Heat Capacity and Thermodynamic Functions of Sodium-Alloyed Lead Babbitt BNa (PbSb15Sn10Na)
- Autores: Ganiev I.N.1, Khodzhanazarov K.M.1, Khodzhaev F.K.1, Eshov B.B.2
-
Afiliações:
- Osimi Tajik Technical University
- GU Center for Research of Innovative Technologies, Tajikistan National Academy of Sciences
- Edição: Volume 97, Nº 4 (2023)
- Páginas: 469-475
- Seção: CHEMICAL THERMODYNAMICS AND THERMOCHEMISTRY
- ##submission.dateSubmitted##: 15.10.2023
- ##submission.datePublished##: 01.04.2023
- URL: https://journal-vniispk.ru/0044-4537/article/view/136549
- DOI: https://doi.org/10.31857/S0044453723040106
- EDN: https://elibrary.ru/TFIXIO
- ID: 136549
Citar
Texto integral
Resumo
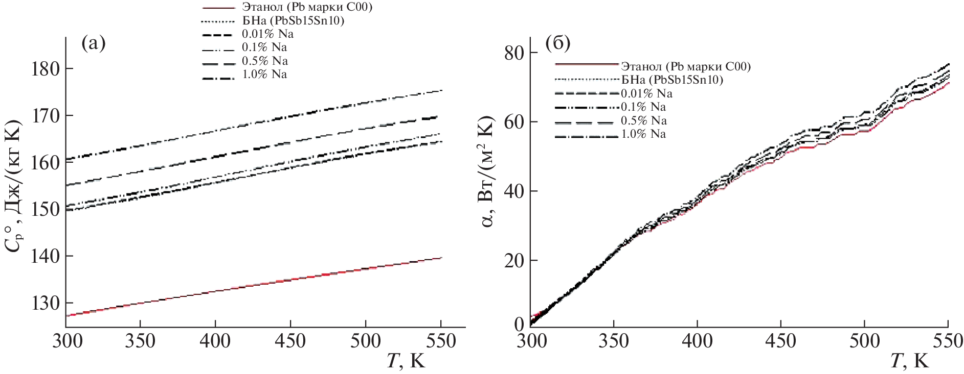
The heat capacity of sodium-alloyed lead babbitt BNa (PbSb15Sn10Na) is determined experimentally, and the temperature dependences of the changes in the thermodynamic functions of this alloy are calculated. The temperature dependence of the heat capacity of babbitt BNa is studied in the cooling mode using the SigmaPlot 10.0 software. Polynomials are determined for the temperature dependences of the heat capacity and the changes in the thermodynamic functions (enthalpy, entropy, and Gibbs free energy) of babbitt BNa and a reference sample (S00-grade Pb), that describe these dependences with coefficient of correlation Rcorr = 0.999. It is shown that the heat capacity of babbitt BNa grows along with the content of sodium, its enthalpy and entropy grow along with temperature and the content of sodium, and its Gibbs energy falls.
Palavras-chave
Sobre autores
I. Ganiev
Osimi Tajik Technical University
Email: ganievizatullo48@gmail.com
734042, Dushanbe, Tajikistan
Kh. Khodzhanazarov
Osimi Tajik Technical University
Email: ganievizatullo48@gmail.com
734042, Dushanbe, Tajikistan
F. Khodzhaev
Osimi Tajik Technical University
Email: ganievizatullo48@gmail.com
734042, Dushanbe, Tajikistan
B. Eshov
GU Center for Research of Innovative Technologies, Tajikistan National Academy of Sciences
Autor responsável pela correspondência
Email: ganievizatullo48@gmail.com
734063, Dushanbe, Tajikistan
Bibliografia
- Лужникова Л.П. Материалы в машиностроении. Т. 1. Цветные металлы и сплавы. М.: Машиностроение, 1967. 287 с.
- Горбатенко В.П., Новоселова Т.В. Материаловедение. Невинномысск, 2018. 324 с.
- Александров В.М. Материаловедение и технология конструкционных материалов. Часть 1. Материаловедение, Архангельск: Северный (Арктический) Федеральный университет, 2015. 327 с.
- Бешевли О.Б., Дуюн Т.А. // Вестн. БГТУ им. В.Г. Шухова. 2010. № 2 (85). С. 75.
- Чуев К.В., Бешевли О.Б., Дуюн Т.А. // Там же. 2010. № 2 (85). С. 96.
- Резай Б. // Электрохимия. 2006. Т. 42. № 4. С. 401.
- Jauch U., Haase G., Karcher V., Schulz B. Thermophysical Properties in The System Li-Pb. Pt. I–III // Kernforschungszentrum Karlsruhe Report 4144. 1986. 82 p.
- Ходжаназаров Х.М., Ганиев И.Н., Ходжаев Ф.К. // Вестн. Саратовск. гос. техн. ун-та. 2022. № 1. С. 86.
- Ганиев И.Н., Ходжаназаров Х.М., Ходжаев Ф.К. // Ползуновский вестн. Алтайск гос. техн. ун-та им. И.И. Ползунова. 2022. № 1. С. 126.
- Ганиев И.Н., Ходжаназаров Х.М., Ходжаев Ф.К., Одиназода Х.О. // Вестн. Пермск. национальн. исследовательского политехн. ун-та. 2022. № 1. С. 52.
- Киров С.А., Козлов А.В., Салецкий А.М., Харабадзе Д.Э. Измерение теплоемкости и теплоты плавления методом охлаждения. Учебное пособие. М.: ООП Физ. факультета МГУ им. М.В. Ломоносова, 2012. 52 с.
- Еремина Р.М., Скворцов А.И., Мутыгуллина А.А. Экспериментальные задачи общего физического практикума по молекулярной физике и термодинамике. Процессы переноса. Жидкости и твердые тела. Казань: Изд. Казанск. (Приволжск.) федеральн. ун-та, 2015. 42 с.
- Рогачев Н.М., Гусева С.И. Определение удельной теплоемкости твердых тел: Метод. указания к лабор. работе № 1–23. Самара: Изд. Самарск. гос. аэрокосм. ун-та имени академика С.П. Королева, 2012. 14 с.
- Ганиев И.Н., Муллоева Н.М., Низомов З. и др. // Теплофизика высоких температур. 2014. Т. 52. № 1. С. 147.
- Ганиев И.Н., Отаджонов С.Э., Иброхимов Н.Ф., Махмудов М. // Там же. 2019. Т. 57. № 1. С. 26.
- Муллоева Н.М., Ганиев И.Н., Эшов Б.Б. и др. // Изв. Самарск. научн. центра РАН. 2014. Т. 6. № 6. С. 38.
- Ганиев И.Н., Ниезов О.Х., Сафаров А.Г., Муллоева Н.М. // Изв. Санкт-Петербургск. гос. техн. ин-та (технологич. ун-та). 2018. № 47. С. 36.
- Наврузов Х.П., Ганиев И.Н., Амонулло Х. и др. // Вестн. Магнитогорск. Гос. техн. ун-та им. Г.И. Носова. 2020. Т. 18. № 3. С. 42.
- Зиновьев В.И. Теплофизические свойства металлов при высоких температурах. М.: Металлургия, 1989. 384 с.
- Низомов З., Гулов Б.Н., Ганиев И.Н. и др. // Докл. АН Республики Таджикистан. 2011. Т. 54. № 1. С. 53.
Arquivos suplementares





