MEDIATORS OF THE SYMPATHETIC NERVOUS SYSTEM ATP AND NORADRENALINE IN THE MODULATION OF ANTIBODY FORMATION DURING DEEP COOLING OF THE ORGANISM
- Authors: Kozyreva T.V.1, Meyta E.S.1
-
Affiliations:
- Scientific Research Institute of Neurosciences and Medicine
- Issue: Vol 59, No 6 (2023)
- Pages: 514-521
- Section: EXPERIMENTAL ARTICLES
- URL: https://journal-vniispk.ru/0044-4529/article/view/247312
- DOI: https://doi.org/10.31857/S0044452923060062
- EDN: https://elibrary.ru/GJUEBC
- ID: 247312
Cite item
Full Text
Abstract
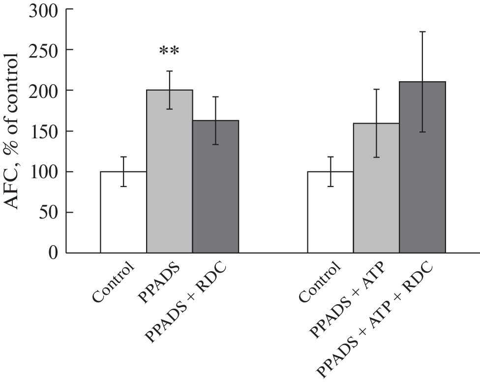
In experiments on rats, the participation of co-mediators of the sympathetic nervous system in the suppressive effect of deep cooling on the antibody-forming function of the spleen was studied. Studied: 1) the effect of deep cooling (decrease in deep temperature by 3–4°С), 2) the introduction of the mediator of the sympathetic nervous system norepinephrine (NE, 1 mg/ml), 3) its co-transmitter ATP (0.01 mg/ml and 10 mg/ml) and 4) P2X-purinergic receptor blocker PPADS on the number of antibody-forming cells of the spleen in response to immunization with sheep erythrocytes. Deep cooling as well as ATP inhibited, while NE stimulated antibody formation in the spleen. Blockade of P2X-purinergic receptors by PPADS stimulated antibody formation in the norm. Against the background of blockade of P2X-purinergic receptors, the inhibitory effect of ATP and deep cooling on antibody formation was not manifested. The results obtained indicate the opposite effects of co-mediators of the sympathetic nervous system on antibody formation in the spleen and suggest that the inhibitory effect of cold on antibody formation in the spleen occurs with the participation of ATP through P2X-purinergic receptors.
Keywords
About the authors
T. V. Kozyreva
Scientific Research Institute of Neurosciences and Medicine
Author for correspondence.
Email: kozyrevatv@neuronm.ru
Russia, Novosibirsk
E. S. Meyta
Scientific Research Institute of Neurosciences and Medicine
Author for correspondence.
Email: meytaes@neuronm.ru
Russia, Novosibirsk
References
- Hu GZ, Yang SJ, Hu WX, Wen Z, He D, Zeng LF, Xiang Q, Wu XM, Zhou WY, Zhu QX (2016) Effect of cold stress on immunity in rats. Exp Therapeut Med 11 (1): 33–42. https://doi.org/10.3892/etm.2015.2854
- Vialard F, Olivier M (2020) Thermoneutrality and immunity: how does cold stress affect disease? Front Immunol 11: 588387. https://doi.org/10.3389/fimmu.2020.588387
- Kozyreva TV, Eliseeva LS (2000) Immune response in cold exposures of different types. J Thermal Biol 25 (5): 401–404. https://doi.org/10.1016/S0306-4565(99)00113-8
- Kozyreva TV, Gonsales EV, Eliseeva LS (2004) β-adrenoreceptor participation in the formation of the thermoregulatory and immune responses under the effect of rapid deep cooling. J Therm Biol 29 (7–8): 819–824. https://doi.org/10.1016/j.jtherbio.2004.08.077
- Kozyreva TV, Tkachenko EY, Kozaruk VP, Latysheva TV, Gilinsky MA (1999) Effects of slow and rapid cooling on catecholamine concentration in arterial plasma and the skin. Am J Physiol 276 (6): R1668–72. https://doi.org/10.1152/ajpregu.1999.276.6.R1668
- Brazaitis M, Eimantas N, Daniuseviciute L, Micke-viciene D, Steponaviciute R, Skurvydas A (2014) Two Strategies for Response to 14°C Cold-Water Immersion: Is there a Difference in the Response of Motor, Cognitive, Immune and Stress Markers? PLoS ONE 9 (10): e109020. https://doi.org/10.1371/journal.pone.0109020
- Gagnon DD, Gagnon SS, Rintamäki H, Törmäkangas T, Puukka K, Herzig KH, Kyröläinen H (2014) The effects of cold exposure on leukocytes, hormones and cytokines during acute exercise in humans. PLoS One 9 (10): e110774. https://doi.org/10.1371/journal.pone.0110774
- Alba BK, Castellani JW, Charkoudian N (2019) Cold-induced cutaneous vasoconstriction in humans: Function, dysfunction and the distinctly counterproductive. Exp Physiol 104 (8): 1202–1214. https://doi.org/10.1113/EP087718
- Eliseeva LS, Chramova GM, Gonsales EB, Kozyreva TV (2009) α1- and β-Adrenoblockers Effects on Immunogenesis in Rats under Thermoneutral Conditions and after Cooling of Various Extent. Bull Exp Biol Med 147: 208–212. https://doi.org/10.1007/s10517-009-0476-4
- Gein SV, Karnaukhova AV (2022) The Role of β-Adrenergic Receptors in the Regulation of the Functions of Innate Immune Cells during Cold Stress In Vivo. Bull of Exp Biol Med 173 (1): 72–76. https://doi.org/10.1007/s10517-022-05496-1
- Townsend AD, Wilken GH, Mitchell KK, Martin RS, Macarthur H (2016) Simultaneous analysis of vascular norepinephrine and ATP release using an integrated microfluidic system. J Neurosci Method 266: 68–77. https://doi.org/10.1016/j.jneumeth.2016.03.015
- Burnstock G (2017) Purinergic signaling in the cardiovascular system. Circul Res 120 (1): 207–228. https://doi.org/10.1161/CIRCRESAHA.116.309726
- Burnstock G (2020) Introduction to purinergic signalling in the brain. Glioma signaling: 1–12. https://doi.org/10.1007/978-3-030-30651-9_1
- Kennedy C (2021) ATP as a cotransmitter in sympathetic and parasympathetic nerves-another Burnstock legacy. Autonom Neurosci 235: 102860. https://doi.org/10.1016/j.autneu.2021.102860
- Burnstock G (2020) Introduction to Purinergic Signaling. Methods Mol Biol 2041: 1–15. https://doi.org/10.1007/978-1-4939-9717-6_1
- Haskó G, Szabó C (1998) Regulation of cytokine and chemokine production by transmitters and co-transmitters of the autonomic nervous system. Biochem Pharmacol 56 (9): 1079–1087. https://doi.org/10.1016/S0006-2952(98)00153-1
- Pongratz G, Straub RH (2014) The sympathetic nervous response in inflammation. Arthrit Res Ther 16: 1–12. https://doi.org/10.1186/s13075-014-0504-2
- Cekic C, Linden J (2016) Purinergic regulation of the immune system. Nat Rev Immunol 16 (3): 177–192. https://doi.org/10.1038/nri.2016.4
- Cho JH, Jung KY, Jung Y, Kim MH, Ko H, Park CS, Kim YC (2013) Design and synthesis of potent and selective P2X3 receptor antagonists derived from PPADS as potential pain modulators. Eur J Med Chem 70: 811–830. https://doi.org/10.1016/j.ejmech.2013.10.026
- Huo H, Fryatt AG, Farmer LK, Schmid R, Evans RJ (2018) Mapping the binding site of the P2X receptor antagonist PPADS reveals the importance of orthosteric site charge and the cysteine-rich head region. J Biol Chem 293 (33): 12820–12831. https://doi.org/10.1074/jbc.RA118.003737
- Шварцман ЯС (1966) Изучение синтеза антител одиночными клетками к растворимым белкам. Бюл экспер биол мед 12: 88–92. [Shvartsman YaS (1966) Study of the synthesis of antibodies by single cells to soluble proteins. Bull Exp Biol Med 12: 88–92. (In Russ)].
- Козлов ВА, Кудаева ОТ, Наумова ЕН, Елисеева ТВ (1988) Методическое руководство по применению метода локального гемолиза к статистическому оцениванию результатов. Новосибирск. СО АМН СССР: 15. [Kozlov VA, Kudaeva OT, Naumova EN, Eliseeva TV (1988) Methodological guide to the application of the method for determining hemolysis by a statistical method for evaluating results. Novosibirsk. SO AMS USSR: 15. (In Russ)].
- Gein SV, Sharav’eva IL (2018) Immunomodulating effects of cold stress. Biol Bull Rev 8: 482–488. https://doi.org/10.1134/S207908641806004X
- Patrakeeva VP, Basova EE (2018) Effects of Low Temperatures on the Formation of Adaptive Reactions: A Review. Internat J Biomed 8 (2): 95–101. https://doi.org/10.21103/Article8(2)_RA1
- Giniatullin R, Nistri A (2013). Desensitization properties of P2X3 receptors shaping pain signaling. Fron Cell Neurosci 7: 245. https://doi.org/10.3389/fncel.2013.00245
- Fabbretti E (2019) P2X3 receptors are transducers of sensory signals. Brain Res Bull 151: 119–124. https://doi.org/10.1016/j.brainresbull.2018.12.020
- Davis CJ, Taishi P, Honn KA, Koberstein JN, Krueger JM (2016) P2X7 receptors in body temperature, locomotor activity, and brain mRNA and lncRNA responses to sleep deprivation. Am J Physiol Regul Integr Comp Physiol 311 (6): R1004–R1012. https://doi.org/10.1152/ajpregu.00167.2016
- Di Virgilio F, Sarti AC, Grassi F (2018) Modulation of innate and adaptive immunity by P2X ion channels. Curr Opin Immunol 52: 51–59. https://doi.org/10.1016/j.coi.2018.03.026
- Corriden R, Insel PA (2010) Basal release of ATP: an autocrine-paracrine mechanism for cell regulation. Sci Signal 3: re1. https://doi.org/10.1126/scisignal.3104re1
- Bao Y, Chen Y, Ledderose C, Li L, Junger WG (2013) Pannexin 1 channels link chemoattractant receptor signaling to local excitation and global inhibition responses at the front and back of polarized neutrophils. J Biol Chem 288: 22650–22657. https://doi.org/10.1074/jbc.M113.476283
- Ledderose C, Bao Y, Zhang J, Junger WG (2015) Novel method for real-time monitoring of ATP release reveals multiple phases of autocrine purinergic signalling during immune cell activation. Acta Physiol (Oxf) 213: 334–345. https://doi.org/10.1111/apha.12435
- Ledderose C, Bromberger S, Slubowski CJ, Sueyoshi K, Aytan D, Shen Y, Junger WG (2020) The purinergic receptor P2Y11 choreographs the polarization, mitochondrial metabolism, and migration of T lymphocytes. Sci Signal 13: eaba3300. https://doi.org/10.1126/scisignal.aba3300
- Wang X, Chen D (2018) Purinergic regulation of neutrophil function. Front Immunol 9: 399. https://doi.org/10.3389/fimmu.2018.00399
- Sáez PJ, Vargas P, Shoji KF, Harcha PA, Lennon-Duménil AM, Sáez JC (2017) ATP promotes the fast migration of dendritic cells through the activity of pannexin 1 channels and P2X(7) receptors. Sci Signal 10: eaah7107. https://doi.org/10.1126/scisignal.aah7107
- Borges da Silva H, Beura LK, Wang H, Hanse EA, Gore R, Scott MC, Walsh DA, Block KE, Fonseca R, Yan Y, Hippen KL, Blazar BR, Masopust D, Kelekar A, Vulchanova L, Hogquist KA, Jameson SC (2018) The purinergic receptor P2RX7 directs metabolic fitness of long-lived memory CD8+ T cells. Nature 559: 264–268. https://doi.org/10.1038/s41586-018-0282-0
- Bao Y, Ledderose C, Graf AF, Brix B, Birsak T, Lee A, Zhang J, Junger WG (2015) mTOR and differential activation of mitochondria orchestrate neutrophil chemotaxis. J Cell Biol 210: 1153–1164. https://doi.org/10.1083/jcb.201503066
- Takenaka MC, Robson S, Quintana FJ (2016) Regulation of the T cell response by CD39. Trends Immunol 37 (7): 427–439. https://doi.org/10.1016/j.it.2016.04.009
- Ledderose C, Liu K, Kondo Y, Slubowski CJ, Dertnig T, Denicoló S, Arbab M, Hubner J, Konrad K, Fakhari M, Lederer JA, Robson SC, Visner GA, Junger WG (2018) Purinergic P2X4 receptors and mitochondrial ATP production regulate T cell migration. J Clin Invest 128: 3583–3594. https://doi.org/10.1172/JCI120972
- Kozyreva TV, Meyta ES, Khramova GM (2015) Effect of the sympathetic nervous system co-transmitters ATP and norepinephrine on thermoregulatory response to cooling. Temperature 2 (1): 121–128. https://doi.org/10.1080/23328940.2014.1000705
- Kozyreva TV, Meyta ES, Kozaruk VP (2017) Participation of Purinergic P2X Receptors in the Thermoregulatory Response to Cooling. Bull Exp Biol Med 162 (5): 606–610. https://doi.org/10.1007/s10517-017-3668-3
Supplementary files








