Роль конвективного фактора в коррозии низкоуглеродистой стали в растворе серной кислоты, содержащем сульфат железа(III)
- Авторы: Авдеев Я.Г.1, Панова А.В.1, Андреева Т.Э.1
-
Учреждения:
- Институт физической химии и электрохимии им. А.Н. Фрумкина РАН
- Выпуск: Том 97, № 5 (2023)
- Страницы: 730-746
- Раздел: ЭЛЕКТРОХИМИЯ. ГЕНЕРАЦИЯ И АККУМУЛИРОВАНИЕ ЭНЕРГИИ ИЗ ВОЗОБНОВЛЯЕМЫХ ИСТОЧНИКОВ
- Статья получена: 15.10.2023
- Статья опубликована: 01.05.2023
- URL: https://journal-vniispk.ru/0044-4537/article/view/136602
- DOI: https://doi.org/10.31857/S0044453723050059
- EDN: https://elibrary.ru/MQHVBZ
- ID: 136602
Цитировать
Полный текст
Аннотация
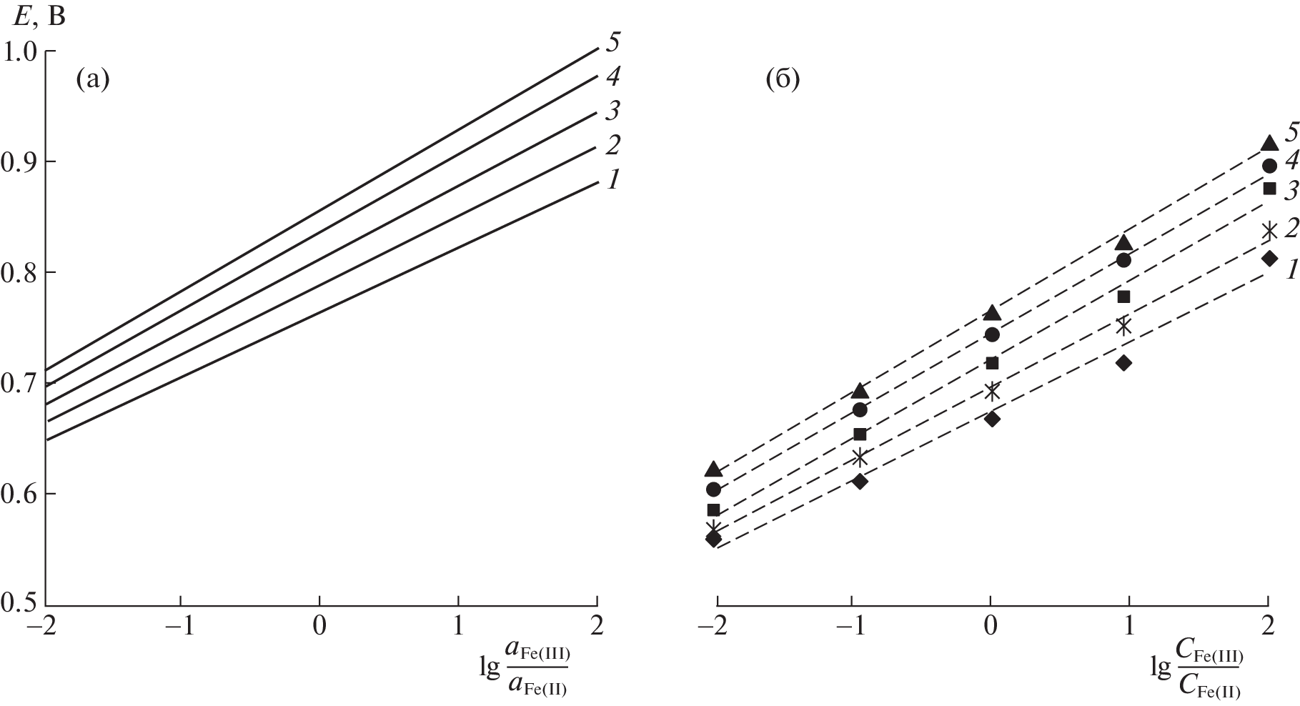
Изучена коррозия низкоуглеродистой стали в растворах H2SO4, содержащих Fe2(SO4)3, в том числе в средах с добавками индивидуального и смесевого ингибитора коррозии. Установлено, что окислительная способность исследуемой системы (в которой термодинамически разрешены реакции железа с раствором кислоты и солью Fe(III)), характеризуемая редокс-потенциалом пары Fe(III)/Fe(II), во многом определяется ее анионным составом; сульфат-анионы коррозионной среды связывают катионы Fe(III) в комплексные соединения, снижая их окислительную способность. При анализе влияния конвекции среды на электродные реакции низкоуглеродистой стали выявлены некоторые их особенности: на стали реализуются парциальные реакции анодной ионизации железа, катодного восстановления H+ и катионов Fe(III). Две первых реакции характеризуются кинетическим контролем, а последняя – диффузионным. Показано, что ускоряющее действие Fe2(SO4)3 на коррозию стали в растворе H2SO4 преимущественно обусловлено восстановлением Fe(III); напротив, в ингибированной кислоте ускоряющее действие катионов Fe(III) влияет на все парциальные реакции стали. В ингибированных растворах выявлено существенное снижение видимого коэффициента диффузии катионов Fe(III) (DFe(III)) по сравнению с неингибированной средой. Данные по коррозии низкоуглеродистой стали в исследуемых средах, полученные по массопотере металлических образцов, находятся в полном соответствии с результатами исследования парциальных электродных реакций. Отмечено ускоряющее действие Fe2(SO4)3 на коррозию стали в растворах H2SO4, в том числе в присутствии ингибиторов; в этих средах коррозия стали определяется конвективным фактором, что характерно для процессов с диффузионным контролем. Эмпирическая зависимость скорости коррозии стали от интенсивности потока среды описана линейной зависимостью k = kst + λw1/2, где kst – скорость коррозии стали в статической среде, w – частота вращения пропеллерной мешалки, создающей поток среды, λ – эмпирический коэффициент.
Об авторах
Я. Г. Авдеев
Институт физической химии и электрохимии им. А.Н. Фрумкина РАН
Email: avdeevavdeev@mail.ru
Россия, 119071, Москва
А. В. Панова
Институт физической химии и электрохимии им. А.Н. Фрумкина РАН
Email: avdeevavdeev@mail.ru
Россия, 119071, Москва
Т. Э. Андреева
Институт физической химии и электрохимии им. А.Н. Фрумкина РАН
Автор, ответственный за переписку.
Email: avdeevavdeev@mail.ru
Россия, 119071, Москва
Список литературы
- Barthel J., Deiss R. // Materials and Corrosion. 2021. V. 72. № 3. P. 434. https://doi.org/10.1002/maco.202011977
- Huang H.-H. // Metals. V. 6. № 1. 23. https://doi.org/10.3390/met6010023
- Perry S.C., Gateman S.M., Stephens L.I. et al. // J. Electrochem. Soc. 2019. V. 166. № 11. P. C3186–C3192.
- Pourbaix M. Atlas of Electrochemical Equilibria in Aqueous Solutions. Second English Edition. Houston: National Association of Corrosion Engineers, 1974. P. 307–321.
- Wermink W.N., Versteeg G.F. // Ind. Eng. Chem. Res. 2017. V. 56. № 14. P. 3775. https://doi.org/10.1021/acs.iecr.6b04606
- Wermink W.N., Versteeg G.F. //Ibid. 2017. V. 56. № 14. P. 3789. https://doi.org/10.1021/acs.iecr.6b04641
- Захаров В.А., Сонгина О.А., Бектурова Г.Б. // Журн. аналит. хим. 1976. Т. 31. № 11. С. 2212.
- Avdeev Ya.G., Andreeva T.E., Panova A.V., Kuznetsov Yu.I. // Int. J. Corros. Scale Inhib. 2019. V. 8. № 1. P. 139. https://doi.org/10.17675/2305-6894-2019-8-1-12
- Кеше Г. Коррозия металлов. Физико-химические принципы и актуальные проблемы / Пер. с нем. под. ред. акад. Я.М. Колотыркина. М.: Металлургия, 1984. С. 76–95, 104–117, 121–132.
- Антропов Л.И. Теоретическая электрохимия. М.: Высшая школа, 1965. С. 348–380.
- Bockris J.O'M., Drazic D., Despic A.R. // Electrochim. Acta. 1961. V. 4. № 2–4. P. 325. https://doi.org/10.1016/0013-4686(61)80026-1
- Florianovich G.M., Sokolova L.A., Kolotyrkin Ya.M. // Ibid. 1967. V. 12. № 7. P. 879. https://doi.org/10.1016/0013-4686(67)80124-5
- Авдеев Я.Г., Андреева Т.Э. // Журн. физ. химии. 2021. Т. 95. № 6. С. 885. https://doi.org/10.31857/S0044453721060029
- Авдеев Я.Г., Андреева Т.Э. // Там же. 2022. Т. 96. № 2. С. 281. https://doi.org/10.31857/S0044453722020030
- Techniques of Electrochemistry: Electrode Processes. V. 1 / Ed. by E. Yeager and A.J. Salkind. New York: Published by John Wiley & Sons Inc, 1972. 592 p.
- Лурье Ю.Ю. Справочник по аналитической химии. М.: Химия, 1971. С. 255–265.
- Casas J.M., Crisóstomo G., Cifuentes L. // Hydrometallurgy. 2005. V. 80. № 4. P. 254. https://doi.org/10.1016/j.hydromet.2005.07.012
- Yue G., Zhao L., Olvera O.G., Asselin E. // Ibid. 2014. V. 147–148. P. 196. https://doi.org/10.1016/j.hydromet.2014.05.008
- Whiteker R.A., Davidson N. // J. Am. Chem. Soc. 1953. V. 75. № 13. P. 3081. https://doi.org/10.1021/ja01109a010
- Sobron P., Rull F., Sobron F. et al. // Spectrochim. Acta. A. Mol. Biomol. Spectrosc. 2007. V. 68. № 4. P. 1138. https://doi.org/10.1016/j.saa.2007.06.044
- Majzlan J., Myneni S.C.B. // Environ. Sci. Technol. 2005. V. 39. P. 188. https://doi.org/10.1021/es049664p
- Плэмбек Дж. Электрохимические методы анализа. Пер. с англ. М.: Мир, 1985. 496 с.
- Решетников С.М. Ингибиторы кислотной коррозии металлов. Л.: Химия, 1986. 144 с.
- Плесков Ю.В., Филиновский В.Ю. Вращающийся дисковый электрод. М.: Наука, 1972. 344 с.
- Du C., Tan Q., Yin G., Zhang J. / In Rotating Electrode Methods and Oxygen Reduction Electrocatalysts. Ed. by W. Xing, G. Yin, J. Zhang, Elsevier B.V. All Rights Reserved. 2014. P. 171. https://doi.org/10.1016/B978-0-444-63278-4.00005-7
- Jia Z., Yin G., Zhang J. / Ibid. 2014. P. 199. https://doi.org/10.1016/B978-0-444-63278-4.00006-9
- Краткий справочник физико-химических величин / Под ред. К.П. Мищенко и А.А. Равделя. Л.: Химия, 1967. С. 103.
- Umoren S.A., Solomon M.M. // J. Ind. and Engin. Chem. 2015. V. 21. P. 81. https://doi.org/10.1016/j.jiec.2014.09.033
- Антропов Л.И., Погребова И.С. Связь между адсорбцией органических соединений и их влиянием на коррозию металлов в кислых средах / Коррозия и защита от коррозии. Т. 2 (Итоги науки и техники). М.: ВИНИТИ, 1973. С. 27–112.
- Кузнецов Ю.И., Андреев Н.Н., Маршаков А.И. // Журн. физ. химии. 2020. Т. 94. № 3. С. 381. https://doi.org/10.31857/S0044453720030152
Дополнительные файлы










