Механизм термолиза перилентетракарбоксилатов магния
- Авторы: Найферт С.А.1, Жеребцов Д.А.1, Учаев Д.А.1, Морозов Р.С.1, Смолякова К.Р.1, Орлова Е.М.1, Панькова А.А.1, Шарова А.Л.1
-
Учреждения:
- ФГАОУ ВО Южно-Уральский государственный университет (национальный исследовательский университет)
- Выпуск: Том 97, № 6 (2023)
- Страницы: 850-859
- Раздел: ФИЗИЧЕСКАЯ ХИМИЯ НАНОКЛАСТЕРОВ, СУПРАМОЛЕКУЛЯРНЫХ СТРУКТУР И НАНОМАТЕРИАЛОВ
- Статья получена: 15.10.2023
- Статья опубликована: 01.06.2023
- URL: https://journal-vniispk.ru/0044-4537/article/view/136627
- DOI: https://doi.org/10.31857/S0044453723060201
- EDN: https://elibrary.ru/KCONVW
- ID: 136627
Цитировать
Полный текст
Аннотация
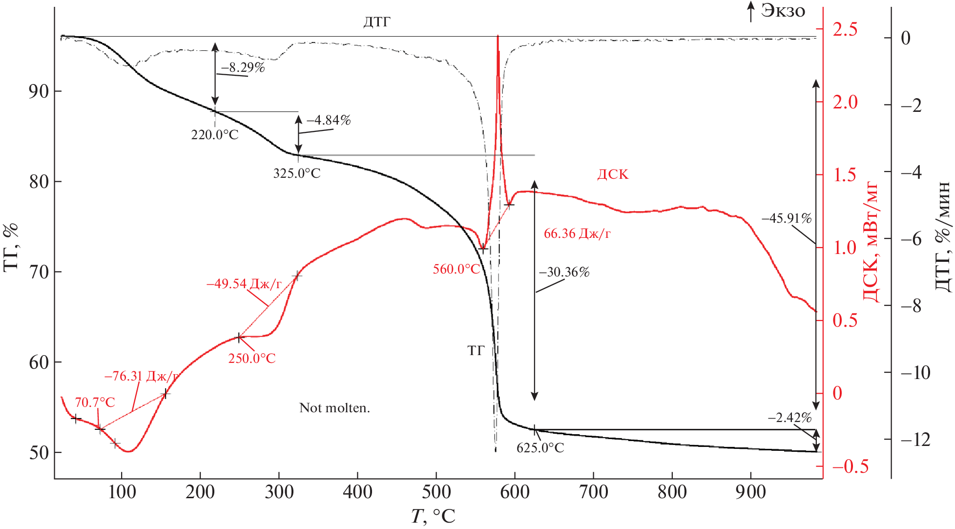
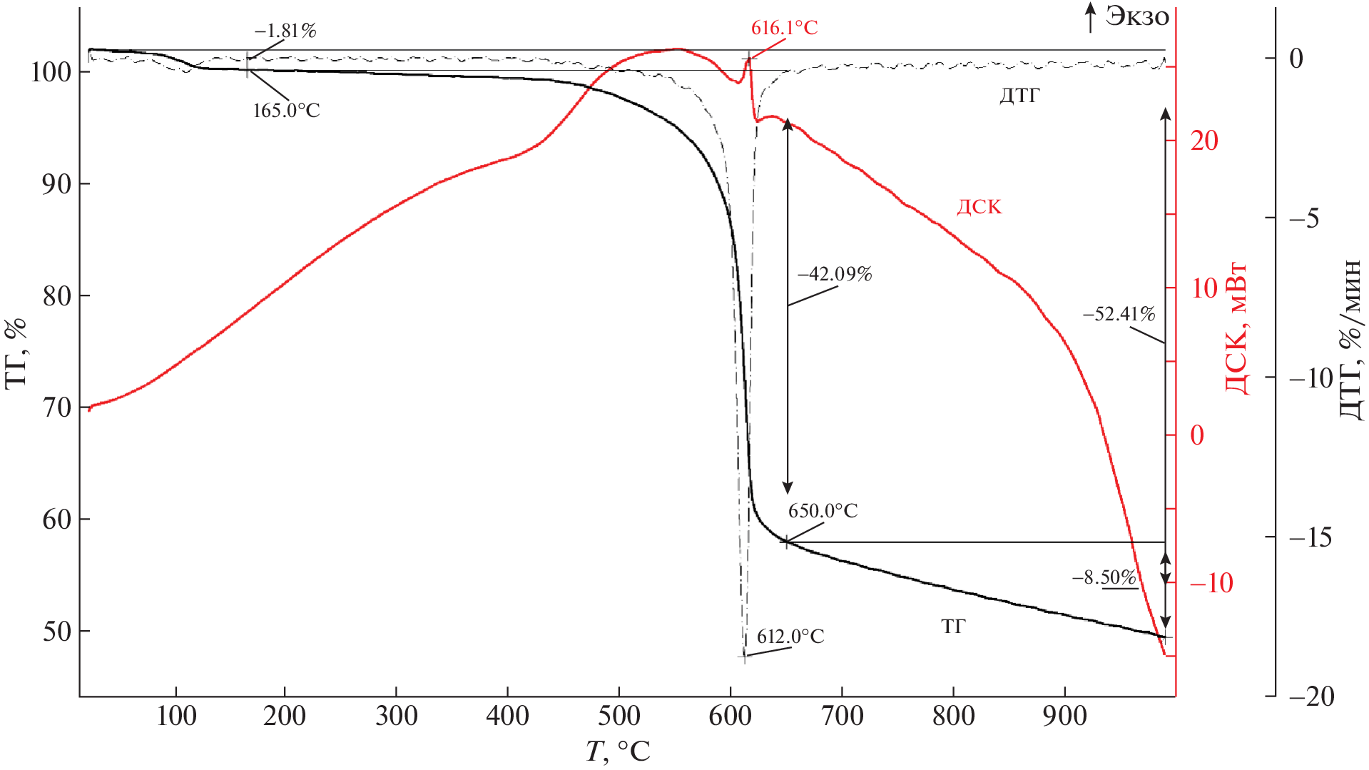
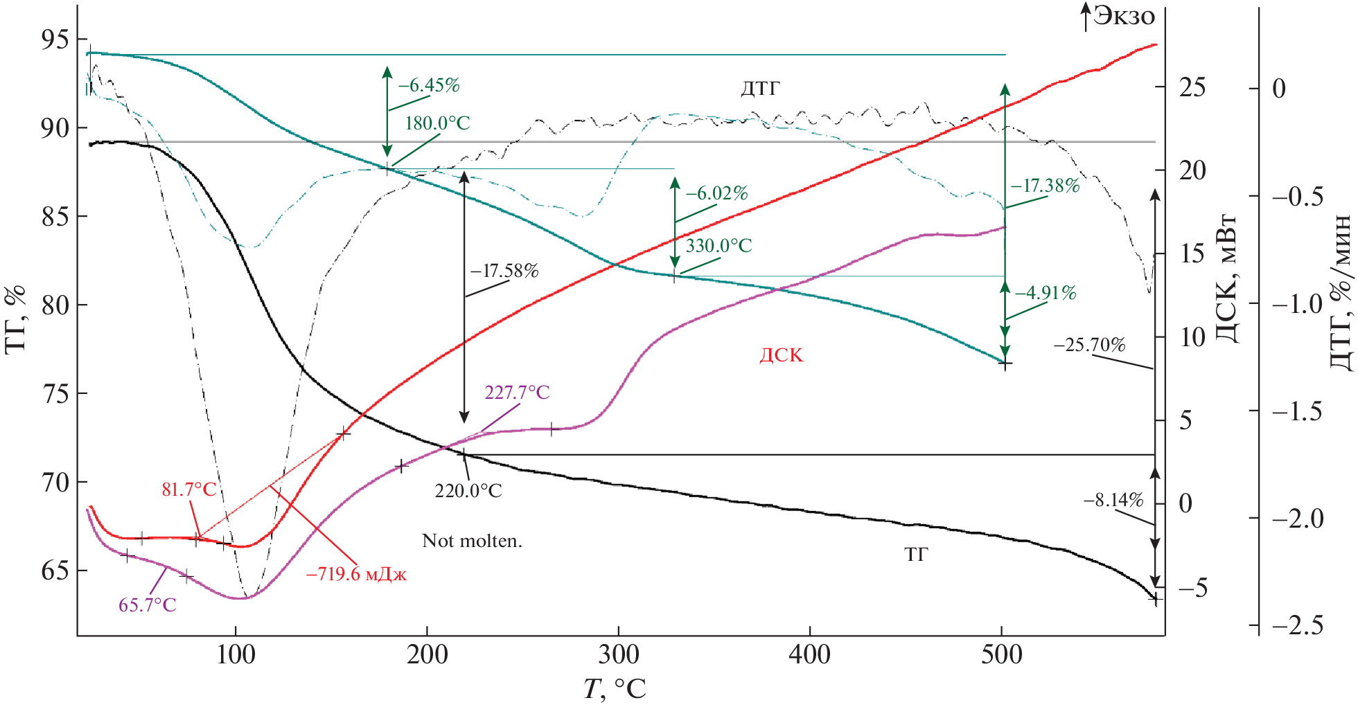
При комнатной температуре и при кипении водного раствора в реакции ионного обмена получены соответственно черно-красная и оранжевая формы перилен-3,4,9,10-тетракарбоксилата магния. При нагревании обеих форм в аргоне до 500°С они обратимо теряют 19–27 мас. % кристаллизационной воды, а продукты приобретают черный цвет. Результаты рентгенофазового анализа указывают при этом на сохранение слоистой структуры, что подтвердила просвечивающая электронная микроскопия. Выдержка во влажной атмосфере приводит к регидратации и восстановлению исходной структуры. Термолиз в аргоне до 1000°С приводит к образованию композита из наночастиц MgO в матрице из пористого стеклоуглерода. Устойчивость перилентетракарбоксилатов до 500°С делает их перспективными кандидатами для получения металл-органических каркасов.
Ключевые слова
Об авторах
С. А. Найферт
ФГАОУ ВО Южно-Уральский государственный университет (национальный исследовательский университет)
Email: zherebtsov_da@yahoo.com
Россия, 454080, Челябинск
Д. А. Жеребцов
ФГАОУ ВО Южно-Уральский государственный университет (национальный исследовательский университет)
Email: zherebtsov_da@yahoo.com
Россия, 454080, Челябинск
Д. А. Учаев
ФГАОУ ВО Южно-Уральский государственный университет (национальный исследовательский университет)
Email: zherebtsov_da@yahoo.com
Россия, 454080, Челябинск
Р. С. Морозов
ФГАОУ ВО Южно-Уральский государственный университет (национальный исследовательский университет)
Email: zherebtsov_da@yahoo.com
Россия, 454080, Челябинск
К. Р. Смолякова
ФГАОУ ВО Южно-Уральский государственный университет (национальный исследовательский университет)
Email: zherebtsov_da@yahoo.com
Россия, 454080, Челябинск
Е. М. Орлова
ФГАОУ ВО Южно-Уральский государственный университет (национальный исследовательский университет)
Email: zherebtsov_da@yahoo.com
Россия, 454080, Челябинск
А. А. Панькова
ФГАОУ ВО Южно-Уральский государственный университет (национальный исследовательский университет)
Email: zherebtsov_da@yahoo.com
Россия, 454080, Челябинск
А. Л. Шарова
ФГАОУ ВО Южно-Уральский государственный университет (национальный исследовательский университет)
Автор, ответственный за переписку.
Email: zherebtsov_da@yahoo.com
Россия, 454080, Челябинск
Список литературы
- Кустов Л.М., Куделин А.И., Исаева В.И. // Журн. физ. химии. 2019. Т. 93. № 12. С. 1763. https://doi.org/10.1134/S004445371912015X
- Zulys A., Asrianti D., Gunlazuardi J. // The 8th International Conference of the Indonesian Chemical Society (ICICS) 2019. AIP Conf. Proc. 2019. V. 2243 (1): 020035. https://doi.org/10.1063/5.0005001.
- Sondermann L., Jiang W., Shviro M. et al. // Molecules. 2022. V. 27. P. 1241. https://doi.org/10.3390/molecules27041241
- Sun X., Yu Q., Zhang F. et al. // Catal. Sci. Technol. 2016. V. 6. P. 3840–3844. https://doi.org/10.1039/C5CY01716E
- Adawiah A., Yudhi M.D.L., Zulys A. // J. Kimia Valensi. 2021. V. 7 (2). P. 129. https://doi.org/10.15408/jkv.v7i2.22267
- Mo F., Han Q., Chen M. et al. // Nanoscale. 2021. V. 13. P. 16244. https://doi.org/10.1039/D1NR03300J
- Wu H.B., Lou X.W. // Sci. Adv. 2017. V. 3. P. 9252. https://doi.org/10.1126/sciadv.aap9252
- Полозов М.А., Найферт С.А., Полозова В.В. и др. // Вестн. Южно-Уральского гос. ун-та. Серия: Химия. 2019. Т. 11. № 2. С. 39. https://doi.org/10.14529/chem190204
- Сактхидхаран Ч.П., Полозов М.А., Полозова В.В. и др. // Журн. физ. химии. 2020. Т. 94. № 7. С. 981. https://doi.org/10.31857/S0044453720070250
- Толстогузов Д.С., Жеребцов Д.А., Груба О.Н. и др. // Там же. 2022. Т. 96. № 1. С. 101. https://doi.org/10.31857/S0044453722010241
- Pierson H.O. Handbook of Carbon, Graphite, Diamond and Fullerene: Properties, Processing and Applications. New Jersey: Noyes Publications, 1993. 399 c.
- Жеребцов Д.А., Найферт С.А., Полозов М.А. и др. // Журн. физ. химии. 2021. Т. 95. № 12. С. 1882. https://doi.org/10.31857/S0044453721120232
- Majumder M., Sheath P., Mardel J.I. et al. // Chem. Mater. 2012. V. 24. P. 4647. https://doi.org/10.1021/cm301726k
- Zhao J., Li M., Sun J. et al. // Chem. Eur. J. 2012. V. 18. P. 3163. https://doi.org/10.1002/chem.201103415
- Sikdar N., Dutta D., Haldar R. et al. // J. Phys. Chem. C. 2016. V. 120. 25. P. 13622. https://doi.org/10.1021/acs.jpcc.6b04347
- Huang M., Schilde U., Kumke M. et al. // J. Am. Chem. Soc. 2010. V. 132. 11. P. 3700–3707. https://doi.org/10.1021/ja906667x
- Ronfeldt P., Reinsch H., Poschmann M.P.M. et al. // Cryst. Growth Des. 2020. V. 20. 7. P. 4686–4694. https://doi.org/10.1021/acs.cgd.0c00478
- Джардималиева Г.И., Помогайло А.Д. Мономерные и полимерные карбоксилаты металлов. М.: Физматлит, 2009. 400 с.
Дополнительные файлы













