Volumetric Properties of a Solution of tert-Butyl Alcohol in Carbon Tetrachloride: MD Modeling
- Авторлар: Anikeenko A.V.1, Medvedev N.N.1,2
-
Мекемелер:
- Voevodsky Institute of Chemical Kinetics and Combustion, Siberian Branch, Russian Academy of Sciences
- Novosibirsk State University
- Шығарылым: Том 97, № 5 (2023)
- Беттер: 595-601
- Бөлім: ФИЗИКА И ХИМИЯ ЭЛЕМЕНТАРНЫХ ХИМИЧЕСКИХ ПРОЦЕССОВ
- ##submission.dateSubmitted##: 15.10.2023
- ##submission.datePublished##: 01.05.2023
- URL: https://journal-vniispk.ru/0044-4537/article/view/136559
- DOI: https://doi.org/10.31857/S0044453723050035
- EDN: https://elibrary.ru/MQAJTH
- ID: 136559
Дәйексөз келтіру
Толық мәтін
Аннотация
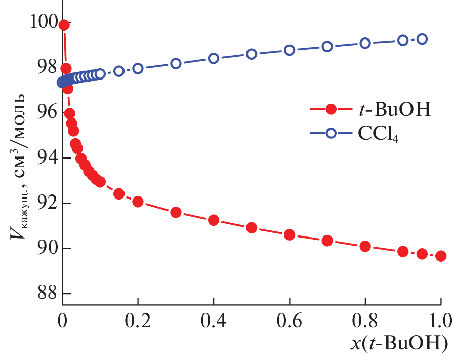
Models of solutions of tert-butyl alcohol (TBA) in carbon tetrachloride (CTC) are obtained via all-atom molecular dynamics modeling. The excess volume of the solution and the apparent and intrinsic (geometric) volumes of both components are calculated throughout the range of concentrations. It is shown that the apparent and intrinsic molar volumes of TBA in the limit of low concentrations in solution are notably larger than in pure alcohol. At the same time, their values fall rapidly in a narrow range of concentrations (from 0 to 0.1 mole fractions), and then move almost linearly to their limit values in alcohol. It is found that such behavior of the volumetric characteristics of TBA is due to the specific association of alcohol at low concentrations because of the hydrogen bonding among TBA molecules.
Негізгі сөздер
Авторлар туралы
A. Anikeenko
Voevodsky Institute of Chemical Kinetics and Combustion, Siberian Branch, Russian Academy of Sciences
Email: anik@kinetics.nsc.ru
630090, Novosibirsk, Russia
N. Medvedev
Voevodsky Institute of Chemical Kinetics and Combustion, Siberian Branch, Russian Academy of Sciences; Novosibirsk State University
Хат алмасуға жауапты Автор.
Email: anik@kinetics.nsc.ru
630090, Novosibirsk, Russia; 630090, Novosibirsk, Russia
Әдебиет тізімі
- Egorov G.I., Makarov D.M. // J. Chem. Thermodyn. 2011. V. 43. № 3. P. 430. https://doi.org/10.1016/j.jct.2010.10.018
- Nakanishi K. // Bull. Chem. Soc. Jpn. 1960. V. 33. № 6. P. 793. https://doi.org/10.1246/bcsj.33.793
- Subramanian D., Klauda J.B., Leys J., Anisimov M.A. // Вестн. СПбГУ. Физика и химия. 2013. Т. 4. № 4. С. 139. https://doi.org/10.48550/arXiv.1308.3676
- Wilcox D.S., Rankin B.M., Ben-Amotz D. // Faraday Discuss. 2013. V. 167. P. 177. https://doi.org/10.1039/C3FD00086A
- Nishikawa K., Iijima T. // J. Phys. Chem. 1990. V. 94. № 16. P. 6227. https://doi.org/10.1021/j100379a015
- Mizuno K., Kimura Y., Morichika H. et al. // J. Mol. Liq. 2000. V. 85. № 1–2. P. 139. https://doi.org/10.1016/S0167-7322(99)00170-1
- Kustov A.V., Antonova O.A. // Thermochim. Acta. 2013. V. 565. P. 159. https://doi.org/10.1016/j.tca.2013.05.028
- Onori G., Santucci A. // J. Mol. Liq. 1996. V. 69. P. 161. https://doi.org/10.1016/S0167-7322(96)90012-4
- Price W.S., Ide H., Arata Y. // J. Phys. Chem. A. 2003. V. 107. № 24. P. 4784. https://doi.org/10.1021/jp027257z
- Кесслер Ю.М., Зайцев А.Л. Сольвофобные эффекты. Теория, эксперимент, практика. Л.: Химия, 1989. 312 с.
- Freda M., Onori G., Santucci A. // Phys. Chem. Chem. Phys. 2002. V. 4. № 20. P. 4979. https://doi.org/10.1039/B203773D
- Kusalik P.G., Lyubartsev A.P., Bergman D.L., Laaksonen A. // J. Phys. Chem. B. 2000. V. 104. № 40. P. 9533–9539. https://doi.org/10.1021/jp001887o
- Gupta R., Patey G.N. // J. Chem. Phys. 2012. V. 137. № 3. P. 034509. https://doi.org/10.1063/1.4731248
- Banerjee S., Furtado J., Bagchi B. // Ibid. 2014. V. 140. № 19. P. 194502. https://doi.org/10.1063/1.4874637
- Anikeenko A.V., Kadtsyn E.D., Medvedev N.N. // J. Mol. Liq. 2017. V. 245. P. 35. https://doi.org/10.1016/j.molliq.2017.06.001
- Kadtsyn E.D., Anikeenko A.V., Medvedev N.N. // Ibid.2019. V. 286. P. 110870. https://doi.org/10.1016/j.molliq.2019.04.147
- Overduin S.D., Perera A., Patey G.N. // J. Chem. Phys. 2019. V. 150. № 18. P. 184504. https://doi.org/10.1063/1.5097011
- Cerar J., Jamnik A., Pethes I. et al // J. Colloid Interface Sci. 2020. V. 560. P. 730. https://doi.org/10.1016/j.jcis.2019.10.094
- Кадцын Е.Д., Ничипоренко В.А., Медведев Н.Н. // Журн. cтруктур. химии. 2021. Т. 62. № 1. С. 61. https://doi.org/10.26902/JSC_id66707
- Kadtsyn E.D., Nichiporenko V.A., Medvedev N.N. // J. Mol. Liq. 2022. V. 349. P. 118173. https://doi.org/10.1016/j.molliq.2021.118173
- Kalhor P., Li Q.-Z., Zheng Y.-Z., Yu Z.-W. // J. Phys. Chem. A. 2020. V. 124. № 30. P. 6177. https://doi.org/10.1021/acs.jpca.0c03463
- Staveley L.A. K., Spice B. // J. Chem. Soc. 1952. P. 406. https://doi.org/10.1039/jr9520000406
- Rama Varma K.T., Kumaran M.K., Seetharaman T.S. // J. Chem. Thermodyn. 1976. V. 8. № 7. P. 657. https://doi.org/10.1016/0021-9614(76)90017-3
- Paraskevopoulos G.C., Missen R.W. // Trans. Faraday Soc. 1962. V. 58. P. 869. https://doi.org/10.1039/TF9625800869
- Battino R. // Chem. Rev. 1971. V. 71. № 1. P. 5. https://doi.org/10.1021/cr60269a002
- Vasiltsova T., Heintz A., Nadolny H., Weingärtner H. // Phys. Chem. Chem. Phys. 2009. V. 11. № 14. P. 2408. https://doi.org/10.1039/B818532H
- Tironi I.G., Fontana P., van Gunsteren W.F. // Mol. Simul. 1996. V. 18. № 1–2. P. 1. https://doi.org/10.1080/08927029608022351
- Vrabec J., Stoll J., Hasse H. // J. Phys. Chem. B. 2001. V. 105. № 48. P. 12126. https://doi.org/10.1021/jp012542o
- Li A. H.-T., Huang S.-C., Chao S.D. // J. Chem. Phys. 2010. V. 132. № 2. P. 024506. https://doi.org/10.1063/1.3293129
- Kunz A.-P.E., Eichenberger A.P., van Gunsteren W.F. // Mol. Phys. 2011. V. 109. № 3. P. 365–372. https://doi.org/10.1080/00268976.2010.533208
- Guevara-Carrion G., Janzen T., Muñoz-Muñoz Y.M., Vrabec J. // J. Chem. Phys. 2016. V. 144. № 12. P. 124501. https://doi.org/10.1063/1.4943395
- Lindahl A., Hess B., van der Spoel D. GROMACS 2021.5 Source code (2021.5). Zenodo. 2022. https://doi.org/10.5281/zenodo.5850051
- Páll S., Zhmurov A., Bauer P. et al. // J. Chem. Phys. 2020. V. 153. № 13. P. 134110. https://doi.org/10.1063/5.0018516
- Bussi G., Donadio D., Parrinello M. // Ibid. 2007. V. 126. P. 014101. https://doi.org/10.1063/1.2408420
- Bernetti M., Bussi G. // Ibid.2020. V. 153. № 11. P. 114107. https://doi.org/10.1063/5.0020514
- Hess B., Bekker H., Berendsen H.J.C., Fraaije J.G.E.M. // J. Comp. Chem. 1997. V. 18. № 12. P. 1463. https://doi.org/10.1002/(SICI)1096-987X(199709)18:12<1463::AID-JCC4>3.0.CO;2-H
- Essmann U., Perera L., Berkowitz M.L. et al. // J. Chem. Phys. 1995. V. 103. № 19. P. 8577. https://doi.org/10.1063/1.470117
- Jorgensen W.L., Maxwell D.S., Tirado-Rives J.J. // Am. Chem. Soc. 1996. V. 118. P. 11225. https://doi.org/10.1021/ja9621760
- Caleman C., van Maaren P.J., Hong M. et al. // J. Chem. Theory Comput. 2012. V. 8. № 1. P. 61. https://doi.org/10.1021/ct200731v
- Sega M., Fábián B., Horvai G., Jedlovszky P. // J. Phys. Chem. C. 2016. V. 120. № 48. P. 27468. https://doi.org/10.1021/acs.jpcc.6b09880
- Duffy E.M., Severance D.L., Jorgensen W.L. // J. Am. Chem. Soc. 1992. V. 114. № 19. P. 7535. https://doi.org/10.1021/ja00045a029
Қосымша файлдар








