Синтез, структура и свойства модифицированной керамики (Na0.5Bi0.5)TiO3–BaTiO3–(K0.5Na0.5)NbO3
- Авторы: Калева Г.М.1, Политова Е.Д.1, Мосунов А.В.2, Ильина Т.С.3, Киселев Д.А.3
-
Учреждения:
- Федеральный исследовательский центр химической физики им. Н.Н. Семенова РАН
- Московский государственный университет им. М.В. Ломоносова
- Национальный исследовательский технологический университет “МИСиС”
- Выпуск: Том 97, № 5 (2023)
- Страницы: 712-717
- Раздел: СТРОЕНИЕ ВЕЩЕСТВА И КВАНТОВАЯ ХИМИЯ
- Статья получена: 15.10.2023
- Статья опубликована: 01.05.2023
- URL: https://journal-vniispk.ru/0044-4537/article/view/136600
- DOI: https://doi.org/10.31857/S0044453723050126
- EDN: https://elibrary.ru/MRAZWZ
- ID: 136600
Цитировать
Полный текст
Аннотация
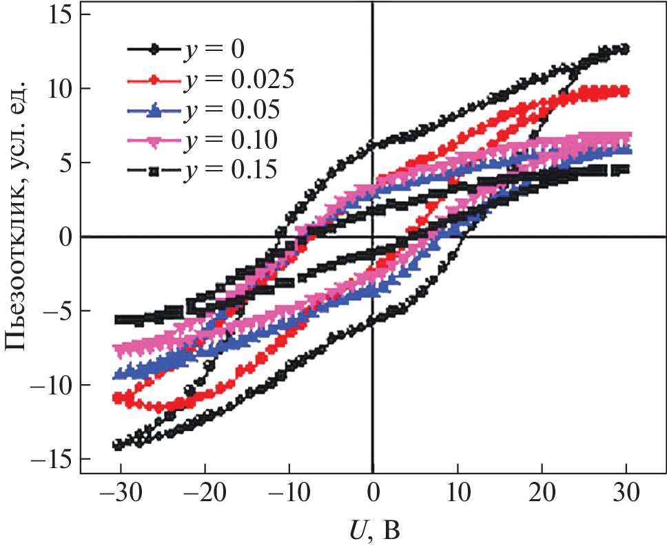
Методом твердофазного синтеза получены однофазные керамические образцы новых составов (1 ‒ x – у)(Na0.5Bi0.5)TiO3–хBaTiO3–у(K0.5Na0.5)NbO3 (x = 0.05, у = 0–0.15), модифицированные добавками оксидов ZnO и GeO2, и изучены их кристаллическая структура, микроструктура, диэлектрические и локальные пьезоэлектрические свойства. Установлено формирование фазы со структурой перовскита с псевдокубической элементарной ячейкой во всех синтезированных образцах и увеличение объема ячейки в результате частичного комплексного замещения катионов структуры перовскита. Фазовые переходы подтверждены методом диэлектрической спектроскопии. Для синтезированных образцов в режиме спектроскопии переключения поляризации получены остаточные петли пьезоэлектрического гистерезиса, подтверждающие переключение сегнетоэлектрической поляризации.
Ключевые слова
Об авторах
Г. М. Калева
Федеральный исследовательский центр химической физики им. Н.Н. Семенова РАН
Email: kaleva@nifhi.ru
Россия, 119991, Москва
Е. Д. Политова
Федеральный исследовательский центр химической физики им. Н.Н. Семенова РАН
Email: kaleva@nifhi.ru
Россия, 119991, Москва
А. В. Мосунов
Московский государственный университет им. М.В. Ломоносова
Email: kaleva@nifhi.ru
Россия, 119991, Москва
Т. С. Ильина
Национальный исследовательский технологический университет “МИСиС”
Email: kaleva@nifhi.ru
Россия, 119049, Москва
Д. А. Киселев
Национальный исследовательский технологический университет “МИСиС”
Автор, ответственный за переписку.
Email: kaleva@nifhi.ru
Россия, 119049, Москва
Список литературы
- Gupta V., Sharma M., and Thakur N. // J. Intel. Mat. Sys. Str. 2010. V. 21. P. 1227.
- Sodano H.A., Henry A., Inman D.J., Park G. // J. Intel. Mat. Sys. Str. 2005. V. 16. P. 799.
- Sodano H.A., Park G., Inman D.J. // Strain. 2004. V. 40. P. 49.
- Веневцев Ю.Н., Политова Е.Д., Иванов С.А. Сегнето- и антисегнетоэлектрики семейства титаната бария. М.: Химия, 1985, 256 с.
- Zhang Sh.J., Eitel R.E., Randall C.A. et al. // Appl. Phys. Letters. 2005. V. 86. P. 262904.
- Maeder M.D., Damjanovic D., and Setter N. // J. Electroceram. 2004. V. 13. P. 385.
- Saito Y., Takao H., Tani I. et al. // Nature. 2004. V. 432. P. 84.
- Takenaka T., Nagata H., Hiruma Y. et al. // J. Electroceram. 2007. V. 19. P. 259.
- Takenaka T., Nagata H., and Hiruma Y. // Jpn. J. Appl. Phys. 2008. V. 47. P. 3787.
- Rödel J., Jo W., Seifert T.P., Anton E.M. et al. // J. Am. Ceram. Soc. 2009. V. 92. P. 1153.
- Panda P.K. // J. Mater. Sci. 2009. V. 44. P. 5049.
- Bernard J., Bencan A., Rojac T. et al. // J. Am. Ceram. Soc. 2008. V. 91. P. 2409.
- Smolenskii G.A., Isupov V.A., Agranovskaya A.I., Krainik N.N. // Sov. Phys. Solid State. 1961. V. 2. P. 2651.
- Vakhrushev S.B., Isupov V.A., Kvyatkovsky B.E. et al. // Ferroelectrics. 1985. V. 63. P. 153.
- Jones G.O., Thomas P.A. // Acta Crystallogr. Sect. B. 2002. V. 58. P. 168.
- Hiruma Y., Nagata H., Takenaka T. // J. Appl. Phys. 2009. V. 105. P. 084112.
- Chu B.-J., Chen D.-R., Li G.-R., Jin Q.-R. // J. of the European Ceramic Society. 2002. V. 22. P. 2115.
- Nagata H., Yoshida M., Makiuchi Y., Takenaka T. // Jpn. J. Appl. Phys. Pt. 1. 2003. V. 42. 7401.
- Ringgaard M.E., Wurlitzer T. // J. Eur. Ceram. Soc. 2005. V. 25. P. 2701.
- Zuo R., Fang X., and Ye C. // Appl. Phys. Lett. 2007. V. 90. P. 092904.
- Kounga A.B., Zhang S.T., Jo W. et al. // Appl. Phys. Lett. 2008. V. 92. P. 222902.
- Xiao D.Q., Lin D.M., Zhu J.G., Yu P. // J. Electroceram. 2008. V. 21. P. 34.
- Politova E.D., Golubko N.V., Kaleva G.M. et al. // J. of Advanced Dielectrics. 2018. V. 8. P. 1850004.
- Politova E.D., Golubko N.V., Kaleva G.M. et al. // Ferroelectrics. 2019. V. 538. P. 45.
- Белышева Т.В., Гатин А.К., Гришин М.В. и др. // Хим.физика. 2015. Т. 34. № 9. С. 56.
- Громов В.Ф., Герасимов Г.Н., Белышева Т.В. и др. // Там же. 2018. Т. 37. № 1. С. 76. [Gromov V.F., Gerasimov G.N., Belysheva T.V. et al. // Ibid. 2018. V. 12. № 1. P. 129.]
- Jones G.O., Thomas P.A. // Acta Crystallogr. Sect. B. 2002. V. 58. P. 168.
- Dorcet V., Trolliard G., and Boullay P. // Chem. Mater. 2008. V. 20. P. 5061.
- Tan X., Cheng M., Frederick J. et al. // J. Amer. Ceram. Soc. 2011. V. 94. P. 4091.
- Shvartsman V.V., Lupascu D.C. // Ibid. V. 95. P. 1.
- Bernard J., Bencan A., Rojac T. et al. // J. Am. Ceram. Soc. 2008. V. 91. P. 2409.
- Politova E.D., Golubko N.V., Kaleva G.M. et al. // Ferroelectrics. 2019. V. 538 P. 45.
- Lee H.J., Zhang S.H. Lead-Free Piezoelectrics. N.Y.: Springer, 2012. 291 p.
Дополнительные файлы









