Простая высокоточная алгебраическая модель фазовых переходов на квадратных, гексагональных и треугольных плоских гранях
- Авторы: Вотяков Е.В.1, Товбин Ю.К.2
-
Учреждения:
- The Cyprus Institute, Energy Environment and Water Research Center
- Институт общей и неорганической химии им. Н.С. Курнакова РАН
- Выпуск: Том 97, № 6 (2023)
- Страницы: 763-772
- Раздел: ПРОБЛЕМЫ, ТЕНДЕНЦИИ РАЗВИТИЯ И АКТУАЛЬНЫЕ ЗАДАЧИ ФИЗИЧЕСКОЙ ХИМИИ
- Статья получена: 15.10.2023
- Статья опубликована: 01.06.2023
- URL: https://journal-vniispk.ru/0044-4537/article/view/136605
- DOI: https://doi.org/10.31857/S0044453723060298
- EDN: https://elibrary.ru/KDDUZX
- ID: 136605
Цитировать
Полный текст
Аннотация
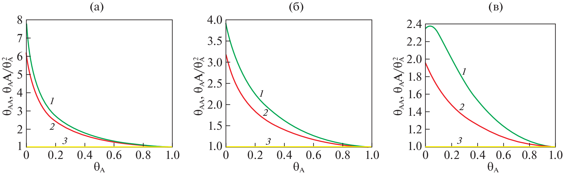
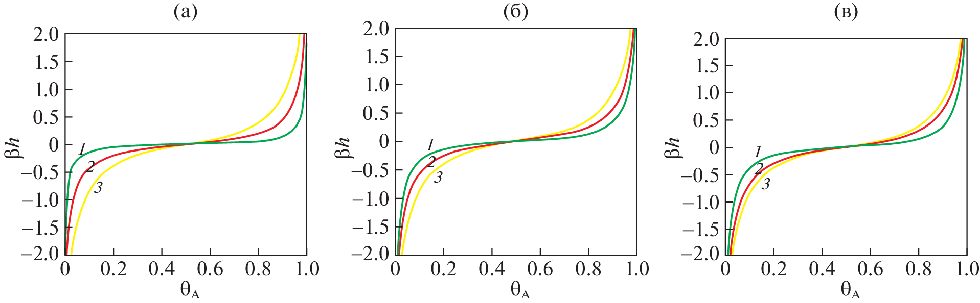
Предложена простая высокоточная алгебраическая модель для описания фазовых переходов на плоских гранях квадратной, гексагональной и треугольной структур. Модель выведена из кластерного вариационного метода в рамках модели Изинга и выражена в аналитической форме за счет выбора базисного кластера замкнутой формы минимального размера для каждой из структур граней с числом ближайших соседей z = 3 (треугольная), 4 (квадратная), 6 (гексагональная). Установлено,что новая модель обеспечивает в 3 раза более точные по сравнению с предыдущими аналитическими выражениями уравнения для молекулярных распределений частиц в модели Изинга; аналитические уравнения модели позволяют проводить прямые расчеты молекулярных распределений (ранее для получения результатов такой же точности использовались только итерационные численные методы). Продемонстрировано влияние уточнений учета эффектов корреляции в новой модели по сравнению с традиционными приближениями среднего поля и квазихимическом (КХП) при расчете изотерм, парных и кластерных функций распределений. Получены аналитические выражения для критической температуры фазового перехода типа расслаивания.
Об авторах
Е. В. Вотяков
The Cyprus Institute, Energy Environment and Water Research Center
Email: karaul@gmail.com
Cyprus, 2121, Nicosia
Ю. К. Товбин
Институт общей и неорганической химии им. Н.С. Курнакова РАН
Автор, ответственный за переписку.
Email: karaul@gmail.com
Россия, 119991, Москва
Список литературы
- Фаулер Р., Гуггенгейм Э. Статистическая термодинамика, М.: Изд-во иностр. лит., 1949.
- Гиршфельдер Дж., Кертис Ч., Берд Р. Молекулярная теория газов и жидкостей. М.: Изд-во иностр. лит., 1961. 929 с.
- Мелвин-Хьюз Е.А. Физическая химия, М.: Изд-во иностр. лит., 1962. Кн. 2. 1148 с.
- Киреев В.А. Курс физической химии. М.: Химия, 1975. 776 с.
- Кривоглаз А.Н., Смирнов А.А. Теория упорядочивающихся сплавов. М.: ГИФМЛ, 1958. 388 с.
- Стенли Г. Фазовые переходы и критические явления. М.: Мир, 1973. 400 с.
- Хачарутян А.Г. Теория фазовых превращений и структуры твердых растворов. М.: Наука, 1974. 265 с.
- Паташинский А.З., Покровский В.П. Флуктуационная теория фазовых переходов. М.: Наука, 1975. 256 с.
- Ма Ш. Современная теория критических явлений. М.: Мир, 1980.
- Onsager L. // Phys Rev. 1944. V. 65. P. 117.
- Domb C. // Proc. Roy. Soc. 1949. V. A196. P. 36.
- Domb C. // Adv. Phys. 1960. V. 9. P. 149.
- Хилл Т. Статистическая механика. М.: Изд-во иностр. лит., 1960. 485 с.
- Хуанг К. Статистическая механика. М.: Мир, 1966. 520 с.
- Вотяков Е.В., Товбин Ю.К. // Журн. физ. химии. 2022. Т. 96. № 3. С. 339.
- Nicolson D., Parsonage N.G. Computer Simulation and The Statistical Mechanics of Adsorption. N.Y.: Acad. Press, 1982.
- Методы Монте-Карло в статистической физике / под ред. К.М. Биндера. М.: Мир, 1982. 400 с.
- Kikuchi R. // Phys. Rev. 1951. V. 81. P. 988.
- Kikuchi R. // J. Chem. Phys. 1951. V. 19. P. 1230.
- Kikuchi R., Brush S.G. // J. Chem. Phys. 1967. V. 47. P. 195.
- Barker J.A. //Proc. Roy. Soc. London. A. 1953. V. 216. P. 45.
- Hijmans J., de Bour J. // Physica. 1955. V. 21. P. 471.
- Sanchez J.M., de Fontaine D. // Phys. Rev. B. 1978. V. 17. 2926.
- Sanchez F., Ducastelle F., Gratias D. // Physica A. 1984. V. 128. P. 334.
- Theory and Applications of the Cluster Variation and Path Probability Methods / Eds. J. L. Moran-Lopez and J. M. Sanchez/ New York and London: Plenum Press, 1996. 420 p.
- Rosengren A., Lapinskas S. // Phys. Rev. 1993. V. 47. P. 2643.
- Vinograd V.L., Putnis A. // Physics and Chemistry of Minerals. 1998. V. 26. P. 135.
- Вотяков Е.В., Товбин Ю.К. // Журн. физ. химии. 2023. Т. 97. № 5. C. 693.
- Baxter R. Exactly Solved Models in Statistical Mechanics. N.Y.: Acad. Press, 1982.
- Товбин Ю.К. Теория физико-химических процессов на границе газ–твердое тело, М.: Наука, 1990. 288 с.
Дополнительные файлы







