Use of Micropreparative Cell Lysate Fractionation in Studying the Effect of Natural Killer Cells on The Phenotype, Migration and Apoptosis of Trophoblast Cells In Vitro
- Authors: Korenevsky A.V.1, Milyutina Y.P.1, Bochkovsky S.K.1, Oshkolova A.A.1, Bespalova O.N.1, Selkov S.A.1, Sokolov D.I.1
-
Affiliations:
- D.O. Ott Institute of Obstetrics, Gynecology and Reproductive Medicine
- Issue: Vol 60, No 5 (2024)
- Pages: 483-498
- Section: EXPERIMENTAL ARTICLES
- URL: https://journal-vniispk.ru/0044-4529/article/view/273055
- DOI: https://doi.org/10.31857/S0044452924050033
- EDN: https://elibrary.ru/XPNTJM
- ID: 273055
Cite item
Full Text
Abstract
Natural killer (NK) cells are a population of innate immune cells that have cytotoxic functions and are involved in protecting the body from viruses and transformed cells. Placental development is determined largely by the interaction of decidual NK cells and trophoblast cells. During pregnancy, NK cells accumulate around trophoblast cells, while regulating trophoblast proliferation, migration and invasion through the secretion of cytokines and growth factors. The trophoblast, in turn, secretes chemokines and expresses ligands for NK cell adhesion receptors. Thus, the regulation of trophoblast and NK cell function is reciprocal. Despite intensive research, the role of NK cells and methods for correcting their functional activity in reproduction remain controversial. The aim of this study was to assess the effect of protein fractions of NK cell lysate on the phenotype, migration and apoptosis of trophoblast cells in an in vitro model experiment, using a new methodological approach. With chromatographic separation, we obtained six fractions with different protein cargoes therein. It was found that CD105 (endoglin) expression by trophoblast cells of the JEG-3 cell line after their cultivation in the presence of high- (<250 kDa) or low molecular weight (<45 kDa) fractions of NK-92 natural killer cell lysate was reduced compared to spontaneous expression, while the relative count of trophoblast cells with the CD105+ phenotype was also lowered. Besides, one of the low molecular weight fractions decreased TRAIL-R2 receptor expression by trophoblast cells. The high molecular weight fractions did not enable trophoblast cells to migrate completely through the semi-permeable membrane, with the area occupied by the migrated cells not exceeding the base control area. In addition, the high molecular weight fraction containing the TGFβ dimer increased p-SMAD2/3 level in trophoblast cells one hour after co-culture, followed by a decrease in this phosphorylated form content after two or more hours, and also elevated procaspase-3 level one day after co-culture. The data obtained hypothetically reflect the possible behavior of chorion cells under the influence of collapsing NK cells in the event of their death in both normal and pathological conditions caused by viral and bacterial infections, as well as other stress factors leading to reproductive pathology.
Keywords
Full Text
ВВЕДЕНИЕ
Естественные киллеры (NK-клетки) — популяция клеток врожденного иммунитета, обладающая цитотоксическими функциями и играющая регуляторную роль в отношении взаимодействующих с ними клеток благодаря рецепторному аппарату и за счет продукции цитокинов [1]. Во время беременности стромальные клетки децидуальной оболочки и клетки трофобласта объединяются в матке как часть микроокружения децидуальных NK-клеток и регулируют гетерогенность их пула [2]. Взаимодействие NK-клеток и клеток трофобласта лежит в основе формирования иммунологической толерантности в системе “мать-плод” и поддержания физиологического течения беременности.
Известно, что NK-клетки подготавливают децидуальную ткань матки, продуцируя ингибирующие инвазию цитокины IFNγ и TNFα, а также цитокины IL-1β, IL-6, IL-8, IP-10 (C-X-C motif chemokine ligand 10, interferon gamma-induced protein 10, small-inducible cytokine B10) и LIF (leukemia inhibitory factor), которые стимулируют инвазию трофобласта [3, 4]. Кроме того, NK-клетки экспрессируют широкий спектр активирующих и ингибирующих рецепторов [5]. Вследствие взаимодействия этих рецепторов с лигандами на поверхности трофобласта (например, HLA-G, HLA-C, MICA/B) NK-клетки реализуют цитотоксический эффект, подавляя тем самым чрезмерную инвазию трофобластов [6]. В то же время влияние цитокинов NK-клеток на возможное фосфорилирование SMAD, опосредующего сигнал TGFβ и, как следствие, регулирующего апоптоз в клетках трофобласта, остается малоизученным.
Трофобласт также влияет на NK-клетки, например, экспрессируя CD95L (FasL), который может инициировать апоптоз NK-клеток [7], и продуцируя индоламин-2,3-диоксигеназу, которая может играть иммуносупрессивную роль [8]. Недавно была показана экспрессия рецептора адгезии CD54, а также рецепторов цитокинов клетками трофобласта [9, 10].
Ранее нами были получены данные о влиянии микровезикул NK-клеток на функциональное состояние клеток трофобласта в системе in vitro [11]. Было установлено, что микровезикулы не влияют на экспрессию рецепторов CD54, CD105, CD126, CD130, CD181, CD119 и CD120a клетками трофобласта линии JEG-3 и не приводят к появлению рецепторов CD45 и CD56 на мембранах этих клеток. Также было установлено, что микровезикулы клеток линии NK-92 вызывают активацию каспазы-8 в клетках трофобласта с образованием промежуточного фрагмента и без окончательного расщепления до активной каспазы-8, при этом в клетках-мишенях наблюдалось увеличение активности каспазы-3 и каспазы-9 [12]. Полученные нами данные свидетельствуют о том, что микровезикулы NK-клеток влияют на функциональные характеристики клеток трофобласта и подтверждают предположение о том, что микровезикулы способны переносить свое содержимое в клетки-мишени, включая цитотоксический белок гранзим B, вызывающий апоптоз.
Имеются свидетельства в пользу активации других клеток-мишеней белковыми фракциями лизата клеток линии NK-92 [13]. Так, было установлено, что интенсивность экспрессии рецептора CD54 (ICAM-1) эндотелиальными клетками линии EA.hy926 после культивирования в присутствии среднемолекулярных (<80 кДа) фракций была выше по сравнению с интенсивностью экспрессии того же рецептора неактивированными клетками. При этом низкомолекулярные (<20 кДа) фракции не оказывали влияния на экспрессию рецепторов CD54 (ICAM-1), CD34, CD119 (IFNγR1) и CD31 (PECAM-1) эндотелиальными клетками. Показано, что, в отличие от белковых фракций лизата самих NK-клеток, фракции лизата их микровезикул не оказывали влияния на экспрессию рецептора CD54 (ICAM-1) [14]. Миграция клеток-мишеней после их совместного культивирования в присутствии белковых фракций лизата NK-клеток или их микровезикул изменялась разнонаправленно или оставалась неизменной в зависимости от фракции и степени ее обогащенности белком. Полученные данные об изменении фенотипа и функции эндотелиальных клеток линии EA.hy926 под влиянием белковых фракций лизата клеток линии NK-92 или их микровезикул подтверждают вовлеченность эффекторных белков в обеспечение коммуникации NK-клеток с клетками эндотелия и указывают на специфичное участие белков, переносимых микровезикулами, в механизмах ангиогенеза.
Таким образом, в зависимости от выбранной модели взаимодействия NK-клеток с различными клетками-мишенями, исследователи приходят к неоднозначным выводам относительно влияния клеток врожденного иммунитета на клетки микроокружения, в том числе на эндотелий и трофобласт. Такая неопределенность требует дальнейшего раскрытия биологических механизмов, лежащих в основе нарушений иммунологической толерантности при беременности, плацентарной недостаточности, иных патологических состояний, вызываемых вирусными и бактериальными инфекциями, и, как следствие, репродуктивных потерь. Указанный методологический подход может дополнить полученные ранее данные о взаимодействии NK-клеток и клеток трофобласта как при контактном, так и при дистантном взаимодействии (секреция биологически активных продуктов и продукция микровезикул), моделируя процессы, происходящие in vivo.
Учитывая многосложность взаимодействия NK-клеток и их микроокружения, в том числе клеток трофобласта, целью данного исследования с использованием нового методического подхода явилось изучение влияния белковых фракций лизата NK-клеток, полученных в результате микропрепаративного хроматографического разделения, на фенотип, миграцию и апоптоз клеток трофобласта в модельном эксперименте in vitro.
МЕТОДЫ ИССЛЕДОВАНИЯ
Культуры клеток
В качестве NK-клеток использовали клетки линии NK-92, полученной в ATTC (США), которые культивировали в соответствии с указаниями производителя. Клетки линии NK-92 воспроизводят основные фенотипические и функциональные характеристики активированных NK-клеток [15]. В качестве объекта воздействия клеток линии NK-92 использовали клетки трофобласта линии JEG-3, полученной в ATTC (США), которые культивировали в соответствии с указаниями производителя. Эти клетки воспроизводят основные морфологические, фенотипические и функциональные характеристики клеток инвазивного трофобласта первого триместра беременности [16]. Все эксперименты проводили при 37°С во влажной атмосфере, 5% СО2. Жизнеспособность клеток оценивали при помощи раствора трипанового синего (Sigma-Aldrich Chem. Co., США), при этом она составляла не менее 96%.
Индукторы
В качестве индукторов клеток трофобласта линии JEG-3 использовали белковые фракции, полученные в результате разделения лизата клеток линии NK-92 с помощью метода микропрепаративной эксклюзионной жидкостной хроматографии высокого давления (см. ниже).
Приготовление клеточного лизата
Культуральную среду, содержащую клетки линии NK-92, центрифугировали при 500g (комн. темп., 10 мин), осадок собирали и трижды промывали охлажденным фосфатным буфером PBS (0.01 М; рН 7.4) (Sigma-Aldrich Chem. Co., США). Очищенный осадок ресуспендировали в деионизированной воде стандарта MilliQ с добавлением коктейля ингибиторов протеаз и фосфатаз (Sigma-Aldrich Chem. Co., США) в концентрациях, указанных изготовителями, и хранили при –80°С до анализа. В день эксперимента клетки размораживали и подвергали пятикратному повторному замораживанию-оттаиванию, после чего интенсивно гомогенизировали в стеклянном гомогенизаторе в течение 5 мин. Полученный материал центрифугировали при 19800g (4°С, 20 мин), а полученный супернатант отбирали для дальнейшего исследования.
Препаративная хроматография
Для разделения тотального лизата 5.4×107 клеток на белковые фракции (субфракции цитоплазматической фракции) использовали хроматограф жидкостной 1260 Agilent Technologies Infinity II с программным обеспечением OpenLAB CDS ChemStation (Agilent Technologies, Inc., США). Хроматографическое разделение проводили в неденатурирующих условиях на колонке Agilent Bio SEC-3 Size Exclusion Сolumn, 3μm, 300Å, 4.6×300 мм, (Agilent Technologies, Inc., США). В качестве подвижной фазы использовали бидистиллированную воду. Анализ проводили в изократическом режиме при температуре +4°С со скоростью потока подвижной фазы 0.35 мл/мин. В качестве детектора использовали диодную матрицу, регистрирующую поглощение при 210 и 230 нм. Время анализа составило 45 мин. Деление на фракции осуществлялось по временным отрезкам длительностью 3 мин, начиная с 6-ой мин. В результате эксперимента было проведено 15 итераций деления. Полученные фракции концентрировали на вакуумном испарителе CentriVap Vacuum Concentrator (Labconco Corp., США) до объема, в котором концентрация общего белка превышала значение 5 мг/мл. Полученные концентраты стерилизовали пропусканием через шприцевые фильтры с диаметром пор 0.45 мкм (Corning Inc., США), замораживали при –80°С и хранили до проведения анализа не более двух недель.
Спектрофотометрия
Содержание общего белка в клеточных лизатах и белковых фракциях определяли по методу Бредфорда, используя спектрофотометр NanoDrop One (Thermo Scientific, США).
Электрофорез
Образцы белковых фракций лизата клеток линии NK-92 с равным количеством общего белка разделяли по молекулярным массам в 10% полиакриламидном геле (Bio-Rad, США) в денатурирующих условиях по методу Лэммли. Все образцы были проанализированы трижды независимо друг от друга.
Оценка цитотоксичности
Для определения минимальной токсической дозы подвижной фазы для хроматографии и полученных белковых фракций лизата клеток линии NK-92 в отношении клеток трофобласта линии JEG-3 в лунки 96-луночного плоскодонного планшета для адгезионных культур (BD, США) вносили клетки линии JEG-3 в концентрации 3.5×103 клеток на лунку в 100 мкл полной культуральной среды с добавлением 10% инактивированной эмбриональной телячьей сыворотки (ЭТС). Во избежание краевого эффекта в этом и всех последующих экспериментах с использованием планшетов, крайние лунки по всему периметру заливали средой и не использовали в дальнейшем. Затем клетки культивировали в течение 24 ч в инкубаторе при 37°С во влажной атмосфере, 5% СО2. После этого клеткам заменяли культуральную среду на подвижную фазу для хроматографии или белковые фракции лизата клеток линии NK-92 в нескольких разведениях. Для этого путем последовательного титрования на полной культуральной среде с добавлением 10% ЭТС готовили серию разведений подвижной фазы или белковых фракций в соотношениях: 50%, 25%, 12.5%, 6.25%, 3.13%, 1.56%, 0.78%, 0.39%, 0.20% и 0.10% (v/v). Для получения статистически достоверных результатов каждое разведение препарата готовили в шести повторах. В качестве контроля использовали культуральную среду с добавлением 10% ЭТС. После этого клетки вновь культивировали в течение 24 ч в инкубаторе при 37°С во влажной атмосфере, 5% СО2. Спустя сутки из всех лунок планшета удаляли среду и окрашивали клетки 0.2% раствором кристаллического фиолетового (Sigma-Aldrich Chem. Co., США), содержащим 5% метанола, для чего в каждую лунку вносили 100 мкл раствора красителя и инкубировали 10 мин. Затем, после четырехкратной отмывки лунок дистиллированной водой, планшет высушивали, а краситель экстрагировали добавлением в лунки 100 мкл 50% раствора уксусной кислоты. Учет оптической плотности проводили на фотометре для микропланшет ELx808 (BioTek Instruments Inc., США) при длине волны 540 нм (отсекающая длина волны 630 нм). О снижении жизнеспособности клеток судили по изменению оптической плотности анализируемой пробы по сравнению с контролем.
Оценка минимальной токсической дозы подвижной фазы для хроматографии и белковых фракций лизата клеток линии NK-92 показала, что в неразведенном состоянии и разведении культуральной средой в соотношении 50% и 25% они были токсичны в отношении клеток трофобласта линии JEG-3 (отличие от жизнеспособности интактных клеток: p < 0.001). В разведении культуральной средой в соотношениях 12.5%, 6.25% и во всех последующих разведениях подвижная фаза и белковые фракции не оказывали токсического воздействия на клетки трофобласта (отличие от жизнеспособности интактных клеток: p > 0.05).
Проточная цитофлуориметрия
Для оценки влияния белковых фракций лизата клеток линии NK-92 на фенотип клеток трофобласта линии JEG-3 в лунки 24-луночного плоскодонного планшета помещали клетки в концентрации 1.8×105 клеток в 1 мл полной культуральной среды DMEM (ООО “БиолоТ”, Россия) и культивировали в течении 24 ч до образования монослоя. Затем культуральную среду удаляли так, чтобы при добавлении фракций общий объем в лунке составлял 500 мкл. После этого в часть лунок добавляли белковые фракции в объеме 50 мкл. Часть клеток трофобласта инкубировали в лунках планшета в полной культуральной среде без добавления индукторов. В качестве положительного контроля клетки трофобласта культивировали в полной культуральной среде в присутствии TNFα (50 Ед/мл). Спустя сутки монослой клеток трофобласта дезинтегрировали теплым раствором версена (ООО “БиолоТ”, Россия) и трижды отмывали в растворе Cell Wash (BD, США). После этого клетки обрабатывали антителами к CD54 (BD, США), CD105 (R&D, США), CD253 (BD, США), TRAIL-R1 (BD, США), TRAIL-R2 (BD, США), TNF-R1 (R&D, США), TNF-R2 (R&D, США) в соответствии с рекомендациями производителя. Для контроля неспецифического связывания антител использовали изотипические антитела в соответствии с рекомендациями производителя (BD, США; R&D, США). Относительное количество и интенсивность экспрессии рецепторов клетками трофобласта оценивали с помощью проточного цитофлуориметра FACS Canto II (BD, США). Все эксперименты повторяли трижды независимо друг от друга. Влияние каждой белковой фракции было проанализировано в двух повторах для каждого разведения.
Оценка миграции
Во вставки с поликарбонатной мембраной с размером пор 8 мкм для 24-луночного культурального планшета с плоским дном (BD, США) добавляли клетки трофобласта в концентрации 1.0×105 клеток в 200 мкл полной культуральной среды с добавлением 2% ЭТС на лунку. Через три часа в лунки добавляли 10 мкл растворов индукторов, приготовленных на культуральной среде c добавлением 10% ЭТС (конечные содержания каждой фракции составляли 0.05% (v/v)). В контрольные вставки вносили среду c добавлением 10% ЭТС без индукторов. В лунки планшета под вставки добавляли 700 мкл питательной среды, содержащей 10% ЭТС от общего объема, и культивировали 120 ч. После инкубации вставки промывали теплым раствором Хенкса (ООО “БиолоТ”, Россия), стараясь не задевать внешнюю сторону донышка мембраны вставки. Фиксация клеток производилась с помощью 10% водного раствора формалина. Затем клетки окрашивали гематоксилином (15 мин) и свежеприготовленным 0.1% водным раствором азур-эозина (40 мин). После окрашивания вставки высушивали в течение 24 ч при 37°C для полного удаления влаги. Затем ватным диском удаляли клетки с внутренней стороны вставки и фотографировали клетки на внешней стороне вставки с помощью микроскопа Zeiss AXIO Observer.Z1 и камеры AxioCam MRc 5 (Carl Zeiss Industrielle Messtechnik GmbH, ФРГ) для получения трех полей обзора из каждой лунки.
В каждом поле зрения учитывали площадь и количество ядер мигрировавших через мембрану клеток при помощи программного обеспечения Image-Pro Plus 6.0 (Media Cybernetics, Inc., Сингапур). Миграцию клеток оценивали по изменению указанных параметров по сравнению с базовым контролем (полная культуральная среда с добавлением 10% ЭТС). Влияние каждого из индукторов анализировали в 18 повторах.
Оценка влияния белковых фракций лизата клеток NK-92 на активацию каспазы-3 и сигнального SMAD-пути в клетках трофобласта линии JEG-3
Для получения субконфлюэнтного монослоя клеток трофобласта линии JEG-3 производили пересев и культивацию 3.4×106 клеток при 37°С во влажной атмосфере, 5% СО2 в течение 24 ч. По истечении суток в культуральных флаконах осуществляли замену питательной среды и вносили такой объем индукторов в каждый флакон, чтобы концентрация вносимого белка в нем составила 0.1 мкг/мл либо 1.0 мкг/мл питательной среды. Клетки культивировали в присутствии белковых фракций при 37°С во влажной атмосфере, 5% СО2 в течение 1, 2, 6 либо 24 ч. В контрольные флаконы вносили дополнительный объем питательной среды, равный объему вносимого индуктора. С контрольных флаконов клетки снимали по истечении шести либо 24 ч с момента добавления индукторов.
Иммунноблоттинг
Прокультивированные клетки трофобласта линии JEG-3 лизировали в буфере RIPA (50 мМ Трис-HCl pH 8.1; 1% Тритон Х-100; 0.1% додецилсульфата натрия; 0.5% дезоксихолата натрия; 150 мM хлорида натрия), содержащем коктейль ингибиторов протеаз и фосфатаз (Sigma-Aldrich Chem. Co., США). Для осаждения клеточного дебриса пробы центрифугировали при 20000g (+4°C, 20 мин). Лизат клеток линии JEG-3 либо белковые фракции лизата клеток линии NK-92, содержащие по 50 мкг общего белка, разделяли в 10% полиакриламидном геле (Bio-Rad, США) в денатурирующих условиях по методу Лэммли и переносили на PVDF-мембрану (Bio-Rad, США). Мембраны блокировали 3% водным раствором бычьего сывороточного альбумина (Sigma-Aldrich Chem. Co., США) в буфере TBST (50 мM Tris-HCl; 150 мM хлорида натрия; 0.1% (v/v) Tween 20; pH 7.5). Содержание белков интереса в исследуемых образцах выявляли с помощью специфичных первичных антител к гранзиму B (Granzyme B Mouse mAb, BioLegend, США), TGFβ (TGF-beta Rabbit mAb, Cell Signaling Technology, США), SMAD2/3 (SMAD2/3 (D7G7) XP® Rabbit mAb, Cell Signaling Technology, США), фосфорилированной форме SMAD2/3 (Phospho-SMAD2 (Ser465/467) / SMAD3 (Ser423/425) (D27F4) Rabbit mAb, Cell Signaling Technology, США), каспазе-3 (Caspase-3 Rabbit mAb, Cell Signaling Technology, США). Инкубацию проводили при +4°С в течение ночи. Далее, после инкубации с соответствующими вторичными антителами козы, конъюгированными с пероксидазой хрена (HRP) (1/1000; Bio-Rad, США), сигналы визуализировали, используя усиленную хемилюминесценцию Clarity Western ECL Substrate (Bio-Rad, США). Мембраны сканировали в гель-документирующей системе ChemiDocTM Touch Imaging System (Bio-Rad, США), интенсивность полос определяли при помощи программного обеспечения ImageLab Software (Bio-Rad, США). Полученные данные были нормализованы по содержанию общего белка в геле [17], определяемому с применением технологии stain-free (Bio-Rad, США) согласно инструкции производителя.
Статистический анализ
Статистическую обработку полученных данных проводили с помощью программ Statistica и GraphPad Prism 8. Для проверки достоверности различий применяли непараметрический U-критерий Манна–Уитни с поправкой Бонферрони. Различия считались достоверными при p < 0.05. Результаты в таблице представлены в виде абсолютных значений, на рисунках — в виде графических данных, медианы, первого и третьего квартиля (Me {Q1, Q3}), а также как среднее арифметическое и стандартная ошибка среднего (M ± SEM), иллюстрирующие изменения исследуемых показателей относительно контроля.
Таблица 1. Белковый профиль цитоплазматических фракций лизата естественных киллеров линии NK-92
Фракция №1 | Фракция №2 | Фракция №3 | Фракция №4 | ||||
Молекулярная масса, кДа | Доля, % от общего количества белка | Молекулярная масса, кДа | Доля, % от общего количества белка | Молекулярная масса, кДа | Доля, % от общего количества белка | Молекулярная масса, кДа | Доля, % от общего количества белка |
250.0 | 73.9 | 250.0 | 3.3 | – | – | – | – |
– | – | 73.9 | 4.6 | – | – | – | – |
– | – | 66.1 | 7.5 | 62.4 | 7.5 | – | – |
– | – | 57.9 | 7.9 | 57.8 | 29.7 | – | – |
51.7 | 14.0 | 49.0 | 15.0 | 47.2 | 62.8 | 49.7 | 100.0 |
45.1 | 17.8 | ||||||
36.7 | 12.1 | 36.4 | 14.6 | – | – | – | – |
– | – | 28.8 | 29.3 | – | – | – | – |
РЕЗУЛЬТАТЫ ИССЛЕДОВАНИЯ
Препаративное фракционирование лизата клеток линии NK-92
В результате микропрепаративного хроматографического разделения был получен профиль лизата клеток линии NK-92, состоящий из шести фракций (рис. 1).
Рис. 1. Хроматографический профиль лизата естественных киллеров линии NK-92 при длинах волн 210 и 230 нм (время удерживания фракций составляет три минуты)
Содержание общего белка в лизате составило 60.2 ± 6.1 мкг/106 клеток. Электрофоретическое разделение белков в полученных фракциях показало следующее распределение доминирующих молекулярных масс: 35–250 кДа (фракция №1), 25–70 кДа (фракция №2), 45–65 кДа (фракция №3), 45–50 кДа (фракция №4), “не определено” (фракции №№ 5–6) (рис. 2).
Рис. 2. Электрофореграммы белковых фракций лизата естественных киллеров линии NK-92 (Ladder — раствор стандартной смеси белков с известными молекулярными массами)
Оценка данных белкового профиля фракций №№ 1–4, полученных с использованием 10% одномерных коммерческих гелей в камере для вертикального электрофореза, представлена в табл. 1.
Стандартная методика электрофоретического разделения не позволила визуально определить следовые количества белка, содержащегося во фракциях №№ 5–6.
Оценка влияния белковых фракций лизата клеток линии NK-92 на фенотип клеток трофобласта линии JEG-3
В предварительном эксперименте, проведенном с целью подбора оптимальных условий последующих испытаний, было показано, что индукторы не оказывали влияния на аутофлуоресценцию клеток трофобласта.
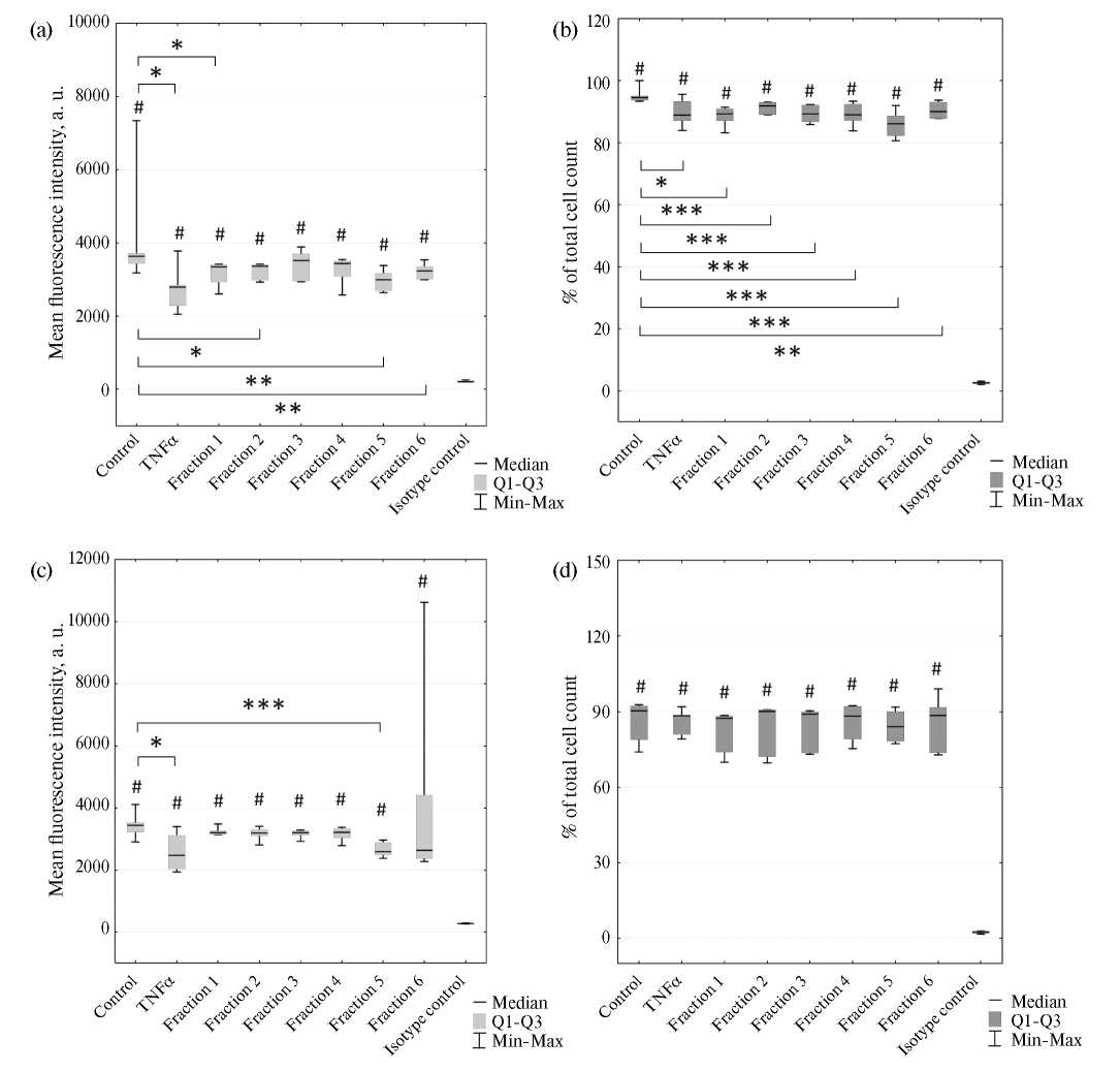
Установлено, что интенсивность экспрессии поверхностного маркера CD105 клетками трофобласта после их культивирования в присутствии фракций №№ 1–2, 5–6 была снижена на 7.4–17.7% по сравнению со спонтанной экспрессией (рис. 3а). Относительное количество клеток трофобласта с фенотипом CD105+ в присутствии всех индукторов также оказалось ниже, на 2.9–8.9%, при сравнении с таковым при спонтанной экспрессии (рис. 3b). Помимо этого, фракция №5 уменьшала интенсивность экспрессии рецептора TRAIL-R2 клетками трофобласта на 24.5% по сравнению со спонтанной экспрессией (рис. 3с), не изменяя, однако, относительного количества клеток, экспрессирующих этот рецептор (рис. 3d).
Рис. 3. Фенотипические характеристики клеток трофобласта линии JEG-3, экспрессирующих поверхностные маркеры в присутствии фракций лизата естественных киллеров линии NK-92: (а) — интенсивность экспрессии CD105; (b) — относительное количество клеток, экспрессирующих CD105; (c) — интенсивность экспрессии TRAIL-R2; (d) — относительное количество клеток, экспрессирующих TRAIL-R2. Достоверность различий: *p < 0.05; **p < 0.01; ***p < 0.001 относительно контроля (спонтанная экспрессия); #p < 0.001 относительно изотипического контроля
Показано, что по сравнению со спонтанной экспрессией все использованные в настоящем исследовании индукторы не влияли на интенсивность экспрессии клетками-мишенями поверхностных маркеров CD54, CD253, TRAIL-R1, TNF-R1 и TNF-R2, а также на относительное количество клеток трофобласта, экспрессирующих эти рецепторы.
Оценка влияния белковых фракций лизата клеток линии NK-92 на миграцию клеток трофобласта линии JEG-3
В качестве базового контроля использовали культуральную среду, содержащую 10% ЭТС: при этом медиана количества мигрировавших клеток составила 1090.3 {1047.8; 1213.7}, а таковая площади, занимаемой мигрировавшими клетками, — 0.96 {0.93; 1.02} мм2.
Установлено, что фракции №№1-2 не позволили клеткам трофобласта мигрировать через мембрану полностью. В случае добавления в культуральную среду фракций №№3-6 достоверных различий обнаружено не было (рис. 4а). Было показано также, что площадь, занимаемая мигрировавшими клетками при совместном культивирования с фракциями №№1-2, не превышала значение площади базового контроля, в иных случаях (фракции №№3-6) достоверных различий обнаружено не было (рис. 4b).
Рис. 4. Миграционная активность клеток трофобласта линии JEG-3, мигрировавших через мембрану в присутствии фракций лизата естественных киллеров линии NK-92: (а) — количество мигрировавших клеток; (b) — площадь, занимаемая мигрировавшими клетками. Достоверность различий относительно базового контроля: **p < 0.01; ***p < 0.001
Оценка влияния белковых фракций лизата клеток линии NK-92 на содержание белков канонического сигнального пути TGFβ и активацию каспазы-3 в клетках трофобласта линии JEG-3
Принимая во внимание данные об эффекте влияния фракций №№1-2 на активность миграции клеток трофобласта и отсутствие такового других фракций, далее было изучено распределение содержания белков интереса в эффективных фракциях лизата клеток линии NK-92, обнаруженных с помощью метода иммуноблоттинга (рис. 5).
Рис. 5. Распределение содержания белков интереса во фракциях №№1-2 лизата естественных киллеров линии NK-92
Установлено, что высокомолекулярная фракция № 1, содержащая TGFβ, вызывает повышение на 16% уровня p-SMAD2/3 в клетках трофобласта через час после сокультивирования с последующим снижением на 15–16% содержания данной фосфорилированной формы через два и более часов (рис. 6). Показано повышение на 6% уровня прокаспазы-3 в клетках трофобласта после часового сокультивирования с той же фракцией (рис. 6). Несмотря на то, что гранзим B также содержится преимущественно во фракции № 1, сокультивирование с ней клеток трофобласта в течение исследованных промежутков времени не приводило к активации в них каспазы-3, что подтверждается отсутствием выявления расщепленного фрагмента активной каспазы-3.
Рис. 6. (а) — Оценка содержания SMAD2/3, p-SMAD2/3 и прокаспазы-3 в клетках трофобласта линии JEG-3 после сокультивирования с фракцией №1 (0.1 мкг/мл среды) лизата клеток естественных киллеров линии NK-92 в течение одного, двух и шести часов (достоверность различий относительно контроля: *p < 0.05); (b) — репрезентативные изображения иммуноблотов белков интереса SMAD2/3, p-SMAD2/3 и прокаспазы-3 в клетках трофобласта линии JEG-3 в тех же условиях
На основании полученных данных о том, что изменения содержания исследуемых белков после сокультивирования с фракцией № 2 (предположительно, обогащенной цитокинами) обнаружены не были, было принято решение увеличить в дальнейшем концентрацию общего белка во фракциях при сокультивировании в десять раз. Этот методический подход, однако, не привел к каким-либо значимым результатам. Так несмотря на то, что исследуемые нами белки преимущественно распределены во фракции № 1 (рис. 5), после сокультивирования с ней (1.0 мкг/мл среды) клеток трофобласта в последних не было получено достоверных различий в уровнях SMAD2/3, p-SMAD2/3, прокаспазы-3 и активной каспазы-3 относительно контроля. Не были обнаружены достоверные изменения содержания тех же белков и при сокультивировании клеток трофобласта с фракцией № 2.
Для оценки возможных вторичных эффектов, вызываемых совместным культивированием клеток трофобласта с белковыми фракциями лизата NK-клеток, было решено увеличить время экспозиции до 24 часов при сохранении высокой концентрации общего белка во фракциях (1.0 мкг/мл среды). В новых условиях проведения эксперимента в клетках трофобласта было показано небольшое снижение содержания SMAD2/3 относительно контроля при сокультивировании с фракцией № 2 (рис. 7) и более резкое повышение содержания прокаспазы-3 относительно контроля после сокультивирования с фракцией №1 (на 29%) и фракцией № 2 (на 63%) (рис. 7). При этом фрагмент активной каспазы-3 в клетках трофобласта также не был обнаружен, что указывает на отсутствие активации каспазы-3 после их сокультивирования с отдельными белковыми фракциями лизата NK-клеток.
Рис. 7. (а) — Оценка содержания SMAD2/3, p-SMAD2/3 и прокаспазы-3 в клетках трофобласта линии JEG-3 после сокультивирования с фракциями №№1-2 (1.0 мкг/мл среды) лизата клеток естественных киллеров линии NK-92 в течение 24 часов (достоверность различий относительно контроля: *p < 0.05; **p < 0.01; ***p < 0.001); (b) — репрезентативные изображения иммуноблотов белков интереса SMAD2/3, p-SMAD2/3 и прокаспазы-3 в клетках трофобласта линии JEG-3 в тех же условиях
Таким образом, были получены данные об эффектах белковых фракций лизата клеток линии NK-92 на фенотип, миграцию и апоптоз клеток трофобласта линии JEG-3 при использовании метода микропрепаративного хроматографического фракционирования и последующего культивирования клеток-мишеней в присутствии индукторов.
ОБСУЖДЕНИЕ РЕЗУЛЬТАТОВ
Использованные в настоящем исследовании клетки линии NK-92 позволяют воспроизвести in vitro основные биохимические процессы, происходящие в клетках in vivo, а клетки трофобласта линии JEG-3 воспроизводят основные морфологические, фенотипические и функциональные характеристики клеток инвазивного трофобласта первого триместра беременности [15, 16].
В настоящей работе мы проанализировали влияние белковых фракций лизата клеток линии NK-92 на экспрессию клетками трофобласта линии JEG-3 поверхностных маркеров CD54 (ICAM-1), CD105, CD253 (TRAIL), TRAIL-R1, TRAIL-R2, TNF-R1, TNF-R2. Выбор указанных рецепторов для оценки их экспрессии клетками-мишенями отчасти обусловлен тем, что ранее в нашей лаборатории было установлено отсутствие влияния микровезикул клеток линии NK-92 на экспрессию клетками трофобласта линии JEG-3 маркеров CD54, CD105, TNF-R1 и ряда других молекул в условиях их совместного культивирования [11].
Установлено, что белки высоко- и низкомолекулярных фракций №№ 1–2, 5–6 снижали экспрессию поверхностного маркера CD105 клетками трофобласта. Помимо этого, фракция №5 снижала интенсивность экспрессии клетками-мишенями рецептора TRAIL-R2. Уменьшение интенсивности экспрессии отдельных поверхностных маркеров клетками трофобласта свидетельствует об ингибировании активации клеток-мишеней белками, содержащимися в высоко- и низкомолекулярных фракциях лизата NK-клеток. В то же время отсутствие изменения экспрессии CD54, CD253, TRAIL-R1, TNF-R1 и TNF-R2 клетками трофобласта в условиях их совместного культивирования в присутствии всех использованных в настоящем исследовании индукторов свидетельствует о том, что во фракциях отсутствуют белки, способные изменить экспрессию этих молекул. Такое различие в индукции поверхностных молекул на плазматической мембране клеток трофобласта линии JEG-3 микровезикулами клеток линии NK-92 и фракциями лизата тех же самых клеток может являться дополнительным аргументом в пользу специфичности сигналов, передаваемых клетками при помощи микровезикул [11, 18].
Поверхностный маркер CD105 (эндоглин) является корецептором TGFβ и экспрессируется на поверхности клеток трофобласта [19], где выступает “переключателем” клеточной поверхности, модулируя перенос сигналов от рецепторов TGFβ, которые опосредуют клеточные миграцию, пролиферацию, образование клеточных кластеров [20]. Таким образом, подавление экспрессии CD105 приводит к усилению секреции TGFβ [21]. Сам же TGFβ снижает цитотоксичность NK-клеток и регулирует инвазивную способность клеток трофобласта [22]. Поэтому следующим этапом нашего исследования явилась оценка влияния фракций лизата клеток линии NK-92 на миграцию клеток трофобласта линии JEG-3.
Известно, что TGFβ представляет собой плейотропный цитокин, обладающий как ингибирующим [23], так и стимулирующим [24, 25] действием на миграцию клеток. Показано TGFβ-зависимое ингибирование инвазии вневорсинчатого трофобласта [26] и клеток линии HTR-8/SVneo [27], при этом при исследовании хориокарцином, таких как JAR или JEG, данный эффект либо не наблюдался, либо исследователи отмечали активацию миграции в присутствии TGFβ [28]. В частности, TGFβ1 способствовал инвазии клеток трофобласта линии JEG-3 через сигнальный путь SMAD, однако данный эффект отсутствовал при концентрациях TGFβ1 ниже 5 нг/мл [29]. Несмотря на то что в нашей работе фракция №1 в концентрации 0.1 мкг/мл, по-видимому, содержит количество TGFβ1, достаточное для активации SMAD-зависимого пути, миграция клеток трофобласта не усиливается, более того, наблюдается выраженное ее снижение, которое, однако, согласуется с полученными нами данными по снижению количества CD105 на плазматической мембране клеток трофобласта. Показано, что подавление CD105 снижает миграцию клеток [30], а его сверхэкспрессия, напротив, способствует инвазии и миграции клеток хориокарциномы [31].
Нами показано преимущественное подавление миграции клеток трофобласта под влиянием высокомолекулярных фракций №№ 1–2 (что не наблюдалось в отношении средне- и низкомолекулярных фракций №№ 3–6) за счет сниженного количества клеток, мигрировавших через мембрану. Полученный результат можно объяснить наличием в данных фракциях большого разнообразия белков, способных оказывать широкий спектр различных воздействий на клетку-мишень, а также повышенной каспаза-3-независимой гибелью клеток трофобласта. Более того, ранее с помощью метода масс-спектрометрии в клетках линии NK-92 были обнаружены каспазы, гранзим А, IL-12, INFβ [13], что также свидетельствует в пользу активного влияния NK-клеток на функциональное состояние клеток трофобласта.
Параллельно с этим установлено, что низкомолекулярная фракция №5 снижала интенсивность экспрессии рецептора TRAIL-R2 клетками трофобласта.
TRAIL-R — рецепторы клеточной гибели. Они экспрессируются клетками различных тканей при физиологических условиях и при патологиях, включая опухоли. Установлено, что некоторые клетки избирательно экспрессируют один из этих рецепторов. Например, эндотелий сосудов головного мозга не экспрессирует TRAIL-R1, но экспрессирует TRAIL-R2 [32]. При связывании TRAIL-R1 и TRAIL-R2 с лигандами TRAIL (CD253) запускается процесс апоптоза клетки, несущей TRAIL-R. Уменьшение экспрессии TRAIL-R2 клетками трофобласта при культивировании с низкомолекулярной фракцией может свидетельствовать либо о его шеддинге, либо о наличии в этой фракции цитокинов, снижающих экспрессию данного рецептора. К таким цитокинам, потенциально входящим в состав лизата клеток линии NK-92, можно отнести IFNγ [33]. Нам не удалось найти в литературе данные о возможности избирательного подавления только одного из TRAIL-R каким-либо из цитокинов или их комбинацией, поэтому обнаруженный феномен требует дальнейшего изучения.
Показано также, что высокомолекулярная фракция № 1, содержащая TGFβ, вызывает повышение уровня p-SMAD2/3 в клетках трофобласта через час после сокультивирования с последующим снижением данной фосфорилированной формы через два и более часов. Последнее наблюдение, вероятно, может быть связано с тем, что эффект активации SMAD-пути достигает максимума ранее. Например, максимум активации SMAD2/3 в модели сокультивирования первичных трофобластов человека и клеточной линии HTR8/SVneo с миостатином приходится на интервал 30-60 мин от начала эксперимента [34], а в модели сокультивирования клеток HTR8/SVneo с костным морфогенетическим белком 2 максимум активации SMAD2/3 достигается в течение 30 мин после начала эксперимента [35].
Повышение уровня прокаспазы-3 при отсутствии обнаружения фрагментов активной каспазы-3 не является достаточным для предположения об активации ее апоптотических функций. Возможно, низкий уровень стресса и отсутствие активной каспазы-3 обусловлено ее ролью в активации PKB [36], mTOR [37] или NF-κB [38], связанных с реализацией ее неапоптотических функций.
Обнаруженное нами отсутствие значимых различий в содержании SMAD2/3, p-SMAD2/3, прокаспазы-3 и активной каспазы-3 в клетках трофобласта при сокультивировании с высокомолекулярной фракцией № 1 (1.0 мкг/мл среды; 1–6 ч) может быть следствием того, что данная фракция представлена высоким разнообразием белков, способных оказывать различные воздействия на клетку-мишень, порой противоположные по своему эффекту. Необходимо отметить, что процедура пробоподготовки лизата клеток линии NK-92 для хроматографического разделения предполагает отсутствие в нем белков плазматических мембран, к которым, в частности, относятся лиганды рецепторов смерти, способных активировать внешний путь апоптоза в клетках-мишенях [39]. Известно также, что для активации ряда сигнальных путей в клетках-мишенях при моделях их взаимодействия с NK-клетками необходимо образование с ними иммунологического синапса, в частности для передачи цитотоксических белков [40]. Ранее нами было показано, что активация каспазы-3 происходит только при наличии непосредственного контакта между клетками линий JEG-3 и NK-92 [41]. Поэтому, несмотря на то что нами показано наличие гранзима B преимущественно во фракции №1, предполагающее ее участие в реализации проапоптотических процессов в клетках-мишенях, важной особенностью используемой нами экспериментальной модели является отсутствие образования иммунологического синапса, без которого активация ряда сигнальных путей в клетках трофобласта не происходит. Предположение о том, что добавление в культуральную среду отдельных белковых фракций не приводит к усилению передачи апоптотических сигналов в клетках трофобласта, соотносится с полученными нами данными по отсутствию увеличения (а скорее даже снижения) экспрессии TRAIL-рецепторов на поверхности клеток трофобласта под воздействием белковых фракций лизата NK-клеток.
Несмотря на то, что во фракции № 2 соотношение белков со средней массой к белкам с большой массой смещено в сторону первых, а именно ими являются большинство цитокинов, хемокинов и факторов роста, отсутствие эффектов на клетки-мишени может являться следствием того, что при приготовлении лизата самих клеток линии NK-92 мы получили данные белки в виде их предшественников и неактивных форм, требующих дополнительной активации, в том числе протеолитической. Отсутствие эффекта можно объяснить меньшим содержанием белков, способных активировать сигнальные пути SMAD и другие пути, участвующие в активации клеточной миграции [42, 43]. Это подтверждает важность способа передачи сигнала (цитокины) для реализации его специфического действия как при контактном, так и при различных вариантах дистантного взаимодействия.
Повышение содержания прокаспазы-3 относительно контроля после сокультивирования с фракциями №№ 1–2 можно связать с воздействием провоспалительных цитокинов IL-18 (18.2 кДа), IL-27 (23.4 кДа) и IL-35 (49.0 кДа), экспрессируемых NK-клетками [44]. Предположительно, эти белки могут преимущественно содержаться во фракции №2.
Таким образом, представленные в исследовании данные об изменении фенотипа, миграции и апоптоза клеток трофобласта линии JEG-3 под влиянием белковых фракций лизата клеток линии NK-92 подтверждают тот факт, что некоторые белковые компоненты, обеспечивающие коммуникацию NK-клеток с клетками трофобласта, вызывают изменения в фенотипических и функциональных характеристиках последних. Данные изменения гипотетически отражают возможное поведение клеток хориона под влиянием разрушающихся NK-клеток в случае их гибели как при физиологических, так и при патологических состояниях, вызванных вирусными и бактериальными инфекциями, а также другими стрессорными факторами, приводящими к репродуктивной патологии.
Для уточнения иммунологических и биохимических механизмов, лежащих в основе этих процессов, необходимы дальнейшие исследования, направленные на идентификацию эффекторных белков NK-клеток и прямые доказательства их связи с эффектами, наблюдаемыми при их взаимодействии с клетками трофобласта.
Проведенное исследование позволяет также оценить различия в данных по оценке влияния тех или иных биологически активных клеточных продуктов при межклеточных взаимодействиях, зависящих от способа передачи сигнала и от конкретной модели их изучения.
ВКЛАДЫ АВТОРОВ
А.В.К. — идея работы и планирование эксперимента, интерпретация результатов, написание статьи; Ю.П.М. — интерпретация результатов; С.К.Б. — проведение экспериментов; А.А.О. — проведение экспериментов; О.Н.Б. — одобрение финальной версии статьи; С.А.С. — редактирование статьи; Д.И.С. — редактирование статьи.
СОБЛЮДЕНИЕ ЭТИЧЕСКИХ СТАНДАРТОВ
Настоящая статья не содержит каких-либо исследований с использованием животных или с участием людей в качестве объектов исследований.
ИСТОЧНИКИ ФИНАНСИРОВАНИЯ
Исследование выполнено в рамках государственного задания № 1021062512052-5-3.2.2 “Разработка диагностических критериев прогнозирования и преодоления репродуктивных потерь” (2022-2024 гг.) при финансовой поддержке Министерства науки и высшего образования Российской Федерации (задача №13: “Оценить морфофункциональные особенности NK-клеток при различных формах репродуктивной патологии, приводящие к невынашиванию беременности”).
КОНФЛИКТ ИНТЕРЕСОВ
Авторы декларируют отсутствие явных и потенциальных конфликтов интересов, связанных с публикацией данной статьи.
БЛАГОДАРНОСТИ
Авторы выражают благодарность студентке ФГБОУ ВО “Санкт-Петербургский государственный технологический институт (технический университет)” В. А. Резюкиной за помощь в проведении исследования.
About the authors
A. V. Korenevsky
D.O. Ott Institute of Obstetrics, Gynecology and Reproductive Medicine
Author for correspondence.
Email: a.korenevsky@yandex.ru
Russian Federation, Saint Petersburg
Yu. P. Milyutina
D.O. Ott Institute of Obstetrics, Gynecology and Reproductive Medicine
Email: a.korenevsky@yandex.ru
Russian Federation, Saint Petersburg
S. K. Bochkovsky
D.O. Ott Institute of Obstetrics, Gynecology and Reproductive Medicine
Email: a.korenevsky@yandex.ru
Russian Federation, Saint Petersburg
A. A. Oshkolova
D.O. Ott Institute of Obstetrics, Gynecology and Reproductive Medicine
Email: a.korenevsky@yandex.ru
Russian Federation, Saint Petersburg
O. N. Bespalova
D.O. Ott Institute of Obstetrics, Gynecology and Reproductive Medicine
Email: a.korenevsky@yandex.ru
Russian Federation, Saint Petersburg
S. A. Selkov
D.O. Ott Institute of Obstetrics, Gynecology and Reproductive Medicine
Email: a.korenevsky@yandex.ru
Russian Federation, Saint Petersburg
D. I. Sokolov
D.O. Ott Institute of Obstetrics, Gynecology and Reproductive Medicine
Email: a.korenevsky@yandex.ru
Russian Federation, Saint Petersburg
References
- Del Zotto G, Marcenaro E, Vacca P, Sivori S, Pende D, Della Chiesa M, Moretta F, Ingegnere T, Mingari MC, Moretta A, Moretta L (2017) Markers and function of human NK cells in normal and pathological conditions. Cytometry. Part B, Clin Cytom 92: 100–114. https://doi.org/10.1002/cyto.b.21508
- Mikhailova VA, Belyakova KL, Selkov SA, Sokolov DI (2017) Peculiarities of NK cells differentiation: CD56dim and CD56bright NK cells at pregnancy and in non-pregnant state. Med Immunol (Russia) 19: 19–26. https://doi.org/10.15789/1563-0625-2017-1-19-26
- Zhang X, Wei H (2021) Role of decidual natural killer cells in human pregnancy and related pregnancy complications. Front Immunol 12: 728291. https://doi.org/10.3389/fimmu.2021.728291
- Pitman H, Innes BA, Robson SC, Bulmer JN, Lash GE (2013) Altered expression of interleukin-6, interleukin-8 and their receptors in decidua of women with sporadic miscarriage. Hum Reprod 28: 2075–2086. https://doi.org/10.1093/humrep/det233
- Tyshchuk EV, Mikhailova VA, Selkov SA, Sokolov DI (2021) Natural killer cells: origin, phenotype, function. Med Immunol (Russia) 23: 1207–1228. (In Russ.). https://doi.org/10.15789/1563-0625-NKC-2330
- Díaz-Hernández I, Alecsandru D, García-Velasco JA, Domínguez F (2021) Uterine natural killer cells: from foe to friend in reproduction. Hum Reprod Update 27: 720–746. https://doi.org/10.1093/humupd/dmaa062.
- Uckan D, Steele A, Cherry, Wang BY, Chamizo W, Koutsonikolis A, Gilbert-Barness E, Good RA (1997) Trophoblasts express Fas ligand: a proposed mechanism for immune privilege in placenta and maternal invasion. Mol Hum Reprod 3: 655–662. https://doi.org/10.1093/molehr/3.8.655
- Pietra G, Vitale M, Moretta L, Mingari MC (2012) How melanoma cells inactivateNK cells. Oncoimmunology 1: 974–975. https://doi.org/10.4161/onci.20405
- Hannan NJ, Jones RL, White CA, Salamonsen LA (2006) The chemokines, CX3CL1, CCL14, and CCL4, promote human trophoblast migration at the feto-maternal interface. Biol Reprod 74: 896–904. https://doi.org/10.1095/biolreprod.105.045518
- Bazhenov DO, Mikhailova VA, Furaeva KL, Vyaz'mina LP, Sokolov DI, Sel'kov SA. (2022) The role of cytokines in maintaining the dynamics of cell-cell interaction between natural killer cells and trophoblast cells. Bull Exp Biol Med 172: 622–631. https://doi.org/10.1007/s10517-022-05444-z
- Sokolov D, Gorshkova A, Markova K, Milyutina Y, Pyatygina K, Zementova M, Korenevsky A, Mikhailova V, Selkov S (2023) Natural killer cell derived microvesicles affect the function of trophoblast cells. Membranes 13: 213. https://doi.org/10.3390/membranes13020213
- Milyutina YP, Korenevskii AV, Vasilyeva VV, Bochkovskii SK, Ishchenko AM, Simbirtsev AS, Sokolov DI, Selkov SA (2022) Caspase activation in trophoblast cells after interacting with microparticles produced by natural killer cells in vitro. J Evol Biochem Physiol 58: 1834–1846. https://doi.org/10.1134/S002209302206014
- Korenevsky AV, Gert TN, Berezkina ME, Sinyavin SA, Mikhailova VA, Markova KL, Simbirtsev AS, Selkov SA, Sokolov DI (2022) Protein fractions of natural killer cell lysates affect the phenotype, proliferation and migration of endothelial cells in vitro. J Evol Biochem Physiol 58: S134–S150.
- Korenevsky AV, Berezkina ME, Gert TN, Sinyavin SA, Selkov SA, Sokolov DI (2022) Phenotypic and functional characteristics of endothelial cells: the in vitro effects of protein fractions from the lysate of natural killer-derived microvesicles. Med Immunol (Russia) 24: 463–480. https://doi.org/10.15789/1563-0625-PAF-2376
- Gong, JH, Maki G, Klingemann HG (1994) Characterization of a human cell line (NK-92) with phenotypical and functional characteristics of activated natural killer cells. Leukemia 8: 652–658.
- Kohler PO, Bridson WE (1971) Isolation of hormone-producing clonal lines of human choriocarcinoma. J Clin EndocrinolMetab 32: 683–687. https://doi.org/10.1210/jcem-32-5-683.
- Bass JJ, Wilkinson DJ, Rankin D, Phillips BE, Szewczyk NJ, Smith K, Atherton PJ (2017) An overview of technical considerations for Western blotting applications to physiological research. Scand. J. Med. Sci. Sports 27: 4–25. https://doi.org/10.1111/sms.12702
- Sokolov DI, Markova KL, Mikhailova VA, Vyazmina LP, Milyutina YuP, Kozyreva AR, Zhdanova AA, Malygina DA, Onokhin KV, Ivanova AN, Korenevsky AV, Selkov SA (2019) Phenotypic and functional characteristics of microvesicles produced by natural killer cells. Med Immunol (Russia) 21: 669–688. https://doi.org/10.15789/1563-0625-2019-4-669-688.
- Mano Y, Kotani T, Shibata K, Matsumura H, Kawachi F, Sugiyama C, Hironaka M, Tsuda H, Sumigama S, Hayakawa H (2010) P28 The role of endoglin in human extravillous trophoblast. Pregnancy Hypertens 1: S50. https://doi.org/10.1016/S2210-7789(10)60194-8
- Duff SE, Li C, Garland JM, Kumar S (2003) CD105 is important for angiogenesis: evidence and potential applications. FASEB J 17: 984–992. https://doi.org/10.1096/fj.02-0634rev
- Li DY, Sorensen LK, Brooke BS, Urness LD, Davis EC, Taylor DG, Boak BB, Wendel DP (1999) Defective angiogenesis in mice lacking endoglin. Science 284: 1534–1537. https://doi.org/10.1126/science.284.5419.1534
- Бабышкина НН, Малиновская ЕА, Стахеева МН, Волкоморов ВВ, Уфандеев АА, Слонимская ЕМ (2010) Роль трансформирующего ростового фактора TGF-β1 в патогенезе рака молочной железы. Сибирский онкологический журнал 6: 63–70. [Babyshkina NN, Malinovskaya EA, Stakheyeva MN, Volkomorov VV, Ufandiev AA, Slonimskaya EM (2010) Role of transforming growth factor TGF-β1 in pathogenesis of breast cancer. Siberian Oncol J 6: 63–70. (In Russ)].
- Yang D, Dai F, Yuan M, Zheng Y, Liu S, Deng Z, Tan W, Chen L, Zhang Q, Zhao X, Cheng Y (2021) Role of transforming growth factor-β1 in regulating fetal-maternal immune tolerance in normal and pathological pregnancy. Front Immunol 12: 689181. https://doi.org/10.3389/fimmu.2021.689181
- Xiong S, Cheng JC, Klausen C, Zhao J, Leung PC (2016) TGF-β1 stimulates migration of type II endometrial cancer cells by down-regulating PTEN via activation of SMAD and ERK1/2 signaling pathways. Oncotarget 7: 61262–61272. https://doi.org/10.18632/oncotarget.11311
- Zhu D, Zhao J, Lou A, Huang Q, OuYang Q, Zhu J, Fan M, He Y, Ren H, Yang M (2019) Transforming growth factor β1 promotes fibroblast-like synoviocytes migration and invasion via TGF-β1/Smad signaling in rheumatoid arthritis. Mol Cell Biochem 459: 141–150. https://doi.org/10.1007/s11010-019-03557-0
- Fafet P, Rebouissou C, Maudelonde T, Vignais ML (2008) Opposite effects of transforming growth factor-beta activation and rho-associated kinase inhibition on human trophoblast migration in a reconstituted placental-endometrial coculture system. Endocrinology 149: 4475–4485. https://doi.org/10.1210/en.2008-0253
- Xu XH, Jia Y, Zhou X, Xie D, Huang X, Jia L, Zhou Q, Zheng Q, Zhou X, Wang K, Jin LP (2019) Downregulation of lysyl oxidase and lysyloxidase-like protein 2 suppressed the migration and invasion of trophoblasts by activating the TGF-β/collagen pathway in preeclampsia. Exp Mol Med 51: 1–12. https://doi.org/10.1038/s12276-019-0211-9
- Graham CH, Connelly I, MacDougall JR, Kerbel RS, Stetler-Stevenson WG, Lala PK (1994) Resistance of malignant trophoblast cells to both the anti-proliferative and anti-invasive effects of transforming growth factor-beta. Exp Cell Res 214: 93–99. https://doi.org/10.1006/excr.1994.1237
- Huang Z, Li S, Fan W, Ma Q (2017) Transforming growth factor β1 promotes invasion of human JEG-3 trophoblast cells via TGF-β/Smad3 signaling pathway. Oncotarget 8: 33560–33570. https://doi.org/10.18632/oncotarget.16826
- Dolinsek T, Sersa G, Prosen L, Bosnjak M, Stimac M, Razborsek U, Cemazar M (2015) Electrotransfer of plasmid DNA encoding an anti-mouse endoglin (CD105) shRNA to B16 melanoma tumors with low and high metastatic potential results in pronounced anti-tumor effects. Cancers 8: 3. https://doi.org/10.3390/cancers8010003
- Wang X, Zong L, Wang W, Yang J, Xiang Y (2020) CD105 overexpression mediates drug-resistance in choriocarcinoma cells through BMP9/Smad pathway. J Cancer 11: 272–283. https://doi.org/10.7150/jca.34965
- Spierings DC, de Vries EG, Vellenga E, van den Heuvel FA, Koornstra JJ, Wesseling J, Hollema H, de Jong S (2004) Tissue distribution of the death ligand TRAIL and its receptors. J Histochem Cytochem 52: 821–831. https://doi.org/10.1369/jhc.3A6112.2004
- Sedger LM, Shows DM, Blanton RA, Peschon JJ, Goodwin RG, Cosman D, Wiley SR (1999) IFN-gamma mediates a novel antiviral activity through dynamic modulation of TRAIL and TRAIL receptor expression. J Immunol 163: 920–926.
- AbdelHafez F, Klausen C, Zhu H, Leung PCK (2022) Myostatin increases human trophoblast cell invasion by upregulating N-cadherin via SMAD2/3-SMAD4 signaling. Biol Reprod 106: 1267–1277. https://doi.org/10.1093/biolre/ioab238
- Zhao HJ, Klausen C, Li Y, Zhu H, Wang YL, Leung PCK (2018) Bone morphogenetic protein 2 promotes human trophoblast cell invasion by upregulating N-cadherin via non-canonical SMAD2/3 signaling. Cell Death Dis 9: 174. https://doi.org/10.1038/s41419-017-0230-1
- Khalil H, Peltzer N, Walicki J, Yang JY, Dubuis G, Gardiol N, Held W, Bigliardi P, Marsland B, Liaudet L, Widmann C (2012) Caspase-3 protects stressed organs against cell death. Mol Cell Biol 32: 4523–4533. https://doi.org/10.1128/MCB.00774-12
- Porta C, Paglino C, Mosca A (2014) Targeting PI3K/Akt/mTOR signaling in cancer. Front Oncol 4: 64. https://doi.org/10.3389/fonc.2014.00064
- Hussain AR, Ahmed SO, Ahmed M, Khan OS, Al Abdulmohsen S, Platanias LC, Al-Kuraya KS, Uddin S (2012) Cross-talk between NFkB and the PI3-kinase/AKT pathway can be targeted in primary effusion lymphoma (PEL) cell lines for efficient apoptosis. PloS One 7: e39945. https://doi.org/10.1371/journal.pone.0039945
- Wajant H (2003) Death receptors. Essays Biochem 39: 53–71. https://doi.org/10.1042/bse0390053
- Santoni G, Amantini C, Santoni M, Maggi F, Morelli MB, Santoni A (2021) Mechanosensation and mechanotransduction in natural killer cells. Front Immunol 12: 688918. https://doi.org/10.3389/fimmu.2021.688918
- Milyutina YP, Mikhailova VA, Pyatygina KM, Demidova ES, Malygina DA, Tertychnaia TE, Arutjunyan AV, Sokolov DI, Selkov SA (2019) Role of caspases in the cytotoxicity of NK-92 cells in various models of coculturing with trophoblasts. Biochemistry (Mosc) 84: 1186–1196. https://doi.org/10.1134/S0006297919100079
- Attisano L, Lee-Hoeflich ST (2001) The Smads. Genome Biol 2: REVIEWS3010. https://doi.org/10.1186/gb-2001-2-8-reviews3010
- Гребенкина ПВ, Михайлова ВА, Ошколова АА, Вершинина СО, Духинова МС, Баженов ДО, Сельков СА, Соколов ДИ (2022) Децидуальные естественные киллеры и клетки трофобласта: клеточные, гуморальные и молекулярные механизмы взаимодействия. Медицинская иммунология 24: 1085–1108. [Grebenkina PV, Mikhailova VA, Oshkolova AA, Vershinina SO, Dukhinova MS, Bazhenov DO, Selkov SA, Sokolov DI (2022) Decidual natural killer cells and trophoblast cells: cellular, humoral and molecular mechanisms of interaction. Med Immunol (Russia) 24: 1085–1108. (In Russ.)] https://doi.org/10.15789/1563-0625-DNK-2540
- Abel AM, Yang C, Thakar MS, Malarkannan S (2018) Natural killer cells: development, maturation, and clinical utilization. Front Immunol 9: 1869. https://doi.org/10.3389/fimmu.2018.01869
Supplementary files









