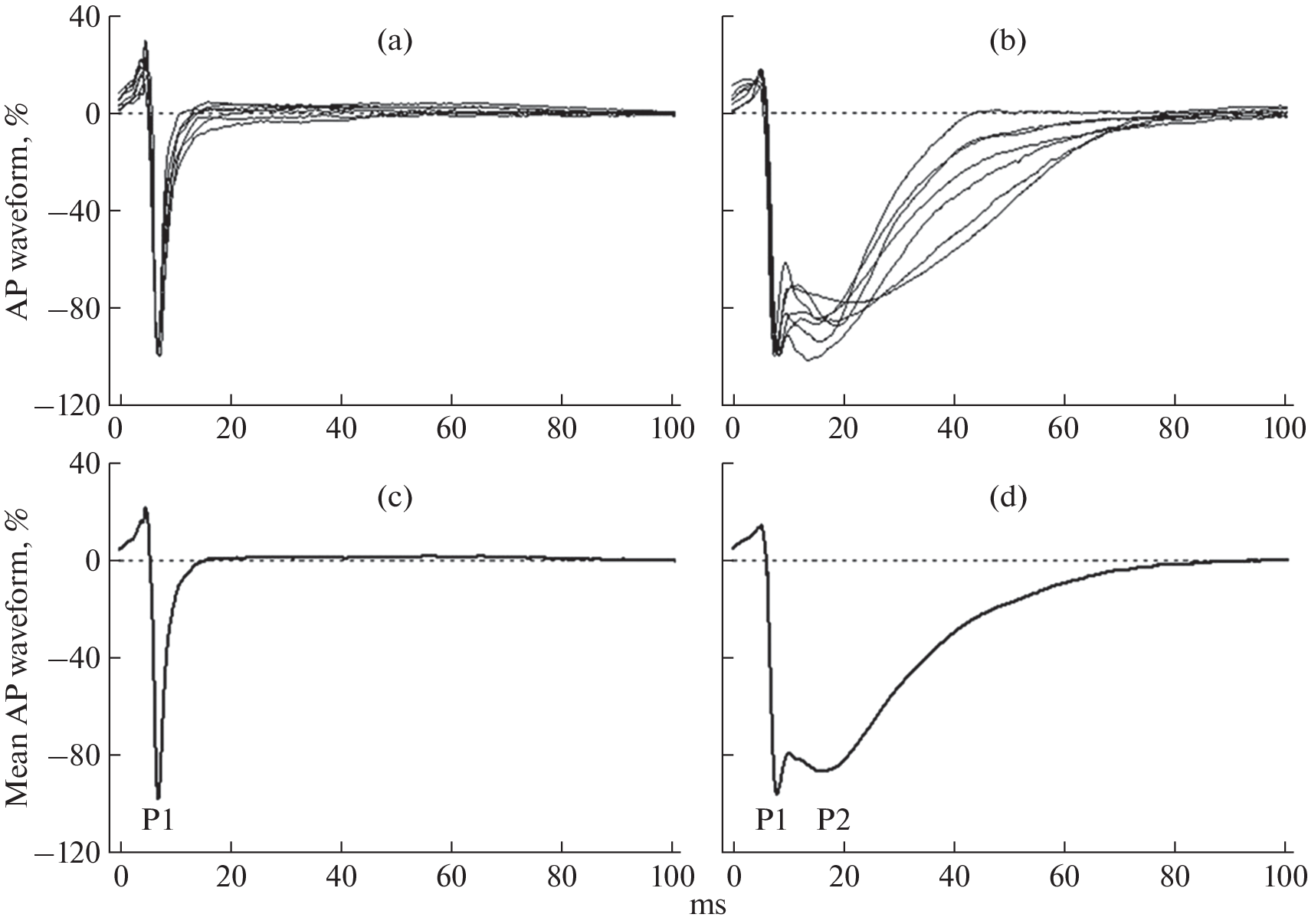
A number of systemic heart diseases leading to the development of heart failure (aortic stenosis, hypertension, diabetic cardiomyopathy, reperfusion injury etc.) are accompanied by a pronounced reorganization of the T-system of cardiomyocytes, both in humans and animals. However, structural-functional changes within this membrane compartment of cardiomyocytes following ischemia-reperfusion (IR) have not been thoroughly studied. The aim of the work was to study the remodeling of the T-system in the subepicardial cardiomyocytes of the left ventricle of the rat heart after IR injury using confocal microscopy and extracellular recording methods. The study was carried out after 24 hours, two weeks, and four weeks following IR. A remodeling of action potentials, recorded extracellularly in the cardiomyocyte membrane patches devoid of t-tubule entrances (type 1 eAP), was observed. Starting from 24 hours up to 4 weeks after IR, there was an increase in the duration of their decline time (T90) and the formation of eAP after-hyperpolarization phase, reaching maximum values by the fourth week after IR. A decrease in the second peak’s amplitude of eAPs, measured from cardiomyocyte surface locations with t-tubule openings, was also noticed four weeks after IR. In this investigation, no observable changes in the structural organization of the T-system were found. These data suggest that functional modifications of the epicardial cardiomyocyte T-system after IR injury may precede its structural modifications.
About the authors
A. V. Stepanov
Sechenov Institute of Evolutionary Physiology and Biochemistry of the Russian Academy of Sciences
Author for correspondence.
Email: botanik2407@gmail.com
Russia, Saint Petersburg
M. G. Dobretsov
Sechenov Institute of Evolutionary Physiology and Biochemistry of the Russian Academy of Sciences
Email: botanik2407@gmail.com
Russia, Saint Petersburg
E. V. Novikova
Sechenov Institute of Evolutionary Physiology and Biochemistry of the Russian Academy of Sciences
Email: botanik2407@gmail.com
Russia, Saint Petersburg
Yu. A. Filippov
Sechenov Institute of Evolutionary Physiology and Biochemistry of the Russian Academy of Sciences
Email: botanik2407@gmail.com
Russia, Saint Petersburg
A. A. Panov
Sechenov Institute of Evolutionary Physiology and Biochemistry of the Russian Academy of Sciences
Email: botanik2407@gmail.com
Russia, Saint Petersburg
I. V. Kubasov
Sechenov Institute of Evolutionary Physiology and Biochemistry of the Russian Academy of Sciences
Email: botanik2407@gmail.com
Russia, Saint Petersburg
References
- Reimer KA, Lowe JE, Rasmussen MM, Jennings RB (1977) The wavefront phenomenon of ischemic cell death. 1. Myocardial infarct size vs duration of coronary occlusion in dogs. Circulation 56: 786–794. https://doi.org/10.1161/01.CIR.56.5.786
- Boatwright RB, Downey HF, Bashour FA, Crystal GJ (1980) Transmural variation in autoregulation of coronary blood flow in hyperperfused canine myocardium. Circ Res 47: 599–609. https://doi.org/10.1161/01.RES.47.4.599
- Christia P, Bujak M, Gonzalez-Quesada C, Chen W, Dobaczewski M, Reddy A, Frangogiannis NG (2013) Systematic characterization of myocardial inflammation, repair, and remodeling in a mouse model of reperfused myocardial infarction. J Histochem Cytochem 61: 555–570. https://doi.org/10.1369/0022155413493912
- Reed GW, Rossi JE, Cannon CP (2017) Acute myocardial infarction. Lancet 389: 197–210. https://doi.org/10.1016/S0140-6736(16)30677-8
- Lindsey ML, Bolli R, Canty JM, Du XJ, Frangogiannis NG, Frantz S, Gourdie RG, Holmes JW, Jones SP, Kloner RA, Lefer DJ, Liao R, Murphy E, Ping P, Przyklenk K, Recchia FA, Longacre LS, Ripplinger CM, Van Eyk JE, Heusch G (2018) Guidelines for experimental models of myocardial ischemia and infarction. Am J Physiol Heart Circ Physiol 314: H812–H838. https://doi.org/10.1152/ajpheart.00335.2017
- Yeap XY, Dehn S, Adelman J, Lipsitz J, Thorp EB (2013) Quantitation of acute necrosis after experimental myocardial infarction. Methods Mol Biol 1004: 115–133. https://doi.org/10.1007/978-1-62703-383-1_9
- Liu T, Howarth AG, Chen Y, Nair AR, Yang HJ, Ren D, Tang R, Sykes J, Kovacs MS, Dey D, Slomka P, Wood JC, Finney R, Zeng M, Prato FS, Francis J, Berman DS, Shah PK, Kumar A, Dharmakumar R (2022) Intramyocardial Hemorrhage and the “Wave Front” of Reperfusion Injury Compromising Myocardial Salvage. J Am Coll Cardiol 79: 35–48. https://doi.org/10.1016/j.jacc.2021.10.034
- Frantz S, Hundertmark MJ, Schulz-Menger J, Bengel FM, Bauersachs J (2022) Left ventricular remodelling post-myocardial infarction: pathophysiology, imaging, and novel therapies. Eur Heart J 43: 2549–2561. https://doi.org/10.1093/eurheartj/ehac223
- Wei S, Guo A, Chen B, Kutschke W, Xie YP, Zimmerman K, Weiss RM, Anderson ME, Cheng H, Song LS (2010) T-tubule remodeling during transition from hypertrophy to heart failure. Circ Res 107: 520–531. https://doi.org/10.1161/CIRCRESAHA.109.212324
- Xie YP, Chen B, Sanders P, Guo A, Li Y, Zimmerman K, Wang LC, Weiss RM, Grumbach IM, Anderson ME, Song LS (2012) Sildenafil prevents and reverses transverse-tubule remodeling and Ca2+ handling dysfunction in right ventricle failure induced by pulmonary artery hypertension. Hypertension 59: 355–362. https://doi.org/10.1161/111.180968
- Ibrahim M, Gorelik J, Yacoub MH, Terracciano CM (2011) The structure and function of cardiac t-tubules in health and disease. Proc Biol Sci 278: 2714–2723. https://doi.org/10.1098/rspb.2011.0624
- Ibrahim M, Terracciano CM (2013) Reversibility of T-tubule remodelling in heart failure: Mechanical load as a dynamic regulator of the T-tubules. Cardiovasc Res 98: 225–232. https://doi.org/10.1093/cvr/cvt016
- Louch WE, Sejersted OM, Swift F (2010) There goes the neighborhood: Pathological alterations in T-tubule morphology and consequences for cardiomyocyte Ca2+ handling. J Biomed Biotechnol 2010: 503906. https://doi.org/10.1155/2010/503906
- Wang S, Zhou Y, Luo Y, Kan R, Chen J, Xuan H, Wang C, Chen J, Xu T, Li D (2021) SERCA2a ameliorates cardiomyocyte T-tubule remodeling via the calpain/JPH2 pathway to improve cardiac function in myocardial ischemia/reperfusion mice. Sci Rep 11: 2037. https://doi.org/10.1038/s41598-021-81570-4
- Кубасов ИВ, Чистякова ОВ, Сухов ИБ, Панов АА, Добрецов МГ (2020) Изменения внеклеточно регистрируемых потенциалов действия изолированного сердца крысы при развитии стрептозотоцинового диабета. Рос физиол журн им ИМ Сеченова 106: 1266–1277. [Kubasov IV, Chistyakova OV, Sukhov IB, Panov AA, Dobretsov MG (2020) Functional changes in the T-system of cardiomyocytes of the isolated rat heart during development of streptozotocin-induced diabetes. Russ J Physiol 106: 1266–1277. (In Russ)]. https://doi.org/10.31857/s0869813920100052
- Kubasov IV, Bobkov DE, Stepanov AV, Sukhov IB, Chistyakova OV, Dobretsov MG (2020) Evaluation of the T-System of Rat Cardiomyocytes during Early Stages of Streptozotocin-Induced Diabetes. Russ J Physiol 106: 1098–1108. https://doi.org/10.31857/S0869813920090046
- Swift F, Franzini-Armstrong C, Øyehaug L, Enger UH, Andersson KB, Christensen G, Sejersted OM, Louch WE (2012) Extreme Sarcoplasmic Reticulum Volume Loss and Compensatory T-Tubule Remodeling after Serca2 Knockout. Proc Natl Acad Sci USA 109: 3997–4001. https://doi.org/10.1073/pnas.1120172109
- Pinali C, Bennett H, Davenport JB, Trafford AW, Kitmitto A (2013) Three-Dimensional Reconstruction of Cardiac Sarcoplasmic Reticulum Reveals a Continuous Network Linking Transverse-Tubules: This Organization Is Perturbed in Heart Failure. Circ Res 113:1219–1230. https://doi.org/10.1161/CIRCRESAHA.113.301348
- Knollmann BC, Tranquillo J, Sirenko SG, Henriquez C, Franz MR (2002) Microelectrode study of the genesis of the monophasic action potential by contact electrode technique. J Cardiovasc Electrophysiol 13: 1246–1252. https://doi.org/10.1046/j.1540-8167.2002.01246.x
- Kondo M, Nesterenko V, Antzelevitch C (2004) Cellular basis for the monophasic action potential. Which electrode is the recording electrode? Cardiovasc Res 63: 635–644. https://doi.org/10.1016/j.cardiores.2004.05.003
- Knollmann BC, Schober T, Petersen AO, Sirenko SG, Franz MR (2007) Action potential characterization in intact mouse heart: steady-state cycle length dependence and electrical restitution. Am J Physiol Heart Circ Physiol 292: H614–621. https://doi.org/10.1152/ajpheart.01085.2005
- Kubasov IV, Dobretsov M (2012) Two types of extracellular action potentials recorded with narrow-tipped pipettes in skeletal muscle of frog, Rana temporaria. J Physiol 590: 2937–2944. https://doi.org/10.1113/jphysiol.2012.230813
- Kubasov IV, Stepanov AV, Györke S (2017) Action potential heterogeneity as revealed by extracellular microelectrode recording from the surface of the isolated rat heart. J Evol Biochem Phys 53: 515–518. https://doi.org/10.1134/S0022093017060102
- Kubasov IV, Stepanov A, Bobkov D, Radwanski PB, Terpilowski MA, Dobretsov M, Gyorke S (2018) Sub-cellular Electrical Heterogeneity Revealed by Loose Patch Recording Reflects Differential Localization of Sarcolemmal Ion Channels in Intact Rat. Front Physiol 9:61. https://doi.org/10.3389/fphys.2018.00061
- Ciuffreda MC, Tolva V, Casana R, Gnecchi M, Vanoli E, Spazzolini C, Roughan J, Calvillo L (2014) Rat Experimental Model of Myocardial Ischemia/Reperfusion Injury: An Ethical Approach to Set Up the Analgesic Management of Acute Post-Surgical Pain. PLoS One 9: e95913. https://doi.org/10.1371/journal.pone.0095913
- Murakami M, Niwa H, Kushikata T, Watanabe H, Hirota K, Ono K, Ohba T (2014) Inhalation anesthesia is preferable for recording rat cardiac function using an electrocardiogram. Biol Pharm Bull 37: 834–839. https://doi.org/10.1248/bpb.b14-00012
- Zhang R, Han D, Li Z, Shen C, Zhang Y, Li J, Yan G, Li S, Hu B, Li J, Liu P (2018) Ginkgolide C alleviates myocardial ischemia/reperfusion-induced inflammatory injury via inhibition of CD40-NF-κB pathway. Front Pharmacol 9: 109. https://doi.org/10.3389/fphar.2018.00109
- Fishbein MC, Meerbaum S, Rit J, Lando U, Kanmatsuse K, Mercier JC, Corday E, Ganz W (1981) Early phase acute myocardial infarct size quantification: validation of the triphenyl tetrazolium chloride tissue enzyme staining technique. Am Heart J 101: 593–600. https://doi.org/10.1016/0002-8703(81)90226-X
- Kubasov IV, Dobretsov MG, Bobkov DE, Panov AA (2020) A Putative Relationship between Polymorphism of Extracellularly Recorded Action Potentials and Organization of the T-tubular System in Rat Ventricular and Atrial Cardiomyocytes. J Evol Biochem Phys 56: 333–337. https://doi.org/10.1134/S0022093020040043
- Kubasov IV, Stepanov AV, Panov AA, Chistyakova OV, Sukhov IB, Dobretsov MG (2021) Role of Potassium Currents in the Formation of After-Hyperpolarization Phase of Extracellular Action Potentials Recorded from the Control and Diabetic Rat Heart Ventricular Myocytes. J Evol Biochem Phys 57: 1511–1521. https://doi.org/10.1134/S0022093021060272
- Tejada T, Tan L, Torres RA, Calvert JW, Lambert JP, Zaidi M, Husain M, Berce MD, Naib H, Pejler G, Abrink M, Graham RM, Lefer DJ, Naqvi N, Husain A (2016) IGF-1 degradation by mouse mast cell protease 4 promotes cell death and adverse cardiac remodeling days after a myocardial infarction. Proc Natl Acad Sci U S A 113: 6949–6954. https://doi.org/10.1073/pnas.1603127113
- Shimizu Y, Nicholson CK, Lambert JP, Barr LA, Kuek N, Herszenhaut D, Tan L, Murohara T, Hansen JM, Husain A, Naqvi N, Calvert JW (2016) Sodium sulfide attenuates ischemic-induced heart failure by enhancing proteasomal function in an Nrf2-dependent manner. Circ Heart Fail 9: e002368. https://doi.org/10.1161/CIRCHEARTFAILURE.115.002368
- Fishbein MC, Maclean D, Maroko PR (1978) Experimental myocardial infarction in the rat: qualitative and quantitative changes during pathologic evolution. Am J Pathol 90: 57–70.
- Chrastina A, Pokreisz P, Schnitzer JE (2014) Experimental model of transthoracic, vascular-targeted, photodynamically induced myocardial infarction. Am J Physiol Heart Circ Physiol 306: H270–H278. https://doi.org/10.1152/ajpheart.00818.2012
- Speechly-Dick ME, Mocanu MM, Yellon DM (1994) Protein kinase C. Its role in ischemic preconditioning in the rat. Circ Res 75: 586–590. https://doi.org/10.1161/01.RES.75.3.586
- Konopelski P, Ufnal M (2016) Electrocardiography in rats: a comparison to human. Physiol Res 65: 717–725. https://doi.org/10.33549/physiolres.933270
- Normann SJ, Priest RE, Benditt EP (1961) Electrocardiogram in the normal rat and its alteration with experimental coronary occlusion. Circ Res 9: 282–287. https://doi.org/10.1161/01.RES.9.2.282
- Brette F, Orchard C (2003) T-Tubule Function in Mammalian Cardiac Myocytes. Circ Res 92:1182–1192. https://doi.org/10.1161/01.RES.0000074908.17214.FD
- Hong TT, Shaw RM (2017) Cardiac T-tubule microanatomy and function. Physiol Rev 97: 227–252. https://doi.org/10.1152/physrev.00037.2015
- Jourdon P, Feuvray D (1993) Calcium and potassium currents in ventricular myocytes isolated from diabetic rats. J Physiol 470: 411–429. https://doi.org/10.1113/jphysiol.1993.sp019866
- Shimoni Y, Ewart HS, Severson D (1999) Insulin stimulation of rat ventricular K+ currents depends on the integrity of the cytoskeleton. J Physiol 514: 735–745. https://doi.org/10.1111/j.1469-7793.1999.735ad.x
- Brouillette J, Clark RB, Giles WR, Fiset C (2004) Functional properties of K+ currents in adult mouse ventricular myocytes. J Physiol 559: 777–798. https://doi.org/10.1113/jphysiol.2004.063446
- Chang PC, Turker I, Lopshire JC, Masroor S, Nguyen BL, Tao W, Rubart M, Chen PS, Chen Z, Ai T (2013) Heterogeneous upregulation of apamin-sensitive potassium currents in failing human ventricles. J Am Heart Assoc 2: e004713. https://doi.org/10.1161/JAHA.112.004713
- Chua SK, Chang PC, Maruyama M, Turker I, Shinohara T, Shen MJ, Chen Z, Shen C, Rubart-von der Lohe M, Lopshire JC, Ogawa M, Weiss JN, Lin SF, Ai T, Chen PS (2011) Small conductance calcium-activated potassium channel and recurrent ventricular fibrillation in failing rabbit ventricles. Circ Res 108: 971–979. https://doi.org/10.1161/CIRCRESAHA.110.238386
- Gui L, Bao Z, Jia Y, Qin X, Cheng ZJ, Zhu J, Chen QH (2013) Ventricular tachyarrhythmias in rats with acute myocardial infarction involves activation of small-conductance Ca2+-activated K+ channels. Am J Physiol Heart Circ Physiol 304: H118–H130. https://doi.org/10.1152/ajpheart.00820.2011
- Bonilla IM, Long VP III, Vargas-Pinto P, Wright P, Belevych A, Lou Q, Mowrey K, Yoo J, Binkley PF, Fedorov VV, Györke S, Janssen PML, Kilic A, Mohler PJ, Carnes CA (2014) Calcium-Activated Potassium Current Modulates Ventricular Repolarization in Chronic Heart Failure. PLoS One 9: e108824. https://doi.org/10.1371/journal.pone.0108824
Supplementary files







