Development of Acomys cahirinus in the laboratory conditions
- Authors: Shkorbatova P.Y.1, Veshchitskii A.A.1, Mikhalkin A.A.1, Nikitina N.I.1, Belyaev A.V.1, Merkulyeva N.S.1
-
Affiliations:
- Pavlov Institute of Physiology of the Russian Academy of Sciences
- Issue: Vol 60, No 4 (2024)
- Pages: 421–436
- Section: EXPERIMENTAL ARTICLES
- URL: https://journal-vniispk.ru/0044-4529/article/view/270587
- DOI: https://doi.org/10.31857/S0044452924040097
- EDN: https://elibrary.ru/YPYBUI
- ID: 270587
Cite item
Full Text
Abstract
The Cairo spiny mouse (Acomys cahirinus) is a unique animal model for studying ontogenesis and regeneration. At the same time, the features of its biology, in particular, the small number of pups in the litter, significantly complicate research work. The aim of the article was to study the behavior and reproduction of the Cairo spiny mice and to create the reproductive nucleus of the colony in our laboratory. This article describes the husbandry of Cairo spiny mice, and techniques of working with them, such as optimizing the diet and housing conditions, handling and marking for individual identification, and also some reproductive parameters of the colony. We have optimized the animal diet by adding dry arthropods, an important component of the spiny mice natural diet, as well as enriched the environment by placing to each cage the running wheels, tunnels and houses. As a result, an increase in the number of animals was obtained by more than 50% over 9 months; the overall survival rate of the offspring was 98%.
Full Text
ВВЕДЕНИЕ
Каирская иглистая мышь (Acomys cahirinus) — мелкий грызун, размером немного крупнее лабораторной мыши (вес взрослой особи составляет 40–65 г [1]), естественные условия проживания которого — Передняя Азия и Африка [2, 3]. Традиционно каирскую иглистую мышь относят к семейству Мышиные (Muridae), подсемейству Деомииновые (Deomyinae) [4, 5]. Согласно ряду исследований, основанных на анализе моляров [6, 7], кариотипа [8], митохондриальных генов [9] и транскрипционных факторов поджелудочной железы [10], каирская иглистая мышь ближе к подсемейству Gerbillinae, чем к Murinae. Род Acomys включает несколько десятков видов, однако в качестве объекта исследований в области физиологии и анатомии было использовано лишь несколько из них: каирская иглистая мышь (A. cahirinus), золотистая иглистая мышь (A. russatus), арабская иглистая мышь (A. dimidiatus), капская иглистая мышь (A. subspinosus), южноафриканская иглистая мышь (A. spinosissimus), акомис Персиваля (A. percivali) и акомис Кемпа (A. kempi) [1, 11–19]. При этом наиболее часто в лабораторных исследованиях используется каирская иглистая мышь.
Виды иглистых мышей имеют сходный размер, но различаются цветом шерсти и расположением игольчатых волосков на теле [20]. У каирской иглистой мыши серо-коричневая спина и кремовое брюшко, игольчатые волоски покрывают спину от ее середины до основания хвоста; арабская иглистая мышь имеет сходное расположение игольчатых волосков и окрас, но несколько светлее, чем каирская [20] и более длинный хвост [21]. Тем не менее, ранее их рассматривали как подвиды; однако на основании анализа строения черепа, моляров [21] и кариотипа [22] в настоящее время они считаются разными видами. У акомиса Кемпа более темная шерсть с красноватым оттенком и белое брюшко с игольчатыми волосками, акомис Персиваля имеет равномерный серый окрас спинки и белое брюшко, игольчатые волоски покрывают спину от шеи до основания хвоста [20]. Ареалы обитания разных видов иглистых мышей в природе различны, но у некоторых из них могут перекрываться [23, 24].
Общая продолжительность жизни иглистых мышей превышает таковую у лабораторной мыши и крысы и составляет 3–4 года, как в природе, так и в лабораторных условиях [11, 20, 25–27]; есть данные, указывающие на более длительный срок жизни: до 6 лет [28]. Половая зрелость наступает в возрасте 2–3 месяца и сопровождается изменением окраски шерстного покрова с полностью серого на серо-золотистый и появлением характерной “взрослой” игольчатой шерсти на спине [20]. Исследований, посвященных различиям в биологии разных видов иглистых мышей, немного; в частности, показано, что золотистая иглистая мышь имеет более низкий уровень метаболизма по сравнению с каирской, и лучше переносит высокие температуры [24], а также может перестраиваться с ночного режима обитания на дневной [29].
Иглистые мыши обладают рядом биологических особенностей, благодаря чему её всё чаще используют в качестве лабораторного животного. Наиболее известной и изучаемой на настоящий момент особенностью иглистых мышей, отличающей их от других млекопитающих, является высокоразвитая способность к регенерации поврежденных тканей. Данная особенность определяет характерную для иглистой мыши способность к потере хвоста и участков кожи (псеводаутотомии) как способа защиты и избегания хищников [30]. Кожа иглистой мыши, даже при обширных повреждениях, полностью восстанавливается, включая поверхностные и глубокие слои, волосяные фолликулы и кожные железы, без образования рубца, что показано на нескольких видах иглистых мышей: A. cahirinus [31, 32], A. percivali и A. kempi [33]. Высокая степень регенерации также обнаруживается при повреждении почек [34], скелетной [35] и сердечной [36] мускулатуры. После повреждения спинного мозга каирская иглистая мышь быстро восстанавливает локомоторные функции благодаря тому, что на месте травмы не формируется глиальный рубец [37, 38]. Всё это открывает широкие перспективы для использования данного животного в исследованиях для регенеративной медицины [20, 39, 40].
Иглистые мыши, в отличие от большинства представителей семейства мышиных, является зрелорождающимися (precocial): детёныши появляются на свет покрытые шерстью, с открытыми глазами и сразу способны к самостоятельному передвижению. На 4-й день после рождения они начинают есть твердую пищу [26]. Иглистая мышь — малоплодный грызун: в помёте 1–5 детенышей [41], по сравнению с 6–12 — у Mus musculus [42] и 8–16 — у Rattus norvegicus domestica [43], и имеют более длительный срок беременности (37–42 дня), чем незрелорождающиеся грызуны (мышь: 20 дней, крыса: 21–24 дня) [1]. Последнее позволяет использовать иглистых мышей в исследованиях длительного влияния внешних факторов на внутриутробное развитие [44]. Многие органы новорожденной иглистой мыши значительно более развиты, по сравнению с таковыми у незрелорождающихся лабораторных грызунов: например, тонкий кишечник, поджелудочная железа [45], печень [46], почки [47]. Способность самостоятельно передвигаться сразу после рождения требует адекватной сенсомоторной координации, а значит, более зрелой нервной системы, чем у незрелорождающихся животных. Действительно, миелинизация нервных волокон головного мозга у новорожденной иглистой мыши значительно выше [48], а большинство структур мозга более зрелые, чем у новорожденных крысят и мышат (гиппокамп, зубчатая фасция, обонятельные луковицы, зрительная кора [12, 13, 49–51].
Иглистая мышь — одно из немногих млекопитающих и единственный известный на данный момент грызун, имеющий не эстральный, но менструальный цикл [52]. Периодические изменения структуры эндометрия матки и уровня прогестерона в крови в соответствии с фазой менструального цикла предполагают возможность использования каирской иглистой мыши в качестве модели для изучения нарушений менструального цикла, предменструального синдрома [53] и менопаузы [54].
Каирская иглистая мышь имеет особенности строения (гиперплазию) островков Лангерганса поджелудочной железы [55, 56] и сниженную чувствительность синтеза проинсулина к глюкозе, по сравнению с крысами и мышами [57]. В случае кормления животных высококалорийным и жирным кормом, до 15% популяции склонны к развитию ожирения и диабета второго типа [56, 58]. Это позволяет использовать каирскую иглистую мышь в качестве животной модели при исследовании механизмов развития диабета [59], наряду с песчанками [60] и дегу [61].
Таким образом, каирская иглистая мышь является уникальной моделью для исследований в разных областях биологии и медицины. Однако её длительная беременность и малоплодность обуславливает медленный рост поголовья, а склонность к развитию диабета является источником дополнительных трудностей при её содержании. Таким образом, для возможности успешной реализации исследований на каирской иглистой мыши, необходимо оптимизировать условия их содержания и репродукции. В настоящей работе мы представляем особенности поддержания колонии каирской иглистой мыши в лабораторных условиях, включая особенности рациона питания и контроля репродукции.
МЕТОДЫ ИССЛЕДОВАНИЯ
Колония каирской иглистой мыши создана на базе Института физиологии им. И.П. Павлова РАН. Ядро колонии — 24 особи Acomys cahirinus в возрасте 1–1.5 месяцев (14 самок и 10 самцов) — было закуплено в Федеральном Исследовательском Центре Института цитологии и генетики Сибирского отделения РАН. Общая выборка составила 136 животных: 10 взрослых самцов, 19 взрослых самок и 107 детёнышей разного возраста, при этом в количественный анализ по детёнышам вошли данные только от 58 из них (см. ниже). Наблюдения проводились в период с июля 2022 г. по январь 2024 г.
Содержание животных.
Все животные содержались в одной комнате площадью 18 м2, полностью изолированной от остальных помещений лаборатории. До 4-х месячного возраста животные содержались группами по 5–7 особей одного пола в полипропиленовых клетках для грызунов размером 545 × 395 × 200 мм с крышкой-решеткой (рис. 1a). Для получения потомства животные в количестве 1 самец и 1–3 самки были помещены в такие же клетки и содержались так до обнаружения беременности у самки или до родов. Одну часть беременных / родивших самок (n = 15) с помётом отсаживали от самца в отдельные клетки размером 160 × 270 × 340 мм, другую часть родивших самок (n = 4) с потомством оставляли с самцом, так как в литературе имеются указания, что групповое содержание нескольких поколений иглистых мышей в одной клетке является оптимальным для размножения и социальной активности этих животных [20, 41]. Различия между этими вариантами представлены в результатах.
В возрасте 1–1.5 месяцев детенышей отсаживали от матерей и помещали в клетки по 5–7 особей одного пола. Пол детенышей определяли сразу после рождения и затем повторно — при формировании однополых групп (рис. 1с).
Для создания обогащенной среды во все клетки помещали открытое беговое колесо для грызунов (диаметр 150 мм), прозрачный акриловый (длина 130 мм, диаметр 60 мм) и/или картонный (длина 240 мм, диаметр 45 мм) тубусы, картонные коробки-домики размером 150 × 150 × 45 (для больших клеток) или 120 × 120 × 120 (для маленьких клеток) (рис. 1a).
Рис. 1. Условия содержания и определение пола. (a) — Общий вид клетки и среды обитания. (b) — Хендлинг с помощью прозрачного тубуса. (c) — Определение пола у взрослых и новорожденных каирских иглистых мышей.
В качестве подстила использовали опилки лиственных пород деревьев. Помещение вивария было освещено искусственно в режиме 12 ч свет: 12 ч темнота. Температура воздуха в помещении поддерживалась на уровне 24–25°С, влажность — на уровне 40–50%. Контроль температуры осуществлялся с помощью автоматической системы вентиляции и обогрева, контроль за уровнем влажности проводился в ручном режиме (использовали увлажнители воздуха). Для контроля помещение было оснащено электронным гигрометром-термометром.
Кормление. Рацион кормления состоял из корма для грызунов “Крысуня” в количестве 4 г в день / животное (состав: гранулы, содержащие семена злаковых и бобовых культур, натуральные компоненты животного и растительного происхождения, витаминно-минеральный комплекс, пробиотик и пребиотик; пшеница, просо, ячмень, овес, горох, чечевица, кукуруза, семена подсолнечника, плоды рожкового дерева, морковь, креветки цельные, воздушная пшеница, воздушная перловка, семена тыквы, арахис, кокос, банан). Каждый день животные также получали по 3 г свежей моркови или яблока. В каждой клетке был закреплен минеральный камень (производитель ООО “Зоомир”; состав: витамины группы В, А, D3, Е, энтеросорбент, измельченные раковины моллюсков, пивные дрожжи, кормовой мел, гипс, сапропель, соль поваренная йодированная). Помимо перечисленного, в рацион каирских иглистых мышей была введена смесь из сушёных членистоногих, в которую вошли: кузнечик, сверчок, мучной червь, американский таракан, львинка, зофобас, тутовый шелкопряд, в количестве 4 г в неделю. При составлении этой добавки мы руководствовались данными по естественному рациону каирских иглистых мышей, который был определён при анализе содержимого желудка у диких животных [15]; авторы отмечают, что в природе до 40% рациона каирских иглистых мышей составляют членистоногие [15, 62]. Дневную порцию корма на всех животных помещали в клетку ежедневно в стеклянной чашке Петри (для того, чтобы корм не смешивался с подстилом и можно было контролировать поедаемость корма). Общая питательная ценность рациона представлена в таблице 1. Для беременных и кормящих самок количество корма увеличивали. Вода была предоставлена ad libitum, в пластиковых бутылях-поилках для грызунов.
Таблица 1. Питательная ценность рациона в расчете на 100 грамм корма и на 1 животное в сутки.
Питательная ценность | на 100 г корма | на 1 животное |
Белки, г | 11.90 | 0.90 |
Жиры, г | 5.06 | 0.38 |
Углеводы, г | 34.38 | 2.60 |
Калорийность, ккал | 243.79 | 18.46 |
Взвешивание, хендлинг и маркировка. Взвешивание взрослого поголовья производилось еженедельно, а детенышей — в возрасте от рождения до 1.5–2 месяцев — ежедневно. Для взвешивания использовали ювелирные весы (XY-8006, Pocket Scale, Китай) и прозрачный контейнер с крышкой. Также проводили приучение животных к рукам (хендлинг): в первый месяц после поступления — исключительно путём помещения их в прозрачные акриловые тубусы (рис. 1b); позже — также путем поглаживания животных, находящихся в клетке, по спине и голове, мягкой фиксацией в полотенце. Детёнышей, родившихся в нашей колонии, приучали к рукам с рождения.
Маркировку детёнышей проводили путем нанесения отметок перманентным маркером на хвост во время процедуры хендлинга и взвешивания 1 раз в 1–3 дня. В возрасте 21–25 дней животным татуировали пальцы и подушечки стоп, основываясь на схеме, представленной в [63] (рис. 2a, b). По причине быстрой и полной регенерации [64], для маркировки иглистых мышей не применяют перфорацию ушей, применение ушных бирок также невозможно, поскольку они отторгаются вместе с кожей [20]. Поэтому использование татуировок пальцев оказалось удобным способом маркировки каирских иглистых мышей.
Рис. 2. Маркировка животных. (a) — Фото правой стопы каирской иглистой мыши с нанесенной татуировкой на 3-й палец (номер животного 3). (b) — Схема кодирования номеров животного: татуировки на правой лапе означают единицы, на левой — десятки; татуировки на подушечках правой стопы — сотни.
Все перемещения животных из клетки в клетку, спаривания, количество и вес детенышей, вес взрослых животных фиксировали в электронном журнале.
Статистика. При сравнении данных от разных животных использован критерий Манна–Уитни (одиночные сравнения) или Крускала–Уоллиса (множественные сравнения). При сравнении данных от одних и тех же животных использован парный критерий Уилкоксона. Для оценки зависимости между параметрами использован линейный коэффициент корреляции Пирсона. Уровень значимости: р < 0.05. Данные представлены как среднее ± стандартное отклонение.
РЕЗУЛЬТАТЫ ИССЛЕДОВАНИЯ И ИХ ОБСУЖДЕНИЕ
Общие особенности поведения каирской иглистой мыши
Каирские иглистые мыши — достаточно пугливые животные. В первое время после приобретения они очень часто демонстрировали поведенческий акт в виде сальто назад. Известно, что появление стрессового агента увеличивает частоту таких сальто на порядок [65], и мы подтверждаем этот факт. При этом ежедневный хендлинг постепенно снижал, а затем и полностью подавил эту форму поведения (примерно через 3 месяца после начала хендлинга). Некоторые самки в первые дни после родов демонстрируют подобное поведение во время взвешивания их детёнышей и уборки клеток, однако это явление кратковременное. Каирские иглистые мыши плохо приручаются, поэтому им необходим не периодический, но ежедневный хендлинг. Минимальным объемом хендлинга мы полагаем поглаживание животных по спине, прикосновение к ним во время уборки и кормления в течение 1-2 мин на клетку из 5–6 особей. Для животных, которых планируется задействовать в поведенческих экспериментах, необходим более продолжительный и интенсивный хендлинг, использование пищевого подкрепления. Следует отметить, что обычные способы взятия и фиксации грызунов за хвост или кожу спины не применимы к каирской иглистой мыши, поскольку они легко теряют часть кожи и хвост [20]. Использование прозрачных тубусов и контейнеров решает эту проблему; также показано, что такой способ хендлинга снижает тревожность у мышей [66]. При необходимости проведения осмотров, инъекций, а также татуировок фиксацию в полотенце мы считаем оптимальной и атравматичной. Для подобной фиксации животного накрывают полотенцем со спины, слегка зажимают с боков и переворачивают животом кверху, открывая необходимую для доступа часть тела: задние конечности — для внутримышечных инъекций или татуировок, живот — для внутрибрюшинных инъекций (рис. 3a).
Рис. 3. Фиксация животного в полотенце (a) и последующее проведение рутинных процедур: (b) — внутримышечная инъекция в область голени, (c) — внутрибрюшинная инъекция, (d) — подкожная инъекция в складку на боку, (e) — выпаивание.
Если фиксацию проводит один оператор, то он прижимает животное, завернутое в полотенце, предплечьем к столу, аналогично тому, как это описано в [67, 68] или к своему телу [69]; это освобождает кисти обеих рук для проведения манипуляций (рис. 3b, c). Подкожные инъекции в таком положении удобно проводить не в области холки, а в кожную складку в районе колена или на боку животного (рис 3d). При необходимости осмотра головы, мордочки или выпаивания, тело животного заворачивают в полотенце, оставляя голову снаружи (рис 3e).
Каирские иглистые мыши проводят значительную часть активного бодрствования на беговых колёсах: как в отсутствие, так и в присутствии наблюдателей. Отмечаем, что в ряде случаев быстрый бег на колесе отражает нервозность животного: например, при переносе клетки на стол для хендлинга и уборки. Животные сразу же забираются на беговое колесо после кратковременного (на период до суток) отлучения от него. Поэтому полагаем использование беговых колёс необходимым элементом в клетке этих животных. Каирской иглистой мыши, так же, как и другим грызунам, необходимо укрытие: картонный тубус или домик; при открывании клетки во время хендлинга или уборки они предпочитают прятаться в домике.
Хотя считается, что иглистые мыши в целом общительны и мало агрессивны [70, 71], они могут проявлять агрессию в отношении других особей, в том числе, детёнышей [41, 72, 73]. Результатом этого являются многочисленные покусы на хвосте, загривке и ушах. В ряде случаев (в клетках с групповым содержанием, главным образом, самцов) мы также отмечали полное или частичное скусывание хвостов. В однополых группах это, скорее всего, результат установления иерархических отношений [72, 74]. Показано, что, у иглистых мышей, в отличие от других грызунов, и самцы и самки могут одинаково активно проявлять агрессивное поведение (драки, погони) при содержании вместе особей одного пола [72–75], однако самки наносят менее значительные повреждения соперникам [75]. В случае содержания вместе разнополых особей, чаще доминируют самки [72]. При длительном содержании животных вместе в половине случаев антагонистическое поведение прекращается, и определить иерархический статус животных не представляется возможным [74].
Репродукция каирской иглистой мыши
Беременность и роды. Поскольку у самок каирской иглистой мыши, в отличие от самок обычных мышей и крыс, после спаривания не образуется вагинальная пробка [26], беременность самки проще всего констатировать по набору веса. В литературе вес взрослых небеременных самок составляет 35–44 г [26, 30], что соответствует данным по нашей колонии: 43.9 ± 1.2 г.
Беременность каирской иглистой мыши составляет 37–42 дня [1, 14, 20, 26, 41]. Мы оценивали приращение веса беременными самками на протяжении всего периода гестации. Как видно на рисунке 4a, иллюстрирующего индивидуальные кривые набора веса, наиболее выраженное приращение веса происходит с 4-ой недели. Усреднённые значения веса по группе указывают на достоверное приращение веса на сроке в 3 и 4 недели (48.7 ± 1.9 vs 44.7 ± 2.9, р = 0.008 и 55.2 ± 4.8 vs 48.7 ± 1.9, р = 0.004; парный критерий Уилкоксона), но наиболее значимое — на 5-ой неделе гестации (65.7 ± 8.0 vs 55.2 ± 4.8; р = 0.0010; парный критерий Уилкоксона). Приращение веса на 1 и 2 неделях гестации не является достоверным (44.9 ± 1.2 vs 43.9 ± 1.2, р = 0.375; 44.7 ± 2.9 vs 44.9 ± 1.2, р = 0.984; парный критерий Уилкоксона) (рис. 4b). Таким образом, в целом мы подтверждаем наблюдение [26], показавших видимое приращение веса беременной самки каирской иглистой мыши лишь после 30-го дня гестации. В соответствие с этим, скачок веса на пятой неделе гестации — удобный инструмент для детекции момента, когда беременную самку необходимо отсадить от остальных животных и установить за ней более тщательный контроль.
Рис. 4. Набор веса тела самками во время гестации. (a) — Индивидуальные кривые набора веса для трёх самок; серый треугольник маркирует временной промежуток, на котором происходит видимое приращение веса тела. (b) — Средние данные по группе. (c–d) — Взаимосвязь между числом потомков в помёте и набором веса самкой от значений до беременности до значений непосредственно перед родами: (c) — процентный набор веса %, (d) — абсолютный вес, линия на графике — кривая линейной регрессии; ** р < 0.01; *** р < 0.001.
В последнюю неделю гестации самки весили в среднем 65.7 ± 8.0 г, что сходно с литературными данным [26]. Прирост массы тела у беременных самок к моменту родов должен составлять около 50% [26], что мы и наблюдали в нашей колонии (50.1 ± 16.2%). Из 37 помётов, 6 были одноплодным, 9 — двухплодными, 8 — трёхплодными, 11 — четырёхплодными и 3 — пятиплодным. В литературе указано, что размер помета иглистой мыши может варьировать от 1 до 5 детёнышей, при этом в большинстве случаев рождается 2 детёныша [20, 26, 41, 62, 76, 77]. В нашей колонии в большинстве случаев рождалось 4 детёныша, таким образом, размер помётов выше, чем в описанных в литературе колониях.
Поскольку разбросы набора веса самками были значительными, и составили 27–83%, мы оценивали зависимость между приростом веса самки (в процентах от массы тела до беременности) и числом детёнышей в помёте. Выявлена достоверная зависимость, как между разностью массы тела до беременности и непосредственно перед родами и числом детенышей в помёте (коэффициент корреляции Пирсона r2 = 0.692; р = 0.004; n = 15) (рис. 4c), так и между абсолютным значением массы тела самки перед родами и числом детенышей в помёте (коэффициент корреляции Пирсона r2 = 0.88; р < 0.0001; n = 15) (рис. 4d). Отметим одно исключение: при сходном приросте веса: в районе 50%, одна из самок принесла тройню, где каждый детеныш весил 6.0–6.3 г, тогда как другая — единственного детёныша весом около 8.0 г, умершего при родах вследствие неправильного предлежания. Но за этим исключением, вес беременной самки свыше 70 г указывает на наличие 3-х и более детёнышей в помёте.
Иглистые мыши обладают способностью к зачатию в течение нескольких часов после родов (postpartum), так же, как и многие другие грызуны: крысы [78], мыши [79], морские свинки [80]. При этом в случае зачатия сразу после родов, у крыс [78] и мышей [79] наблюдается значимое уменьшение количества детенышей в помёте, а у иглистой мыши [77] — наоборот, увеличение на 9%. Мы сравнили размеры помётов в 2-х группах самок, участвовавших в размножении дважды, но с разным промежутком между предыдущими родами и зачатием: (1) от 53 до 349 дней (n = 6), (2) от 0 до 5 дней (postpartum, n = 6). В случае повторного зачатия postpartum, в помёте было больше детёнышей (3.7 ± 0.8 vs 3.0 ± 1.5), однако эти отличия не являются достоверными (р = 0.523; критерий Манна–Уитни). Выявленный нами прирост в числе детенышей (22%) в целом сходен со значением, полученным ранее в [77].
Для мышей показано, что размер помёта, зачатого вскоре после прекращения лактации, увеличивается, по сравнению с предыдущим помётом [79]. Мы сравнили размер помётов в случаях, когда между предыдущими родами и новым зачатием прошло 19–73 (n = 4) дня (что соответствует зачатию во время или вскоре после прекращения лактации) или 278–349 (n = 3) дней (то есть на фоне установившегося регулярного полового цикла). В первом случае размер помёта был достоверно больше (4.3 ± 0.5 vs 1.7 ± 0.6; р = 0.028; критерий Манна–Уитни), но мы просим обратить внимание на малый объём выборки в этом сравнении.
Известно, что у некоторых линий мышей размер помёта зависит от кратности родов: количество детенышей в помёте возрастает с каждыми последующими родами, затем выходит на плато, а затем снижается, тогда как у других линий первый помёт является самым большим [79, 81]. При этом у морских свинок (также малоплодных и зрелорождающихся грызунов) размер помёта от кратности родов не зависит [80]. Поэтому мы также сравнили размер помётов, полученных в результате первых (n = 19), вторых (n = 13) или третьих (n = 5) родов. Достоверных отличий между группами не выявлено (2.5 ± 1.3 vs 3.0 ± 1.5 vs 3.2 ± 0.8; р > 0.999, критерий Крускала–Уоллиса).
Роды у каирской иглистой мыши, как правило, приходятся на раннее время суток (с пиком в районе 4–6 часов утра) [82], поэтому большинство родов прошли без нашего контроля. В некоторых случаях (4 детеныша из 4-х пометов) мы обнаруживали останки приплода в подстилке; при этом однозначно утверждать о каннибализме мы можем как минимум в 1 случае. Ранее было отмечено, что каннибализм детёнышей — нередкое явление в колонии каирской иглистой мыши [3, 83], однако в нашем случае количество детенышей, пострадавших от каннибализма, невелико. В литературе указывают на большую агрессивность самок, по сравнению с самцами [72, 73], данные о большей смертности детёнышей в репродуктивных группах с двумя самками, по сравнению с группами, где содержится только одна самка и самец, также представлены [41]. Однако при этом каирских иглистых мышей часто содержат группами, состоящими из 1–2-х самцов и нескольких самок и их потомства [20, 26, 73]. Есть данные о благополучном совместном проживания двух самок, имеющих близкое родство [77], а также о совместном вскармливании детенышей несколькими самками, проживающими вместе [73]. Тем не менее, отсаживание беременной самки непосредственно перед родами (приближение родов можно предсказать, основываясь на прибавке веса) помогает решить не только проблему каннибализма, но также контроля над численностью поголовья. Кроме того, формируя репродуктивные группы, мы используем самок, уже ранее содержавшихся вместе.
Потомство. Всего в нашей колонии было получено 37 помётов, включающих 107 детёнышей, из которых от первых родов — 47, от вторых — 44, и от третьих — 16. Среди всех детёнышей, 7 были мертворождёнными или погибли в первые часы после родов, ещё 4 погибли в результате каннибализма или естественным путём в течение первых суток после рождения (3 из них — групповое содержание, 1 — индивидуальное), 3 детёнышей пострадали от взрослых особей (покусаны хвост, уши, пальцы — все в клетках группового содержания). К сожалению, мы не можем утверждать, что учли все случаи мёртворождения и каннибализма, поскольку мёртвые детеныши могли быть полностью съедены самкой или другими взрослыми особями, находящимися в одной клетке (см. [84]: об оценке смертности и каннибализма у мышей), тем не менее, таких случаев не могло быть много, поскольку мы получили высокую корреляцию между весом беременных самок и количеством рожденных детенышей.
Смертности детёнышей и каннибализма более чем через сутки после родов не наблюдалось. Репродуктивный индекс колонии (отношение числа выживших детёнышей в первые 30 суток к общему числу новорождённых) составил 0.98, что является очень высоким показателем (для сравнения у мышей 0.87–0.93 [85]; у морских свинок выживаемость составляет 70–80% [80, 86]). Для разных колоний каирской иглистой мыши показано, что смертность единичных детёнышей из помёта невысока (1.3–2.1%), но в случаях, когда кормящие самки отказываются от заботы о потомстве, происходит гибель всего помёта [41]. В нашей колонии последнего не наблюдалось. Возможно, это связано с содержанием животных в обогащённой среде, что снижает тревожность кормящих самок, и, как следствие, улучшает выживаемость детёнышей, подобно тому, как это показано для мышей [85], своевременным отсаживанием беременных самок в отдельные клетки, увеличением количества корма (в частности, смеси сушеных членистоногих) для беременных и кормящих самок.
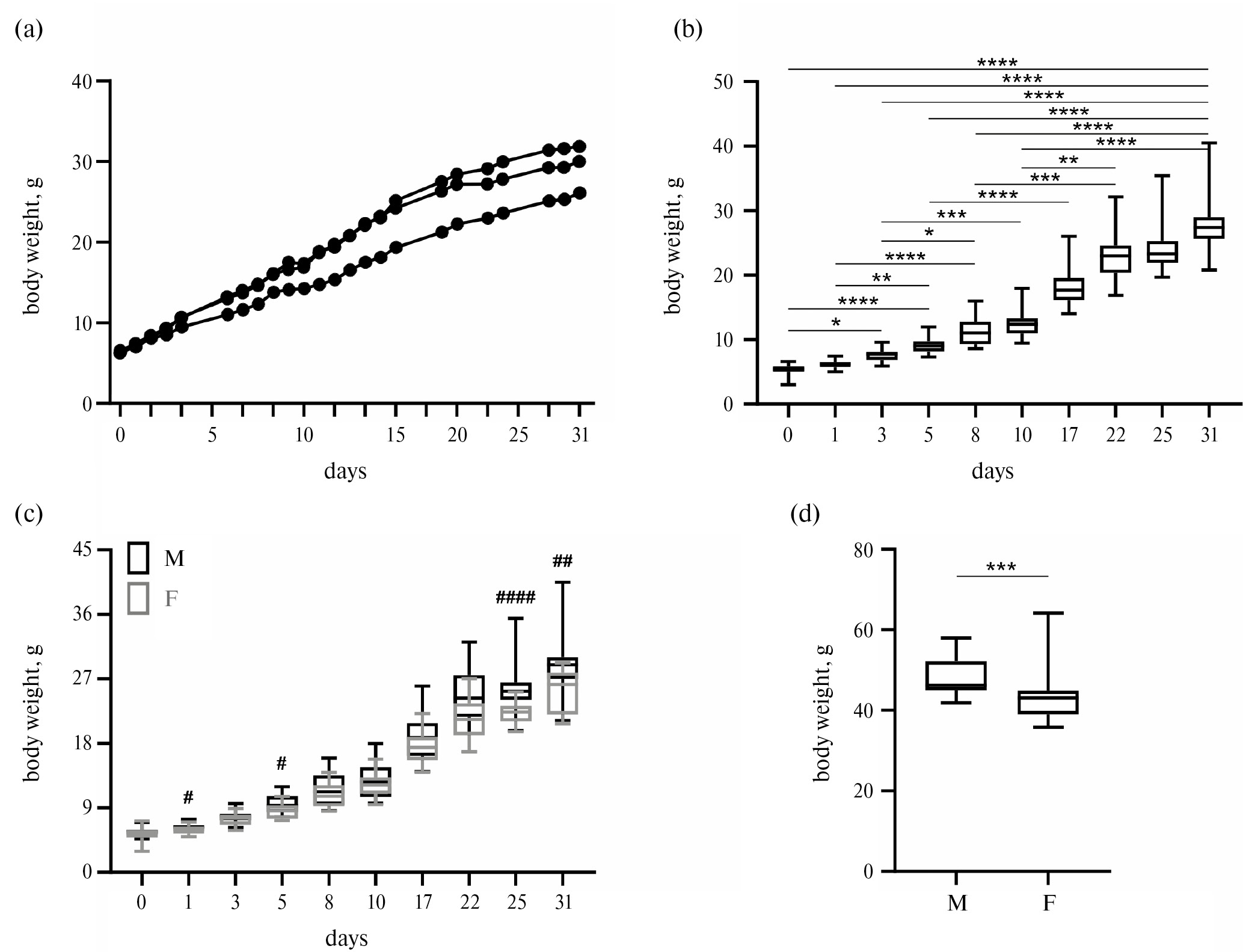
На момент рождения средний вес детёнышей составлял 5.7 ± 0.5 г у самцов и 5.4 ± 0.8 г самок; зависимости от пола не выявлено (р = 0.136, n = 26, n = 28; критерий Манна–Уитни). Динамику приращения массы тела от рождения до возраста 31 день оценивали на выборке из 58 детёныша. Уменьшение объёма выборки связано с тем, что помёты, детёныши из которых были взяты на острые опыты в разном возрасте, исключили из анализа (при изымании части детёнышей из помёта на оставшихся детёнышей приходится больше молока, соответственно, прирост веса резко изменится [87].
Почти у всех каирских иглистых мышей, вне зависимости от пола, от рождения до возраста 3–4 недель происходило почти линейное приращение веса, немного затухающее на 4-ой постнатальной неделе (см. индивидуальные кривые на рис. 5a). Достоверность отличий этого приращения по группе показана на рисунке 5b. Отличия между самцами и самками по массе тела выявлены для 4-х временных точек из десяти проанализированных: 1-го, 5-го, 25-го и 31-го постнатальных дней (рис. 5c). Отметим, что отличия по весу тела между взрослыми самцами и самками также достоверны (48.5 ± 5.1 vs 43.3 ± 5.4; р < 0.001; тест Манна–Уитни) (рис. 5d). В литературе имеются данные веса каирской иглистой мыши для трёх возрастов [1, 14, 88]; в целом, наши данные сходны с ними, что указывает на общую динамику набора веса в разных колониях.
Рис. 5. Набор веса детёнышами после рождения. (a) — Индивидуальные кривые набора веса для трёх детёнышей. (b) — Средние данные по группам детёнышей. (c) — Средние данные по детёнышей мужского (чёрный) и женского (серый) пола. (d) — Средние данные по взрослым самцам (M) и самкам (F). * — отличия между возрастами (тест Крускала–Уоллиса); # — отличия между полами (тест Манна–Уитни); * р < 0.05; ** р < 0.01; *** р < 0.001; **** р < 0.0001; # р < 0.05; ## р < 0.01; #### р < 0.0001.
Как можно видеть на рис. 5, данные веса детёнышей имеют большие разбросы, что, скорее всего, связано с размером помёта: в нашей выборке 2 детёнышей были из 1-плодного помёта, 9 — из 2-плодных помётов, 15 — из 3-плодных помётов, 23 — из 4-плодных помётов, 5 — из 5-плодного помёта. Поэтому мы вычислили коэффициент корреляции Пирсона между значениями веса тела животного на разных возрастах и числом потомков в помёте. Корреляцию считали отдельно для самцов и самок. Данные представлены в таблице 2. В таблице 3 представлены данные о среднем весе самцов и самок в возрасте от рождения до 31 дней, рождённых в пометах разного размера.
Таблица 2. Зависимость между весом тела детёнышей разного возраста и размером помёта (коэффициент корреляции Пирсона, r). 0–31 — постнатальный день; ВЗР — взрослые особи. ns — non-significant.
Возраст, дни | Самцы | Самки |
0 | –0.65; n = 26 р = 0.0003 *** | –0.09; n = 28 р = 0.619 ns |
1 | –0.78; n = 18 р = 0.0001 *** | –0.35; n = 29 р = 0.065 ns |
3 | –0.82; n = 21 р < 0.0001 **** | –0.42; n = 31 р = 0.017 * |
5 | –0.82; n = 18 р < 0.0001 **** | –0.54; n = 20 р = 0.014 * |
8 | –0.88; n = 16 р < 0.0001 **** | –0.79; n = 17 р = 0.0001 *** |
10 | –0.81; n = 18 р < 0.0001 **** | –0.64; n = 25 р = 0.0006 *** |
17 | –0.81; n = 18 р < 0.0001 **** | –0.70; n = 29 р < 0.0001 **** |
22 | –0.95; n = 11 р < 0.0001 **** | –0.86; n = 17 р < 0.0001 **** |
31 | –0.83; n = 15 р = 0.0001 *** | –0.89; n = 14 р < 0.0001 **** |
ВЗР | –0.52; n = 19 р = 0.023 * | –0.29; n = 32 р = 0.112 ns |
Таким образом, для большинства возрастов (и для обоих полов), корреляция между анализируемыми параметрами является негативной и достоверной на высоком уровне значимости; достоверная корреляция также показана для взрослых самцов. Подобная зависимость веса новорождённых от размера помёта [86, 89, 90] и пола [86, 90] показана и для морских свинок. Считается, что скорость набора веса у детёнышей каирской иглистой мыши зависит не только от веса при рождении, но и от молочности самки [14]. Влияние размера помёта на вес детенышей сохраняется достаточно длительно, в течение как минимум месяца, т.е. даже в период, когда детёныши в состоянии питаться твердой пищей, и не зависят исключительно от питания материнским молоком, подобно тому, как отмечено в [14].
Согласно данным литературы, в период между 1-м и 2-м месяцами происходит изменение шерстного покрова каирской иглистой мыши: появление “взрослой” игольчатой шерсти [19]; у наших животных появление такой шерсти было отмечено в возрасте 1 месяца. Отметим, что несмотря на информацию о достижении каирской иглистой мышью половой зрелости в возрасте 2-х месяцев [19], наши собственные данные указывают на то, что самцы приобретают фертильность ранее: в районе 1.0–1.5 месяцев, что совпадает с появлением первых иголок в шерсти. Поэтому отсаживание потомства мужского пола следует проводить не позднее 30 дня жизни детёнышей, во избежание их спаривания с матерью.
Рис. 6. Динамика веса самцов во время 13-недельного мониторинга. (a) — Средние данные по группе. (b) — Индивидуальные значения для всех животных. ** р < 0.01.
Таблица 3. Средняя масса тела самцов и самок в возрасте от рождения до 31 дня, рождённых в пометах разного размера. 1–5 — размер помёта; 0–31 — постнатальный день.
Возраст, дни | Самцы | Самки | ||||||||
1 | 2 | 3 | 4 | 5 | 1 | 2 | 3 | 4 | 5 | |
0 | 6.6 | 6.4 ± 0.5 | 5.8 ± 0.3 | 5.5 ± 0.4 | 5.3 | 3 | 6.0 ± 0.7 | 5.7 ± 0.6 | 5.4 ± 0.6 | 5.1 ± 0.2 |
1 | 7.2 | 6.6 ± 0.3 | 6.5 ± 0.4 | 6.1 ± 0.3 | 5.8 | 6.2 ± 0.2 | 6.0 ± 0.6 | 6.4 ± 0.5 | 5.8 ± 0.6 | 5.5 ± 0.2 |
3 | 9.6 | 8.3 ± 0.1 | 8.0 ± 0.7 | 7.3 ± 0.6 | 6.9 | 7.9 ± 0.9 | 8.0 ± 0.4 | 8.1 ± 0.8 | 7.0 ± 1.0 | 7.1 ± 0.3 |
5 | 12 | 10.7 ± 0.1 | 9.5 ± 1.2 | 8.8 ± 0.7 | 8.1 | 10.7 | 10.1 ± 0.1 | 8.6 ± 1.0 | 8.4 ± 1.1 | 8.50 ± 0.2 |
8 | 14 | 13.3 ± 0.4 | 11.3 ± 1.9 | 8.9 ± 0.4 | 9.1 | 14 | 13.2 ± 0.3 | 11.1 ± 1.2 | 8.6 ±0.02 | 9.5 ± 0.3 |
10 | 18 | 14.9 ± 0.3 | 12.6 ± 2.2 | 11.5 ± 1.5 | 10.3 | 14.4 ± 2.0 | 13.5 ± 1.8 | 12.2 ± 1.2 | 11.7 ± 1.6 | 10.7 ± 0.5 |
17 | 26 | 21.6 ± 1.1 | 18.6 ± 2.6 | 17.7 ± 1.8 | 14.1 | 20.4 ± 1.6 | 18.4 ± 1.8 | 17.7 ± 1.4 | 17.2 ± 1.5 | 14.8 ± 0.5 |
22 | 32.2 | 26.2 ± 1.3 | 24.6 ± 3.2 | 21.1 ± 1.1 | 16.9 | 27.1 | 22.9 ± 1.8 | 22.9 ± 1.3 | 20.8 ± 0.5 | 17.8 ± 0.6 |
31 | 40.5 | 30.4 ± 1.4 | 28.9 ± 2.7 | 27.8 ± 1.0 | 21.2 | 29.3 | 28.0 ± 0.2 | 26.3 ± 1.3 | 27.4 | 21.7 ± 0.6 |
Самцы. Поскольку до 50% популяции лабораторных каирских иглистых мышей склонны к ожирению [55], мы непрерывно измеряли массу тела 10 самцов на протяжении 13 недель. На момент начала мониторинга возраст самцов составил 3 месяца. Выявлено приращение веса тела между 1-ой и 13-ой неделями (43.6 ± 3.3 vs 49.4 ± 3.2; р = 0.0020; тест Манна–Уитни) (рис. 6), соответствующее естественному возрастному приросту массы у самцов в период с 3 по 6 месяц [55], т.е. у данной группы признаки ожирения отсутствуют.
Таким образом, в нашей лаборатории успешно развивается колония каирской иглистой мыши. Основные параметры колонии соответствуют общемировым стандартам. Ряд разработанных нами процедур, включая ежедневный хендлинг, доступ к беговому колесу, добавление высокобелкового прикорма в виде сушёных членистоногих, позволили снизить тревожность и агрессивное поведение каирской иглистой мыши, увеличить среднюю плодовитость самок и достичь почти 100% выживаемости приплода. Полагаем, данные методические наработки будут полезны другим исследовательским группам, использующим это лабораторное животное.
ВКЛАДЫ АВТОРОВ
Планирование эксперимента: Н.С.М., П.Ю.Ш., А.А.В.; сбор и обработка данных: П.Ю.Ш., А.А.В., А.А.М., Н.И.Н., А.В.Б.; написание и редактирование манускрипта: Н.С.М., П.Ю.Ш., А.А.В., А.А.М.
СОБЛЮДЕНИЕ ЭТИЧЕСКИХ СТАНДАРТОВ
Экспериментальные процедуры проводились в соответствии с требованиями Директивы Совета Европы 2010 / 63EU Европейского парламента о защите животных, используемых в экспериментальных и других научных целях. Протокол исследования (№ 02/17 от 17 февраля 2022 г) был одобрен Этическим комитетом Института физиологии им. И.П. Павлова РАН.
ИСТОЧНИКИ ФИНАНСИРОВАНИЯ
Данная работа была проведена в рамках государственной программы 47 ГП “Научное и технологическое развитие Российской Федерации (2019–2030), тема 0134-2019-0006. Работа также поддержана средствами федерального бюджета в рамках государственного задания ФГБУН Институт физиологии им. И.П. Павлова РАН (№1021062411653-4-3.1.8).
КОНФЛИКТ ИНТЕРЕСОВ
Авторы декларируют отсутствие явных и потенциальных конфликтов интересов, связанных с публикацией данной статьи.
About the authors
P. Y. Shkorbatova
Pavlov Institute of Physiology of the Russian Academy of Sciences
Email: merkulyevan@infran.ru
Russian Federation, St. Petersburg
A. A. Veshchitskii
Pavlov Institute of Physiology of the Russian Academy of Sciences
Email: merkulyevan@infran.ru
Russian Federation, St. Petersburg
A. A. Mikhalkin
Pavlov Institute of Physiology of the Russian Academy of Sciences
Email: merkulyevan@infran.ru
Russian Federation, St. Petersburg
N. I. Nikitina
Pavlov Institute of Physiology of the Russian Academy of Sciences
Email: merkulyevan@infran.ru
Russian Federation, St. Petersburg
A. V. Belyaev
Pavlov Institute of Physiology of the Russian Academy of Sciences
Email: merkulyevan@infran.ru
Russian Federation, St. Petersburg
N. S. Merkulyeva
Pavlov Institute of Physiology of the Russian Academy of Sciences
Author for correspondence.
Email: merkulyevan@infran.ru
Russian Federation, St. Petersburg
References
- Brunjes PC (1990) The precocial mouse, Acomys cahirinus. Psychobiology 18:339–350. https://doi.org/10.3758/BF03327252
- Jeremy P, Bates J (1994) The distribution of Acomys (Rodentia: Muridae) in Africa and Asia. Isr J Zool 40:199–214. https://doi.org/10.1080/00212210.1994.10688748
- Pinheiro G, Prata DF, Araújo IM, Tiscornia G (2018) The African spiny mouse (Acomys spp.) as an emerging model for development and regeneration. Lab Anim 52:565–576. https://doi.org/10.1177/0023677218769921
- Carleton MD, Musser GG (1984) Muroid rodents. In: Anderson S, Jones JK (eds) Orders and families of recent mammals of the world. Wiley, New York, pp. 289–379
- Denys C (1990) The oldest Acomys (Rodentia, Muridae) from the lower Pliocene of South Africa and the problem of its murid affinities. Paleontogr Abt A 210:79–91
- Barome P-O, Volobuev V, Monnerot M, Mfune JK, Chitaukali W, Gautun J-C, Denys C (2001) Phylogeny of Acomys spinosissimus (Rodentia, Muridae) from north Malawi and Tanzania: evidence from morphological and molecular analysis. Biol J Linn Soc 73:321–340. https://doi.org/10.1111/j.1095-8312.2001.tb01366.x
- Denys C, Michaux J, Peter F, Aguilar JP, Jaeger JJ (1992) Molar morphology as a clue to the phylogenetic relationship of Acomys to the murinae. Isr J Zool 38:253–262. https://doi.org/10.1080/00212210.1992.10688673
- Chevret P, Denys C, Jaeger JJ, Michaux J, Catzeflis FM (1993) Molecular evidence that the spiny mouse (Acomys) is more closely related to gerbils (Gerbillinae) than to true mice (Murinae). Proc Natl Acad Sci 90:3433–3436. https://doi.org/10.1073/pnas.90.8.3433
- Hänni C, Laudet V, Barriel V, Catzeflis FM (1995) Evolutionary relationships of Acomys and other murids (Rodentia, mammalia) based on complete 12s rrna mitochondrial gene sequences. Isr J Zool 41:131–146. https://doi.org/10.1080/00212210.1995.10688785
- Gustavsen CR, Kvicerova J, Dickinson H, Heller RS (2009) Acomys, the closest relatives to Gerbils, do express Pdx-1 protein and have similar islet morphology to Gerbils. Islets 1:191–197. https://doi.org/10.4161/isl.1.3.9557
- Morrison P, Dieterich R, Preston D (1977) Longevity and mortality in 15 rodent species and subspecies maintained in laboratory colonies. Acta Theriol (Warsz) 22:317–335. https://doi.org/10.4098/AT.arch.77-29
- Brunjes PC (1984) Hippocampal maturation in the precocial murid rodent Acomys cahirinus. Brain Behav Evol 24:58–64. https://doi.org/10.1159/000121305
- Brunjes PC (1985) A stereological study of neocortical maturation in the precocial mouse, Acomys cahirinus. Dev Brain Res 19:279–287. https://doi.org/10.1016/0165-3806(85)90199-3
- Porter RH, Makin JW, Matochik JA (1986) Physical and behavioral sequelae of low birthweight in spiny mice (Acomys cahirinus). Dev Psychobiol 19:463–472. https://doi.org/10.1002/dev.420190507
- Kronfeld-Schor N, Dayan T (1999) The dietary basis for temporal partitioning: food habits of coexisting Acomys species. Oecologia 121:123–128. https://doi.org/10.1007/s004420050913
- Kronfeld-Schor N, Dayan T, Jones ME, Kremer I, Mandelik Y, Wollberg M, Yassur Y, Gaton DD (2001) Retinal structure and foraging microhabitat use of the golden spiny mouse (Acomys russatus). J Mammal 82:1016–1025. https://doi.org/10.1644/1545-1542(2001)082<1016:RSAFMU>2.0.CO;2
- Cohen R, Kronfeld-Schor N, Ramanathan C, Baumgras A, Smale L (2010) The substructure of the suprachiasmatic nucleus: Similarities between nocturnal and diurnal spiny mice. Brain Behav Evol 75:9–22. https://doi.org/10.1159/000282172
- Hoole C, Oosthuizen MK, Chimimba CT, Bennett NC (2012) The locomotory activity rhythm of the spiny mouse, Acomys spinosissimus from southern Africa: light entrainment and endogenous circadian rhythms. J Zool 288:93–102. https://doi.org/10.1111/j.1469-7998.2012.00928.x
- Montandon SA, Tzika AC, Martins AF, Chopard B, Milinkovitch MC (2014) Two waves of anisotropic growth generate enlarged follicles in the spiny mouse. Evodevo 5:33. https://doi.org/10.1186/2041-9139-5-33
- Haughton CL, Gawriluk TR, Seifert AW (2016) The biology and husbandry of the african spiny mouse (Acomys cahirinus) and the research uses of a laboratory colony. J Am Assoc Lab Anim Sci 55:9–17.
- Denys C, Gautun JC, Tranier M, Volobouev V (1994) Evolution of the genus Acomys (Rodentia, Muridae) from dental and chromosomal patterns. Isr J Zool 40:215–246. https://doi.org/10.1080/00212210.1994.10688749
- Volobuev V, Auffray JC, Debat V, Denys C, Gautun JC, Tranier M (2007) Species delimitation in the Acomys cahirinus-dimidiatus complex (Rodentia, Muridae) inferred from chromosomal and morphological analyses. Biol J Linn Soc 91:203–214. https://doi.org/10.1111/j.1095-8312.2007.00773.x
- Aghová T, Palupčíková K, Šumbera R, Frynta D, Lavrenchenko LA, Meheretu Y, Sádlová J, Votýpka J, Mbau JS, Modrý D, Bryja J (2019) Multiple radiations of spiny mice (Rodentia: Acomys) in dry open habitats of Afro-Arabia: evidence from a multi-locus phylogeny. BMC Evol Biol 19:69. https://doi.org/10.1186/s12862-019-1380-9
- Shkolnik A, Borut A (1969) Temperature and water relations in two species of spiny mice (Acomys). J Mammal 50:245–255. https://doi.org/10.2307/1378340
- Dawirs RR, Teuchert-Noodt G, Kacza J (1992) Naturally occurring degrading events in axon terminals of the dentate gyrus and stratum lucidum in the spiny mouse (Acomys cahirinus) during maturation, adulthood and aging. Dev Neurosci 14:210–220. https://doi.org/10.1159/000111665
- Dickinson H, Walker DW (2007) Managing a colony of spiny mice (Acomys cahirinus) for perinatal research. Aust New Zeal Counc Care Anim Res Train News 20:4–11.
- Wong W, Kim A, Monaghan JR, Seifert AW, Maden M, Crane JD (2020) Spiny mice (Acomys) exhibit attenuated hallmarks of aging and rapid cell turnover after UV exposure in the skin epidermis. PLoS One 15: e0241617. https://doi.org/10.1371/journal.pone.0241617
- Weigl R (2005) Longevity of mammals in captivity; from the living collections of the world: a list of mammalian longevity in captivity. Kleine Senckenberg-r 214.
- Cohen R, Smale L, Kronfeld‐Schor N (2009) Plasticity of circadian activity and body temperature rhythms in golden spiny mice. Chronobiol Int 26:430–446. https://doi.org/10.1080/07420520902820939
- Shargal E, Rath‐Wolfson L, Kronfeld N, Dayan T (1999) Ecological and histological aspects of tail loss in spiny mice (Rodentia: Muridae, Acomys) with a review of its occurrence in rodents. J Zool 249:187–193. https://doi.org/10.1111/j.1469-7998.1999.tb00757.x
- Brant JO, Yoon JH, Polvadore T, Barbazuk WB, Maden M (2016) Cellular events during scar‐free skin regeneration in the spiny mouse, Acomys. Wound Repair Regen 24:75–88. https://doi.org/10.1111/wrr.12385
- Maden M (2018) Optimal skin regeneration after full thickness thermal burn injury in the spiny mouse, Acomys cahirinus. Burns 44:1509–1520. https://doi.org/10.1016/j.burns.2018.05.018
- Seifert AW, Kiama SG, Seifert MG, Goheen JR, Palmer TM, Maden M (2012) Skin shedding and tissue regeneration in African spiny mice (Acomys). Nature 489:561–565. https://doi.org/10.1038/nature11499
- Okamura DM, Brewer CM, Wakenight P, Bahrami N, Bernardi K, Tran A, Olson J, Shi X, Yeh S-Y, Piliponsky A, Collins SJ, Nguyen ED, Timms AE, MacDonald JW, Bammler TK, Nelson BR, Millen KJ, Beier DR, Majesky MW (2021) Spiny mice activate unique transcriptional programs after severe kidney injury regenerating organ function without fibrosis. iScience 24:103269. https://doi.org/10.1016/j.isci.2021.103269
- Maden M, Brant JO, Rubiano A, Sandoval AGW, Simmons C, Mitchell R, Collin-Hooper H, Jacobson J, Omairi S, Patel K (2018) Perfect chronic skeletal muscle regeneration in adult spiny mice, Acomys cahirinus. Sci Rep 8:1–14. https://doi.org/10.1038/s41598-018-27178-7
- Peng H, Shindo K, Donahue RR, Gao E, Ahern BM, Levitan BM, Tripathi H, Powell D, Noor A, Elmore GA, Satin J, Seifert AW, Abdel-Latif A (2021) Adult spiny mice (Acomys) exhibit endogenous cardiac recovery in response to myocardial infarction. npj Regen Med 6:74. https://doi.org/10.1038/s41536-021-00186-4
- Streeter KA, Sunshine MD, Brant JO, Sandoval AGW, Maden M, Fuller DD (2020) Molecular and histologic outcomes following spinal cord injury in spiny mice, Acomys cahirinus. J Comp Neurol 528:1535–1547. https://doi.org/10.1002/cne.24836
- Nogueira-Rodrigues J, Leite SC, Pinto-Costa R, Sousa SC, Luz LL, Sintra MA, Oliveira R, Monteiro AC, Pinheiro GG, Vitorino M, Silva JA, Simão S, Fernandes VE, Provazník J, Benes V, Cruz CD, Safronov B V., Magalhães A, Reis CA, Vieira J, Vieira CP, Tiscórnia G, Araújo IM, Sousa MM (2022) Rewired glycosylation activity promotes scarless regeneration and functional recovery in spiny mice after complete spinal cord transection. Dev Cell 57:440-450.e7. https://doi.org/10.1016/j.devcel.2021.12.008
- Maden M, Varholick JA (2020) Model systems for regeneration: the spiny mouse, Acomys cahirinus. Development 147: dev167718. https://doi.org/10.1242/dev.167718
- Gaire J, Varholick JA, Rana S, Sunshine MD, Doré S, Barbazuk WB, Fuller DD, Maden M, Simmons CS (2021) Spiny mouse (Acomys): an emerging research organism for regenerative medicine with applications beyond the skin. npj Regen Med 6:1. https://doi.org/10.1038/s41536-020-00111-1
- Young DAB (1976) Breeding and fertility of the egyptian spiny mouse, Acomys cahirinus: effect of different environments. Lab Anim 10:15–24. https://doi.org/10.1258/002367776780948961
- Lambert LJ, Muzumdar MD, Rideout WM, Jacks T (2017) Basic mouse methods for clinician researchers. In: Basic Science Methods for Clinical Researchers. Elsevier, pp. 291–312
- Parra-Vargas M, Bouret SG, Bruning JC, de Moura EG, Garland T, Lisboa PC, Ozanne SE, Patti M-E, Plagemann A, Speakman JR, Tena-Sempere M, Vergely C, Zeltser LM, Jiménez-Chillarón JC (2023) The long-lasting shadow of litter size in rodents: litter size is an underreported variable that strongly determines adult physiology. Mol Metab 71:101707. https://doi.org/10.1016/j.molmet.2023.101707
- Stevens S, Mohan S (2021) Opioid withdrawal behavior in spiny mice: A novel preclinical model of neonatal opioid withdrawal syndrome (NOWS). Heliyon 7: e06694. https://doi.org/10.1016/j.heliyon.2021.e06694
- Lamers WH, Mooren PG, Charles R (1985) Perinatal development of the small intestine and pancreas in rat and spiny mouse. Biol Neonate 47:153–162. https://doi.org/10.1159/000242107
- Lamers WH, Mooren PG, De Graaf A, Charles R (1985) Perinatal development of the liver in rat and spiny mouse. Eur J Biochem 146:475–480. https://doi.org/10.1111/j.1432-1033.1985.tb08675.x
- Dickinson H, Walker DW, Cullen-McEwen L, Wintour EM, Moritz K (2005) The spiny mouse (Acomys cahirinus) completes nephrogenesis before birth. Am J Physiol Physiol 289: F273–F279. https://doi.org/10.1152/ajprenal.00400.2004
- Tessitore C, Brunjes PC (1988) A comparative study of myelination in precocial and altricial murid rodents. Dev Brain Res 43:139–147. https://doi.org/10.1016/0165-3806(88)90159-9
- Дмитриева ДЯ, Даниленкова ЛВ, Гоццо С (1987) Сравнительное исследование мозга у зрело- и незрелорождакцкся грызунов из семейства мышиных. Журнал эволюционной биохимии и физиологии 23:127–131. [Dmitrieva DY, Danilenkova LV, Gocco S (1987) Comparative study of the brain in mature and immature rodents from the mouse family. Zhurnal evolyucionnoj biohimii i fiziologii 23:127–131. (In Russ)]
- Даниленкова ЛБ (1992) Морфометрическое исследование постнатального синаптогенеза в неокортексе зрело- и незрелорождающихся грызунов. Журнал эволюционной биохимии и физиологии 28:140–142. [Danilenkova LB (1992) Morphometric study of postnatal synaptogenesis in the neocortex of mature- and immature-borning rodents. Zhurnal evolyucionnoj biohimii i fiziologii 28:140–142. (In Russ)].
- Gozzo S, Dimitrieva N, Iacopino C, D’udine B (1985) A comparative study of mossy fiber distribution in the brain of the precocial Acomys cahirinus and of the altricial Rattus norvegicus: Neuroanatomical bases and behavioral correlates. Int J Neurosci 28:163–172. https://doi.org/10.3109/00207458508985387
- Bellofiore N, Ellery SJ, Mamrot J, Walker DW, Temple-Smith P, Dickinson H (2017) First evidence of a menstruating rodent: the spiny mouse (Acomys cahirinus). Am J Obstet Gynecol 216:40.e1–40.e11. https://doi.org/10.1016/j.ajog.2016.07.041
- Bellofiore N, Evans J (2019) Monkeys, mice and menses: the bloody anomaly of the spiny mouse. J Assist Reprod Genet 36:811–817. https://doi.org/10.1007/s10815-018-1390-3
- Bellofiore N, George E, Vollenhoven B, Temple-Smith P (2021) Reproductive aging and menopause-like transition in the menstruating spiny mouse (Acomys cahirinus). Hum Reprod 36:3083–3094. https://doi.org/10.1093/humrep/deab215
- Gonet AE, Stauffacher W, Pictet R, Renold AE (1966) Obesity and diabetes mellitus with striking congenital hyperplasia of the islets of langerhans in spiny mice (Acomys cahirinus). Diabetologia 1:162–171. https://doi.org/10.1007/BF01257907
- Pictet R, Orci L, Gonet AE, Rouiller C, Renold AE (1967) Ultrastructural studies of the hyperplastic islets of Langerhans of spiny mice (Acomys cahirinus) before and during the development of hyperglycemia. Diabetologia 3:188–211. https://doi.org/10.1007/BF01222197
- Trueheart PA, Maldonato A, Kaelin D, Renold AE, Sharp GWG (1976) Proinsulin synthesis in islets of Langerhans from spiny mice (Acomys cahirinus). comparison with rats and mice. Diabetologia 12:463–470. https://doi.org/10.1007/BF01219510
- Shafrir E (2000) Overnutrition in spiny mice (Acomys cahirinus): β-cell expansion leading to rupture and overt diabetes on fat-rich diet and protective energy-wasting elevation in thyroid hormone on sucrose-rich diet. Diabetes Metab Res Rev 16:94–105. https://doi.org/10.1002/(SICI)1520-7560(200003/04)16:2<94::AID-DMRR82>3.0.CO;2-U
- Kumar S, Singh R, Vasudeva N, Sharma S (2012) Acute and chronic animal models for the evaluation of anti-diabetic agents. Cardiovasc Diabetol 11:9. https://doi.org/10.1186/1475-2840-11-9
- Shafrir E, Ziv E, Kalman R (2006) Nutritionally induced diabetes in desert rodents as models of type 2 diabetes: Acomys cahirinus (spiny mice) and Psammomys obesus (desert gerbil). ILAR J 47:212–224. https://doi.org/10.1093/ilar.47.3.212
- Colby LA, Rush HG, Mahoney MM, Lee TM (2012) Degu. In: The laboratory rabbit, guinea pig, hamster, and other rodents. Elsevier, pp 1031–1053
- Canova L, Fasola M (1994) Population density and diet of the Spiny Mouse Acomys cf. cahirinus (Rodentia) in a desertic area of northern Kenya. Rev d’Écologie (La Terre La Vie) 49:87–90. https://doi.org/10.3406/revec.1994.2129
- Chen M, Kan L, Ledford BT, He J-Q (2016) Tattooing various combinations of ears, tail, and toes to identify mice reliably and permanently. J Am Assoc Lab Anim Sci 55:189–198.
- Matias Santos D, Rita AM, Casanellas I, Brito Ova A, Araújo IM, Power D, Tiscornia G (2016) Ear wound regeneration in the African spiny mouse Acomys cahirinus. Regeneration 3:52–61. https://doi.org/10.1002/reg2.50
- Carere C, Casetti R, de Acetis L, Perretta G, Cirulli F, Alleva E (1999) Behavioural and nociceptive response in male and female spiny mice (Acomys cahirinus) upon exposure to snake odour. Behav Processes 47:1–10. https://doi.org/10.1016/S0376-6357(99)00048-0
- Gouveia K, Hurst JL (2013) Reducing mouse anxiety during handling: effect of experience with handling tunnels. PLoS One 8: e66401. https://doi.org/10.1371/journal.pone.0066401
- Bogdanske JJ, Van Stelle SH, Riley MR, Schiffman BM (2010) Laboratory mouse and laboratory rat procedural techniques, 1st ed. CRC Press
- The university of Queensland Animal Ethics Committee, Handling and restraint in rats and neonates (LAB_039). https://www.uq.edu.au/research/files/52592/LAB_039
- Queen’s University Care Committee Standard Operating Procedure, Manual Restraint of Rats (Document 10.20). https://www.queensu.ca/animals-in-science/policies-procedures/sop/rats/10-20
- Gonzalez Abreu JA, Rosenberg AE, Fricker BA, Wallace KJ, Seifert AW, Kelly AM (2022) Species-typical group size differentially influences social reward neural circuitry during nonreproductive social interactions. iScience 25:104230. https://doi.org/10.1016/j.isci.2022.104230
- Fricker BA, Seifert AW, Kelly AM (2022) Characterization of social behavior in the spiny mouse, Acomys cahirinus. Ethology 128:26–40. https://doi.org/10.1111/eth.13234
- Porter RH (1976) Sex‐differences in the agonistic behavior of spiny‐mice (Acomys cahirinus). Z Tierpsychol 40:100–108. https://doi.org/10.1111/j.1439–0310.1976.tb00928.x
- Porter RH, Doane HM (1978) Studies of maternal behavior in spiny mice (Acomys cahirinus). Z Tierpsychol 47:225–235. https://doi.org/10.1111/j.1439-0310.1978.tb01833.x
- Varholick JA, Godinez G, Mobin S, Jenkins A, Romeo RD, Corll J, Barbazuk WB, Maden M (2022) Social dominance status and social stability in spiny mice (Acomys cahirinus) and its relation to ear-hole regeneration and glucocorticoids. bioRxiv 2022.09.13.507818. https://doi.org/10.1101/2022.09.13.507818
- Varholick JA, Godinez G, Jenkins A, Mobin S, Maden M (2024) Bite wounds and dominance structures in male and female African spiny mice (Acomys cahirinus): implications for animal welfare and the generalizability of experimental results. Animals 14:64. https://doi.org/10.3390/ani14010064
- Degen AA, Khokhlova IS, Kam M, Snider I (2002) Energy requirements during reproduction in female common spiny mice (Acomys cahirinus). J Mammal 83:645–651. https://doi.org/10.1644/1545-1542(2002)083<0645:ERDRIF>2.0.CO;2
- Frynta D, Fraňková M, Čížková B, Skarlandtová H, Galeštoková K, Průšová K, Šmilauer P, Šumbera R (2011) Social and life history correlates of litter size in captive colonies of precocial spiny mice (Acomys). Acta Theriol (Warsz) 56:289–295. https://doi.org/10.1007/s13364-011-0024-2
- Bacon SJ, McClintock MK (1999) Sex ratio bias in postpartum-conceived Norway rat litters is produced by embryonic loss in midpregnancy. Reproduction 117:403–411. https://doi.org/10.1530/jrf.0.1170403
- Krackow S, Gruber F (1990) Sex ratio and litter size in relation to parity and mode of conception in three inbred strains of mice. Lab Anim 24:345–352. https://doi.org/10.1258/002367790780865895
- Genzer SC, Flietstra T, Coleman-McCray JD, Tansey C, Welch SR, Spengler JR (2023) Effect of parental age, parity, and pairing approach on reproduction in strain 13/N guinea pigs (Cavia porcellus). Animals 13:895. https://doi.org/10.3390/ani13050895
- Biggers JD, Finn CA, McLaren A (1962) Long-term reproductive performance of female mice. Reproduction 3:313–330. https://doi.org/10.1530/jrf.0.0030313
- Dieterlen F (1962) Geburt und Geburtshilfe bei der Stachelmaus, Acomys cahirinus. Z Tierpsychol 19:191–222. https://doi.org/10.1111/j.1439–0310.1962.tb00769.x
- Dickinson H, Griffiths T, Walker DW, Jenkin G (2008) Application of clinical indices of fetal growth and wellbeing to a novel laboratory species, the spiny mouse. Reprod Biol 8:229–243. https://doi.org/10.1016/S1642-431X(12)60014-X
- Brajon S, Morello GM, Capas-Peneda S, Hultgren J, Gilbert C, Olsson A (2021) All the pups we cannot see: cannibalism masks perinatal death in laboratory mouse breeding but infanticide is rare. Animals 11:2327. https://doi.org/10.3390/ani11082327
- Whitaker JW, Moy SS, Pritchett-Corning KR, Fletcher CA (2016) Effects of enrichment and litter parity on reproductive performance and behavior in BALB/c and 129/Sv Mice. J Am Assoc Lab Anim Sci 55:387–399.
- Czarnecki R, Adamski M (2016) Factors influencing litter size and birthweight in the newborn long-haired guinea pigs (Cavia aperea f. porcellus). J Appl Anim Res 44:71–76. https://doi.org/10.1080/09712119.2015.1013961
- Argente-Arizón P, Ros P, Díaz F, Fuente-Martin E, Castro-González D, Sánchez-Garrido MÁ, Barrios V, Tena-Sempere M, Argente J, Chowen JA (2016) Age and sex dependent effects of early overnutrition on metabolic parameters and the roleof neonatal androgens. Biol Sex Differ 7:26. https://doi.org/10.1186/s13293-016-0079-5
- Michalek H, Pintor A, Fortuna S, Bisso GM (1984) Brain acetylcholinesterase and its molecular forms in a precocial murid, Acomys cahirinus, and rat during post-natal development. Acta Biochim Pol 31:149–160.
- Stern JJ (1971) Litter size and weight gain of neonatal guinea pigs. Psychol Rep 28:981–982. https://doi.org/10.2466/pr0.1971.28.3.981
- Guerrero Pincay AE, González Marcillo RL, Castro Guamàn WE, Ortiz Naveda NR, Grefa Reascos DA, Guamàn Rivera SA (2020) Influence of litter size at birth on productive parameters in guinea pigs (Cavia porcellus). Animals 10:2059. https://doi.org/10.3390/ani10112059
Supplementary files








