Structure of the Nearest Environment of Ions in Aqueous Solutions of Cadmium Chloride and Nitrate According to the Data of X-ray Diffraction Analysis
- Authors: Smirnov P.R.1, Grechin O.V.1,2
-
Affiliations:
- Krestov Institute of Solution Chemistry of Russian Academy of Sciences
- Ivanovo State University of Chemistry and Technology
- Issue: Vol 97, No 6 (2023)
- Pages: 805-811
- Section: PHYSICAL CHEMISTRY OF SOLUTIONS
- Submitted: 15.10.2023
- Published: 01.06.2023
- URL: https://journal-vniispk.ru/0044-4537/article/view/136616
- DOI: https://doi.org/10.31857/S0044453723060250
- EDN: https://elibrary.ru/KCWLPM
- ID: 136616
Cite item
Full Text
Abstract
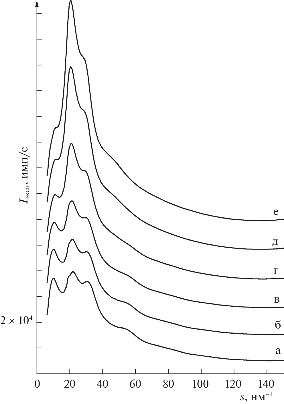
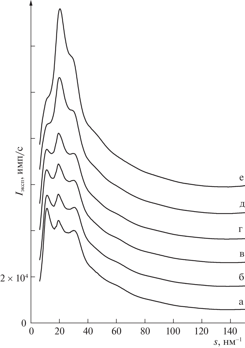
Quantitative characteristics of the nearest environment of ions in aqueous solutions of cadmium chloride and nitrate are determined by X-ray diffraction analysis in a wide range of concentrations under standard conditions. It is found that, in the studied systems, the coordination number of the cation increases with dilution from 4 to 6. The structure of solutions in the entire studied range of concentrations is determined by ionic associates of the contact type. In solutions of cadmium nitrate, the nitrate ion is monodentately coordinated to the cation.
About the authors
P. R. Smirnov
Krestov Institute of Solution Chemistry of Russian Academy of Sciences
Email: prs@isuct.ru
153045, Ivanovo, Russia
O. V, Grechin
Krestov Institute of Solution Chemistry of Russian Academy of Sciences; Ivanovo State University of Chemistry and Technology
Author for correspondence.
Email: prs@isuct.ru
153045, Ivanovo, Russia; 153000, Ivanovo, Russia
References
- Caminiti R. // J. Chem. Phys. 1982. V. 77. № 11. P. 5682. https://doi.org/10.1063/1.443774
- Caminiti R., Cucca P., Radnai T. // J. Phys. Chem. 1984. V. 88. № 11. P. 2382. https://doi.org/10.1021/j150655a040
- Rudolph W., Irmer G. // J. Sol. Chem. 1994. V. 23. № 6. P. 663.
- Rudolph W.W. // J. Chem. Soc. Faraday Trans. 1998. V. 94. № 4. P. 489. https://doi.org/10.1039/A705212J
- Sadoc A., Lagarde P., Vlaic G. // J. Phys. C: Solid State Phys. 1985. V. 18. № 1. P. 23.
- Rudolph W.W., Pye C.C. // J. Phys. Chem. 1998. V. 102. № 18. P. 3564. https://doi.org/10.1021/jp973037n
- Kritayakornupong C., Plankensteiner K., Rode B.M. // J. Phys. Chem. 2003. V. 107. № 48. P. 10330. https://doi.org/10.1021/jp0354548
- de-Araujo A.S., Sonoda M.T., Piro O.E. et al. // J. Phys. Chem. B. 2007. V. 111. № 9. P. 2219. https://doi.org/10.1021/jp064835t
- Chillemi G., Barone V., D’Angelo P. et al. // J. Phys. Chem. 2005. V. 109. № 18. P. 9186. https://doi.org/10.1021/jp0504625
- D’Angelo P., Chillemi G., Barone V. et al. // Ibid. 2005. V. 109. № 18. P. 9178. https://doi.org/10.1021/jp050460k
- D’Angelo P., Migliorati V., Mancini G. et al. // J. Phys. Chem. A. 2008. V. 112. № 46. P. 11833. https://doi.org/10.1021/jp806098r
- Yuan X., Zhang C. // Comput. Theor. Chem. 2020. V. 1171. P. 112666. https://doi.org/1016/j.comptc.2019.112666
- Смирнов П.Р., Гречин О.В. // Журн. физ. химии. 2017. Т. 91. № 3. С. 474. Russ. J. Phys. Chem. A. 2017. V. 91. № 3. P. 517. https://doi.org/10.1134/S0036024417030268
- Смирнов П.Р., Гречин О.В. // Там же. 2019. Т. 93. № 11. С. 1709. Russ. J. Phys. Chem. A. 2019. V. 93. № 11. P. 2213. https://doi.org/10.1134/S0036024419110281
- Novotny P., Söhnel O. // J. Chem. Eng. Data. 1988. V. 33. № 1. P. 49.
- OriginPro 7.5. Copyright 1991–2003. OriginLab Corporation. USA.
- Johansson G., Sandstrom M. // Chem. Scripta. 1973. V. 4. № 5. P. 195.
- Bazarkina E.F., Pokrovski G.S., Zotov A.V. et al. // Chem. Geology. 2010. V. 276. № 1–2. P. 1. https://doi.org/10.1016/j.chemgeo.2010.03.006
Supplementary files






