Резонансный захват электронов молекулами 5-метил-уридина и 3'-дезокситимидина
- Авторы: Муфтахов М.В.1, Туктаров Р.Ф.1
-
Учреждения:
- Институт физики молекул и кристаллов – обособленное структурное подразделение Федерального государственного бюджетного научного учреждения Уфимского федерального исследовательского центра Российской академии наук
- Выпуск: Том 97, № 5 (2023)
- Страницы: 685-692
- Раздел: СТРОЕНИЕ ВЕЩЕСТВА И КВАНТОВАЯ ХИМИЯ
- Статья получена: 15.10.2023
- Статья опубликована: 01.05.2023
- URL: https://journal-vniispk.ru/0044-4537/article/view/136591
- DOI: https://doi.org/10.31857/S0044453723050187
- EDN: https://elibrary.ru/MSUPHF
- ID: 136591
Цитировать
Полный текст
Аннотация
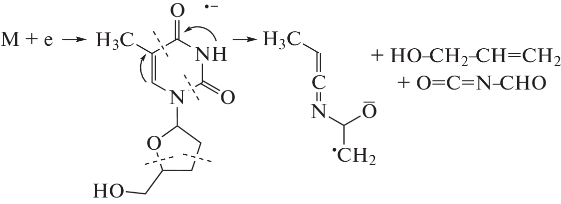
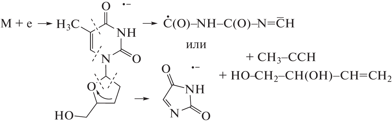
Методом масс-спектрометрии отрицательных ионов исследованы процессы резонансного присоединения электронов молекулами нуклеозидов 5-метил-уридина и 3'-дезокситимидина в диапазоне энергии электронов 0–14 эВ. Установлено, что они подобны таковым в ранее исследованных нуклеозидах – уридине, дезоксиуридине, тимидине. Выявлены основные каналы фрагментации молекулярных ионов и определены абсолютные сечения образования осколочных ионов. Обнаружено, что интенсивность процесса разрыва гликозидной связи в 3'-дезокситимидине в области низких энергий на два с половиной порядка меньше такового в ставудине. Это указывает на перспективность замены антиретровирусного препарата ставудина на 3'-дезокситимидин при необходимости лучевой терапии онкозаболеваний, возникающих как осложнения ВИЧ.
Об авторах
М. В. Муфтахов
Институт физики молекул и кристаллов – обособленное структурное подразделение Федерального государственного бюджетного научного учреждения Уфимского федерального исследовательского центраРоссийской академии наук
Email: LMSNI@anrb.ru
Россия, 450075, Уфа
Р. Ф. Туктаров
Институт физики молекул и кристаллов – обособленное структурное подразделение Федерального государственного бюджетного научного учреждения Уфимского федерального исследовательского центраРоссийской академии наук
Автор, ответственный за переписку.
Email: LMSNI@anrb.ru
Россия, 450075, Уфа
Список литературы
- Gorfinkiel J.D., Ptasinska S. // J. Phys. B. 2017. V. 50. P. 182001.https://doi.org/10.1088/1361-6455/aa8572
- Cobut V., Frongillo Y., Patau J.P. et al. // Radiat. Phys. Chem. 1998. V. 51. P. 229. https://doi.org/10.1016/S0969-806X(97)00096-0
- Jian-Xing X. // JSM Cell Dev Biol. 2015. V. 3. P. 1014.
- Boudaïffa B., Cloutier P., Hunting D. et al. // Science. 2000. V. 287. P. 1658. https://doi.org/10.1126/science.287.5458.1658
- Aflatooni K., Gallup G.A., Burrow P.D. // J. Phys. Chem. 1998. V. 102. P. 6205.https://doi.org/10.1021/jp980865n
- Denifl S., Ptasińska S., Hanel G. et al. // J. Chem. Phys. 2004. V. 120. P. 6557.https://doi.org/10.1063/1.1649724
- Denifl S., Ptasińska S., Probst M. et al. // J. Phys. Chem A. 2004. V. 108. P. 6562. https://doi.org/10.1021/jp049394x
- Gohlke S., Abdoul-Carime H., Illenberger E. // Chem. Phys. Lett. 2003. V. 380. P. 595.https://doi.org/10.1016/j.cplett.2003.09.013
- Ptasińska S., Denifl S., Mróz B. et al. // J. Chem. Phys. 2005. V. 123. P. 124302. https://doi.org/10.1063/1.2035592
- Huber D., Beikircher M., Denifl S. et al. // Ibid. 2006. V. 125. P. 084304.https://doi.org/10.1063/1.2336775
- Hanel G., Gstir B., Denifl S. et al. // Phys. Rev. Lett. 2003 V. 90. P. 188104. https://doi.org/10.1103/PhysRevLett.90.188104
- Ptasińska S., Denifl S., Scheier P., Märk T.D. // J. Chem. Phys. 2004. V. 120. P. 8505. https://doi.org/10.1063/1.1690231
- Bald I., Kopyra J., Illenberger E. // Angew. Chem. Int. Ed. 2006. V. 45. P. 4851.https://doi.org/10.1002/anie.200600303
- Sulzer P., Ptasinska S., Zappa F. et al. // J. Chem. Phys. 2006. V. 125. P. 044304.https://doi.org/10.1063/1.2222370
- König C., Kopyra J., Bald I., Illenberger E. et al. // Phys. Rev. Lett. 2006. V. 97. P. 018105.https://doi.org/10.1103/PhysRevLett.97.018105
- Муфтахов М.В., Щукин П.В. // Масс-спектрометрия. 2013. Т. 10. № 1. С. 39.https://doi.org/10.1134/S1061934813140086
- Muftakhov M.V., Shchukin P.V. // Rapid Commun. Mass Spectrom. 2019. V. 33. P. 482.https://doi.org/10.1002/rcm.8354
- Muftakhov M.V., Shchukin P.V., Khatymov R.V. // Radiat. Phys. Chem. 2021. V. 184. P. 109464. https://doi.org/10.1016/j.radphyschem.2021.109464
- Мазунов В.А., Щукин П.В., Хатымов Р.В., Муфтахов М.В. // Масс-спектрометрия. 2006. Т. 3. № 1. С. 11.
- Muftakhov M.V., Vasil’ev Yu.V., Mazunov V.A. // Rapid Commun. Mass Spectrom. 1999. V. 13. P. 1104https://doi.org/10.1002/(SICI)1097-0231(19990630)13: 123.0.CO;2-C
- Khatymov R.V., Muftakhov M.V., Mazunov V.A. // Rapid Commun. Mass Spectrom. 2003. V. 17. P. 2327.https://doi.org/10.1002/rcm.1197
- Edelson D., Griffiths J. E., McAffe K.B. // J. Chem. Phys. 1962. V. 73. P. 919.
- Ptasińska S., Denifl S., Gohlke S. et al. // Angew. Chem. Int. Ed. 2006. V. 45. P. 1893. https://doi.org/10.1002/anie.200503930
- Щукин П.В., Хатымов Р.В. // Масс-спектрометрия. 2013. Т. 10. № 3. С. 158.
- Stokes S.T., Li X., Grubisic A. et al. // J. Chem. Phys. 2007. V. 127. P. 084321.https://doi.org/10.1063/1.2774985
Дополнительные файлы












