Photophysical and Photochemical Properties of Perylene–(Cyanine Dye) Dyad in the VIS–NIR Spectrum Region
- Autores: Kozlov A.V.1, Sizov L.R.1, Revina D.V.1,2, Rybkin A.Y.1, Goryachev N.S.1,2
-
Afiliações:
- Federal Research Center of Problems of Chemical Physics and Medicinal Chemistry, Russian Academy of Sciences
- Moscow State University
- Edição: Volume 97, Nº 5 (2023)
- Páginas: 602-606
- Seção: ФИЗИКА И ХИМИЯ ЭЛЕМЕНТАРНЫХ ХИМИЧЕСКИХ ПРОЦЕССОВ
- ##submission.dateSubmitted##: 15.10.2023
- ##submission.datePublished##: 01.05.2023
- URL: https://journal-vniispk.ru/0044-4537/article/view/136562
- DOI: https://doi.org/10.31857/S0044453723050138
- EDN: https://elibrary.ru/MRDPQG
- ID: 136562
Citar
Texto integral
Resumo
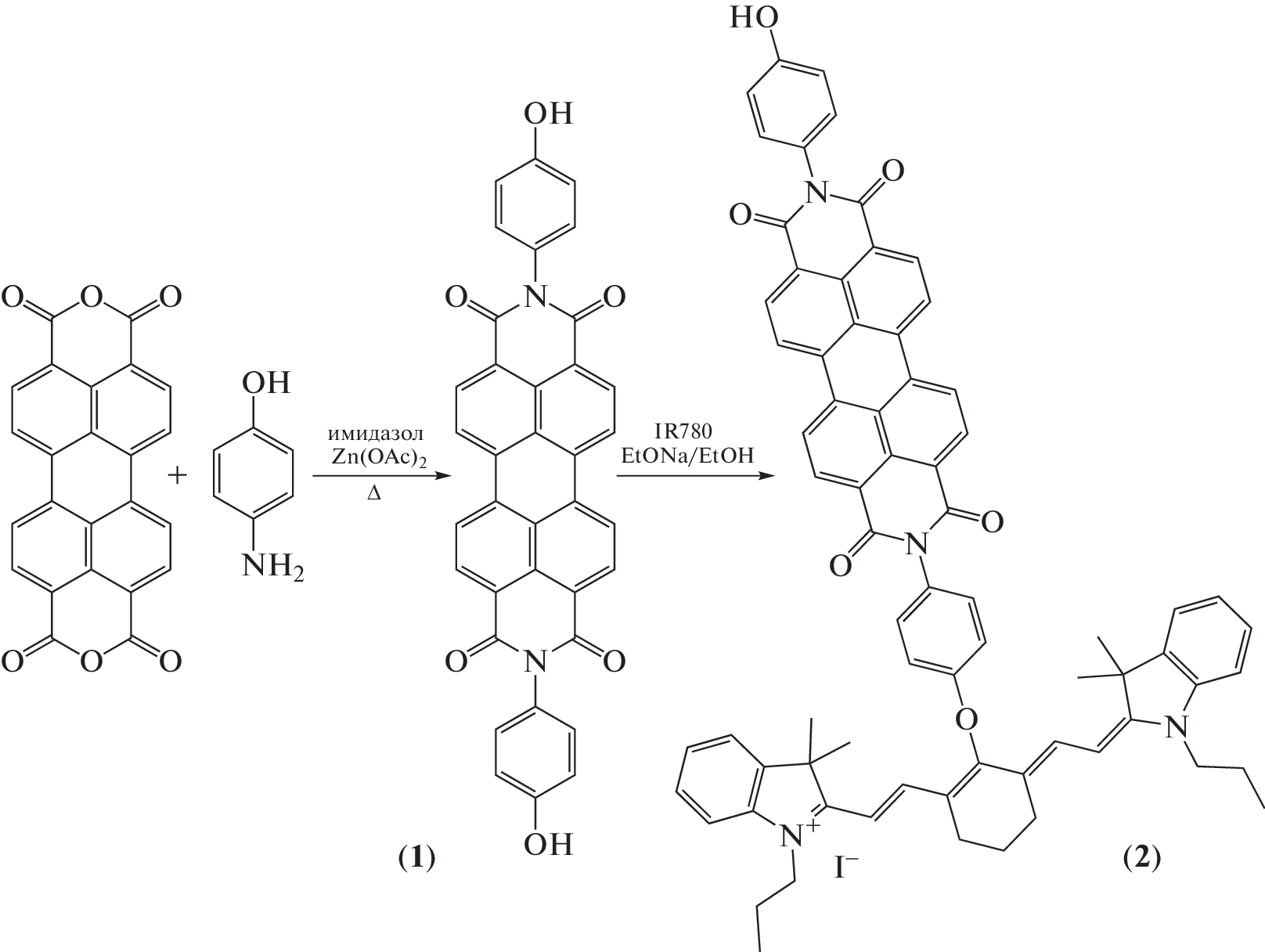
The photophysical properties of an original covalently-bonded dyad based on a perylene derivative and IR-780 cyanine dye were studied. The dyad has pronounced absorption in the NIR region of the spectrum and a strong fluorescence signal, which is weakly quenched by the influence of the perylene derivative. Upon excitation of the dyad in the absorption region of perylene, a fluorescence signal from IR-780 is detected due to the Förster energy transfer mechanism. It is shown that the dyad does not generate singlet oxygen upon photoexcitation in the NIR region of the spectrum. However, it can generate superoxide anion radicals, indicating the presence of the photoinduced electrons transfer from the dye to the perylene.
Palavras-chave
Sobre autores
A. Kozlov
Federal Research Center of Problems of Chemical Physics and Medicinal Chemistry, Russian Academy of Sciences
Email: lexsetlex@gmail.com
Chernogolovka, Russia
L. Sizov
Federal Research Center of Problems of Chemical Physics and Medicinal Chemistry, Russian Academy of Sciences
Email: lexsetlex@gmail.com
Chernogolovka, Russia
D. Revina
Federal Research Center of Problems of Chemical Physics and Medicinal Chemistry, Russian Academy of Sciences; Moscow State University
Email: lexsetlex@gmail.com
Chernogolovka, Russia; 119991, Moscow, Russia
A. Rybkin
Federal Research Center of Problems of Chemical Physics and Medicinal Chemistry, Russian Academy of Sciences
Email: lexsetlex@gmail.com
Chernogolovka, Russia
N. Goryachev
Federal Research Center of Problems of Chemical Physics and Medicinal Chemistry, Russian Academy of Sciences; Moscow State University
Autor responsável pela correspondência
Email: lexsetlex@gmail.com
Chernogolovka, Russia; 119991, Moscow, Russia
Bibliografia
- Chen H., Zhang W., Zhu G. et al. // Nat. Rev. Mater. 2017. V. 2. № 7. P. 17024. https://doi.org/10.1038/natrevmats.2017.24
- Yang Z., Tian R., Wu J. et al. // ACS Nano 2017. V. 11. № 4. P. 4247. https://doi.org/10.1021/acsnano.7b01261
- Li J., Pu K. // Chem. Soc. Rev. 2019. V. 48. № 1. P. 38. https://doi.org/10.1039/C8CS00001H
- Wang Y.-Y.Y., Liu Y.-C.C., Sun H. et al. // Coord. Chem. Rev. 2019. V. 395. P. 46. https://doi.org/10.1016/j.ccr.2019.05.016
- Meredith P., Li W., Armin A. // Adv. Energy Mater. 2020. V. 10. № 33. P. 2001788. https://doi.org/10.1002/aenm.202001788
- Praikaew P., Maniam S., Charoenpanich A. et al. // J. Photochem. Photobiol. A Chem. 2019. V. 382. P. 111852. https://doi.org/10.1016/j.jphotochem.2019.05
- Fan Q., Cheng K., Yang Z. et al. // Adv. Mater. 2015. V. 27. № 5. P. 843. https://doi.org/10.1002/adma.201402972
- Yang Z., Dai Y., Shan L. et al. // Nanoscale Horizons 2019. V. 4. № 2. P. 426. https://doi.org/10.1039/C8NH00307F
- Li Q., Huang C., Liu L. et al. // Cytom. Part A 2018. № 93. P. 997. https://doi.org/10.1002/cyto.a.23596
- Rybkin A.Y., Belik A.Y., Goryachev N.S. et al. // Dye. Pigment. 2020. V. 180. P. 108411. https://doi.org/10.1016/j.dyepig.2020.108411
- Rybkin A.Y., Belik A.Y., Kraevaya O.A. et al. // Dye. Pigment. 2019. V. 160. P. 457. https://doi.org/10.1016/j.dyepig.2018.06.041
- Spiller W., Kliesch H., Wöhrle D. et al. // J. Porphyrins Phthalocyanines 1998. V. 02. № 02. P. 145. https://doi.org/10.1002/(SICI)1099-1409(199803/04)2:2<145::AID-JPP60>3
- Kuznetsova N.A., Gretsova N.S., Derkacheva V.M. et al. // Russ. J. Gen. Chem. 2002. V. 72. № 2. P. 300. https://doi.org/10.1023/A:1015402524813
- Yamakoshi Y., Umezawa N., Ryu A. et al. // J. Am. Chem. Soc. 2003. V. 125. № 42. P. 12803. https://doi.org/10.1021/ja0355574
- Ford W.E., Kamat P. V. // J. Phys. Chem. 1987. V. 91. № 25. P. 6373. https://doi.org/10.1021/j100309a012
- Levitz A., Marmarchi F., Henary M. // Molecules. 2018. V. 23. № 2. P. 1. 10.3390/molecules23020226
- Rurack K. // Stand. Qual. Assur. Fluoresc. Meas. I Springer Berlin Heidelberg, 2008 P. 101. https://doi.org/10.1007/4243_2008_019
- Seybold P.G., Gouterman M., Callis J. // Photochem. Photobiol. 1969. V. 9. № 3. P. 229. https://doi.org/10.1111/j.1751-1097.1969.tb07287.x
- Müller S., Mantareva V., Stoichkova N. et al. // J. Photochem. Photobiol. B Biol. 1996. V. 35. № 3. P. 167. https://doi.org/10.1016/S1011-1344(96)07294-6
- Rybkin A.Y., Belik A.Y., Tarakanov P.A. et al. // Macroheterocycles. 2019. V. 12. № 2. P. 181. https://doi.org/10.6060/mhc190446r
Arquivos suplementares





