An Equation of State of Corundum Based on Planck–Einstein Functions
- Autores: Perevoshchikov A.V.1, Kovalenko N.A.1, Uspenskaya I.A.1
-
Afiliações:
- Faculty of Chemistry, Lomonosov Moscow State University
- Edição: Volume 97, Nº 4 (2023)
- Páginas: 486-494
- Seção: CHEMICAL THERMODYNAMICS AND THERMOCHEMISTRY
- ##submission.dateSubmitted##: 15.10.2023
- ##submission.datePublished##: 01.04.2023
- URL: https://journal-vniispk.ru/0044-4537/article/view/136552
- DOI: https://doi.org/10.31857/S0044453723040234
- EDN: https://elibrary.ru/TGKFZV
- ID: 136552
Citar
Texto integral
Resumo
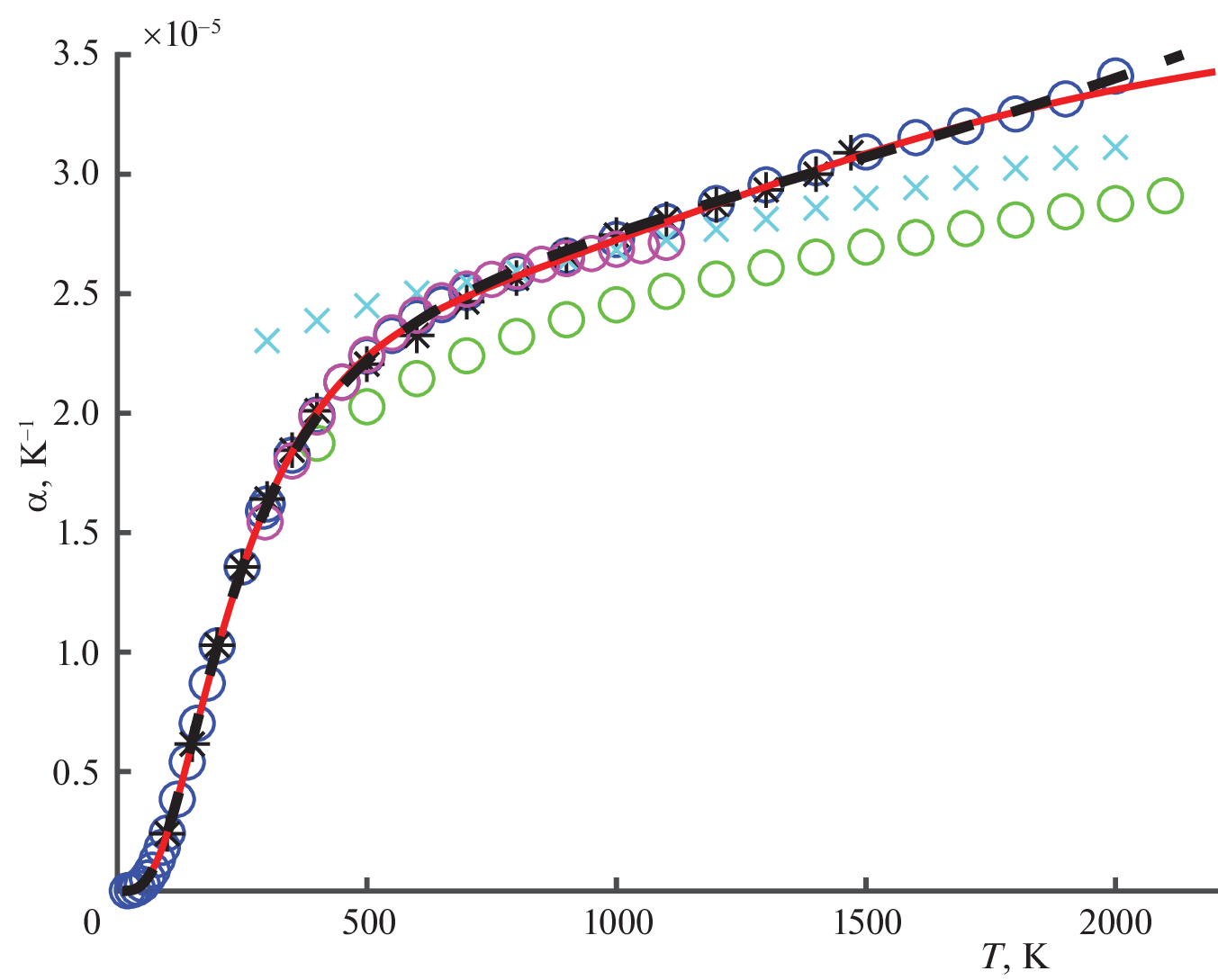
The possibility of constructing the equation of state of a crystalline substance based on a linear combination of the Planck–Einstein functions is shown using the example of corundum α-Al2O3. Two versions of the corundum equation of state are obtained on the basis of functions F(V,T) and G(P,T) as a result of the self-consistency of the heat capacity values, the enthalpy increment, PVT data, the coefficient of thermal expansion, and the adiabatic modulus of elasticity. Both equations provide an acceptable description of the above properties in a wide range of variables (up to a pressure of 165 GPa and a temperature of 2250 K).
Sobre autores
A. Perevoshchikov
Faculty of Chemistry, Lomonosov Moscow State University
Email: ira@td.chem.msu.ru
119991, Moscow, Russia
N. Kovalenko
Faculty of Chemistry, Lomonosov Moscow State University
Email: ira@td.chem.msu.ru
119991, Moscow, Russia
I. Uspenskaya
Faculty of Chemistry, Lomonosov Moscow State University
Autor responsável pela correspondência
Email: ira@td.chem.msu.ru
119991, Moscow, Russia
Bibliografia
- Перевощиков А.В., Максимов А.И., Бабаян И.И. и др. // Журн. неорган. химии 2023. Т. 68. № 2. https://doi.org/10.31857/S0044457X22601407
- Voronin G.F., Kutsenok I.B. // J. Chem. Eng. Data 2013. V. 58. № 7. P. 2083. https://doi.org/10.1021/je400316m
- Khvan A.V., Uspenskaya I.A., Aristova N.M. et al. // Calphad 2020. V. 68. P. 101724. https://doi.org/10.1016/j.calphad.2019.101724
- Khvan A.V., Dinsdale A.T., Uspenskaya I.A. et al. // Calphad 2018. V. 60. P. 144. https://doi.org/10.1016/j.calphad.2017.12.008
- Uspenskaya I.A., Kulikov L.A. // J. Chem. Eng. Data 2015. V. 60. № 8. P. 2320. https://doi.org/10.1021/acs.jced.5b00217
- D’Amour H., Schiferl D., Denner W. et al. // J. Appl. Phys. 1978. V. 49. № 8. P. 4411. https://doi.org/10.1063/1.325494
- Archer D.G. // J. Phys. Chem. Ref. Data. 1993. V. 22. № 6. P. 1441. https://doi.org/10.1063/1.555931
- Mao H.K., Bell P.M., Shaner J.W. et al. // J. Appl. Phys. 1978. V. 49. № 6. P. 3276. https://doi.org/10.1063/1.325277
- Levin I., Brandon D. // J. Am. Ceram. Soc. 1998. V. 81. № 8. P. 1995. https://doi.org/10.1111/j.1151-2916.1998.tb02581.x
- Fiquet G., Richet P., Montagnac G. // Phys. Chem. Minerals 1999. V. 27. № 2. P. 103. https://doi.org/10.1007/s002690050246
- Perevoshchikov A.V., Maksimov A.I., Kovalenko N.A. et al. // Russ. J. Phys. Chem. 2022. V. 96. № 10. P. 2059. https://doi.org/10.1134/S0036024422100259
- Huang Y.K., Chow C.Y. // J. Phys. D: Appl. Phys 1974. V. 7. № 15. P. 2021. https://doi.org/10.1088/0022-3727/7/15/305
- Finger L.W., Hazen R.M. // J. Appl. Phys. 1978. V. 49. № 12. P. 5823. https://doi.org/10.1063/1.324598
- Dewaele A., Torrent M. // Phys. Rev. B 2013. V. 88. № 6. P. 064107. https://doi.org/10.1103/PhysRevB.88.064107
- Dorogokupets P.I., Sokolova T.S., Dymshits A.M. et al. // Geodyn. Tectonophys. 2016. V. 7. № 3. P. 459. https://doi.org/10.5800/GT-2016-7-3-0217
- Grevel K.D., Burchard M., Faßhauer D.W. et al. // J. Geophys. Res. Solid Earth 2000. V. 105. № B12. P. 27877. https://doi.org/10.1029/2000jb900323
- Goto T., Anderson O.L., Ohno I. et al. // J. Geophys. Res. 1989. V. 94. № B6. P. 7588. https://doi.org/10.1029/JB094iB06p07588
- Richet P., Xu J.-A., Mao H.-K. // Phys. Chem. Minerals 1988. V. 16. P. 207. https://doi.org/10.1007/BF00220687
- Krupka K.M., Robie R.A., Hemingway B.S. // Am. Mineral 1979. V. 64. P. 86.
- Andrews J.T.S., Norton P.A., Westrum E.F. // J. Chem. Thermodynamics 1978. V. 10. P. 949. https://doi.org/10.1016/0021-9614(78)90056-3
- Inaba A. // J. Chem. Thermodynamics 1983. V. 15. P. 1137. https://doi.org/10.1016/0021-9614(83)90004-6
- Fugate R.Q., Swenson C.A. // J. Appl. Phys. 1969. V. 40. № 7. P. 3034. https://doi.org/10.1063/1.1658118
- Furukawa G.T., Douglas T.B., Mccoskey R.E. et al. // J. Res. Natl. Bur. Stand. 1956. V. 57. № 2. https://doi.org/10.6028/JRES.057.008
- Tan Z., Yin A., Chen S. et al. // Thermochim. Acta 1988. V. 123. P. 105. https://doi.org/10.1016/0040-6031(88)80014-5
- Tan Z.-C., Shi Q., Liu B.-P. et al. // J. Therm. Anal. Calorim. 2008. V. 92. № 2. P. 367. https://doi.org/10.1007/s10973-007-8954-2
- Tan Z., Ye J., Sun Y. et al. // Thermochim. Acta 1991. V. 183. P. 29. https://doi.org/10.1016/0040-6031(91)80442-L
- Tan Z., Zhang J., Meng S. et al. // Sci. China, Ser. B. 1999. V. 42. № 4. P. 382. https://doi.org/10.1007/BF02873967
- Sorai M., Kaji K., Kaneko Y. // J. Chem. Thermodynamics 1992. V. 24. P. 167. https://doi.org/10.1016/S0021-9614(05)80046-1
- Ditmars D.A., Douglas T.B. // J. Res. Natl. Bur. Stand. A Phys. Chem. 1971. V. 75. № 5. P. 401. https://doi.org/10.6028/JRES.075A.031
- Richet P., Denielou L., Petitet J.P. et al. // Geochim. Cosmochim. Acta 1982. V. 46. P. 2639. https://doi.org/10.1016/0016-7037(82)90383-0
- Ditmars D.A., Ishihara S., Chang S.S. et al. // J. Res. Natl. Bur. Stand. 1982. V. 87. № 2. P. 159. https://doi.org/10.6028/jres.087.012
- Richet P., Fiquet G. // J. Geophys. Res. 1991. V. 96. № B1. P. 445. https://doi.org/10.1029/90JB02172
- Петухов В., Чеховской В., Багдасаров Х. // Теплофизика высоких температур 1973. Т. 11. № 5. C. 1083.
- Aldebert P., Traverse J.-P. // High Temp. High Pres. 1984. V. 16. № 2. P. 127.
- White G.K., Minges M.L., Castanet R.B. et al. // Int. J. Thermophys. 1997. V. 18. № 5. P. 1269. https://doi.org/10.1007/BF02575261
- Schauer A. // Can. J. Phys. 1965. V. 43. P. 523. https://doi.org/10.1139/p65-049
- Wachtman J.B., Scuderi T.G., Cleek G.W. // J. Am. Ceram. Soc. 1962. V. 45. № 7. P. 319. https://doi.org/10.1111/j.1151-2916.1962.tb11159.x
- Dubrovinsky L., Saxená Lazor S.P., Dubrovinsky L.S. et al. // Phys. Chem. Minerals 1998. V. 25. P. 434. https://doi.org/10.1007/s002690050133
- Tarumi R., Ledbetter H., Ogi H. et al. // Philos. Mag. 2013. V. 93. № 36. P. 4532. https://doi.org/10.1080/14786435.2013.837225
- Dubrovinsky L.S., Saxena S.K. // Phys. Chem. Minerals 1997. V. 24. № 8. P. 547. https://doi.org/10.1007/s002690050070
- Sato Y., Akimoto S.I. // J. Appl. Phys. 1979. V. 50. № 8. P. 5285. https://doi.org/10.1063/1.326625
Arquivos suplementares





