Сравнительные исследования наночастиц селена, стабилизированных полиэлектролитами разного знака
- Авторы: Валуева С.В.1, Вылегжанина М.Э.1, Безрукова М.А.1, Митусова К.А.1, Боровикова Л.Н.1, Кутин А.А.1, Гаврилова И.И.1, Золотова Ю.И.1, Назарова О.В.1, Панарин Е.Ф.1
-
Учреждения:
- Институт высокомолекулярных соединений РАН
- Выпуск: Том 97, № 6 (2023)
- Страницы: 871-881
- Раздел: ФИЗИЧЕСКАЯ ХИМИЯ НАНОКЛАСТЕРОВ, СУПРАМОЛЕКУЛЯРНЫХ СТРУКТУР И НАНОМАТЕРИАЛОВ
- Статья получена: 15.10.2023
- Статья опубликована: 01.06.2023
- URL: https://journal-vniispk.ru/0044-4537/article/view/136631
- DOI: https://doi.org/10.31857/S0044453723060286
- EDN: https://elibrary.ru/KDCSWJ
- ID: 136631
Цитировать
Полный текст
Аннотация
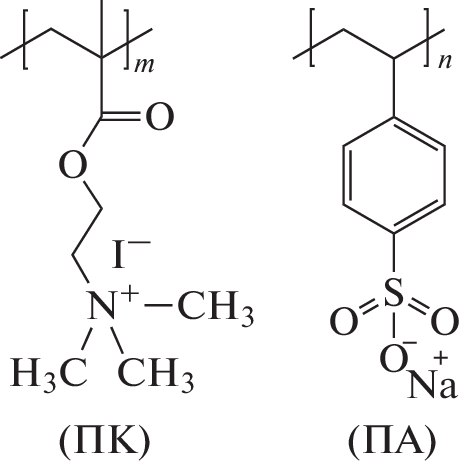
Наночастицы селена (Se0) были стабилизированы водорастворимыми полимерами, содержащими ионогенные группы разного знака: поли-(N,N,N-триметиламмоний)этилметакрилат йодидом (поликатион) и полистиролсульфонатом натрия (полианион). Проведено комплексное сравнительное исследование полученных селенсодержащих нанодисперсий методами УФ-видимой спектроскопии, атомно-силовой и просвечивающей электронной микроскопии, динамического и электрофоретического рассеяния света. Показано влияние знака заряда полимерного стабилизатора на структурно-морфологические, размерные, электрохимические и спектральные характеристики селенсодержащих нанодисперсий.
Ключевые слова
Об авторах
С. В. Валуева
Институт высокомолекулярных соединений РАН
Email: svalu67@mail.ru
Россия, Санкт-Петербург
М. Э. Вылегжанина
Институт высокомолекулярных соединений РАН
Email: svalu67@mail.ru
Россия, Санкт-Петербург
М. А. Безрукова
Институт высокомолекулярных соединений РАН
Email: svalu67@mail.ru
Россия, Санкт-Петербург
К. А. Митусова
Институт высокомолекулярных соединений РАН
Email: svalu67@mail.ru
Россия, Санкт-Петербург
Л. Н. Боровикова
Институт высокомолекулярных соединений РАН
Email: svalu67@mail.ru
Россия, Санкт-Петербург
А. А. Кутин
Институт высокомолекулярных соединений РАН
Email: svalu67@mail.ru
Россия, Санкт-Петербург
И. И. Гаврилова
Институт высокомолекулярных соединений РАН
Email: svalu67@mail.ru
Россия, Санкт-Петербург
Ю. И. Золотова
Институт высокомолекулярных соединений РАН
Email: svalu67@mail.ru
Россия, Санкт-Петербург
О. В. Назарова
Институт высокомолекулярных соединений РАН
Email: svalu67@mail.ru
Россия, Санкт-Петербург
Е. Ф. Панарин
Институт высокомолекулярных соединений РАН
Автор, ответственный за переписку.
Email: svalu67@mail.ru
Россия, Санкт-Петербург
Список литературы
- Валуева С.В., Боровикова Л.Н., Коренева В.В. и др. // Журн. физ. химии. 2007. Т. 81. № 1. С. 1329. https://doi.org/10.31857/S0044453720080294
- Валуева С.В., Суханова Т.Е., Матвеева Н.А. и др. // Сб. статей Второй междунар. научно-практической конф. “Высокие технологии, фундаментальные и прикладные исследования в физиологии и медицине” (PhysioMedi). 26–28 октября 2011. Санкт-Петербург, Россия. С. 130.
- Валуева С.В., Азизбекян С.Г., Кучинский М.П. и др.// Нанотехника. 2012. Т. 32. № 4. С. 53.
- Valueva S.V. // Sciences of Europe. 2018. V. 1. № 32. P. 46.
- Валуева С.В., Боровикова Л.Н., Вылегжанина М.Э. и др. // Матер. междунар. научно-практической конференции “Противоопухолевые препараты”. 17–19 мая 2012. Минск, Республика Беларусь, с. 14 / Онкологический журнал (Общественного объединения “Белорусское общество онкологов”). 2012. Т. 6. № 2. С. 25.
- Wang Y., Hang H., Yan L. // Colloids and Surfaces B: Biointerfaces. 2016. V. 140. P. 297. https://doi.org/10.1016/j.colsurfb.2016.02.025
- Amit Khurana, Sravani Tekula, Mohd Aslam Saifi et al. // Biomedicine and Pharmacotherapy. 2019. V. 111. P. 802. https://doi.org/10.1016/j.biopha.2018.12.146
- Nath Dipak, Kaur Loveleen, Sohal Harvinder Singh et al. // Anti-cancer agents in medicinal chemistry. 2022. V. 22. № 15. P. 2715. https://doi.org/10.2174/1871520622666220215122756
- Валуева С.В., Боровикова Л.Н. // Журн. физ. химии. 2019. Т. 93. № 1. С. 113. https://doi.org/10.1134/S0044453719010308
- Валуева С.В., Боровикова Л.Н., Кутин А.А., Плющенко А.В. // Там же. 2019. Т. 93. № 2. С. 269. https://doi.org/10.1134/S0044453719020304
- Валуева С.В., Вылегжанина М.Э., Боровикова Л.Н. и др. // Там же. 2020. Т. 94. № 8. С. 1248. https://doi.org/10.31857/S004445372008029
- Valueva S.V. and Borovikova L.N. Self-Organization and Morphological Characteristics of the Selenium Containing Nanostructures on the Base of Strong Polyacids. In book: “The Delivery of Nanoparticles”. Chapter 16. In Tech. 2012. 540 pages P. 333. http://www.intechopen.com/books/the-delivery-of-nanoparticles/self-organization-and-morphological-characteristics-of-the-selenium-containing-nanostructures-on-the.
- Валуева С.В., Вылегжанина М.Э., Алексеева П.Е., Суханова Т.Е. // ЖТФ. 2018. Т. 88. Вып. 9. С. 1290. https://doi.org/. 2018.09.46411.2585https://doi.org/10.21883/JTF
- Sun H., Gao Z., Yang L., Gao L. // Collod Polym Sci. 2010. V. 288. P. 1713. https://doi.org/10.1007/s.00396-010-2290-y
- Ishii T., Otsuka H., Kataoka K., Nagasaki Y. // Langmuir. 2004. V. 20. P. 561.https://doi.org/10.1021/la.035653i
- Slita A.V., Kasyanenko N.A., Nazarova O.V. et al. // J. Biotechnology. 2007. V. 127. № 4. P. 679. https://doi.org/10.1016/j.jbiotec.2006.07.016
- Lim D.W., Yeom Y.I., Park T.G.// Bioconjugate. Chem. 2000. V. 11. № 5. P. 688. https://doi.org/10.1021/bc000014u
- Van de Wetering P., Cherng J.Y., Talsma H. et al. // J. Control. Release. 1998. V. 53. № 1–3. P. 145. https://doi.org/10.1016/s0168-3659(97)00248-4
- Nouri A., Castro R., Kairys V. et al. // J. Mater. Sci: Mater Med. 2012. V. 23. № 12. P. 2967. https://doi.org/10.1007/s10856-012-4753-9
- Anderson R.A., Irvine D.S., Balfour C. et al. // Hum. Reprod. 1998. V. 13. № 4. P. 920.
- Контаров Н.А., Ермакова А.А., Гребенкина Н.С. и др. // Вопр. вирусологии. 2015. Т. 60. № 4. С. 5. ISSN: 0507-4088 eISSN: 2411-2097.
- Некрасова Т.Н., Нестерова Н.А., Фишер А.И. и др. // Докл. АН. Химия, науки о материалах. 2022. Т. 503. С. 16. https://doi.org/10.31857/S2686953522020054
- Tsvetkov V.N. Rigid-Chain Polymers. 1989. Consult. Bureau. Plenum. N.Y. London. 502 p.
- Tsvetkov V.N., Lavrenko P.N., Bushin S.V. // J. Polym. Sci.: Polym. Chem. Ed. 1984. V. 22. № 11. P. 3447. https://doi.org/10.1002/pol.1984.170221160.
- Андреева Л.Н., Бушин С.В., Безрукова М.А. и др. // ЖПХ. 2012. Т. 85. № 3. С. 445.
- Павлов Г.М., Зайцева И.И., Губарева А.С. и др. // Там же. 2006. Т. 79. № 9. С. 1506.
- Nekrasova T.N., Andreeva L.N., Nazarova O.V. et al. // Polymer. 2015. V. 77. P. 246.https://doi.org/10.1016/j.polimer.2015.09.043
- Плющенко А.В. Супрамолекулярные комплексы химотрипсина с наночастицами биогенных элементов (селена и серебра). Дис…. канд. физ.-мат. наук. Санкт-Петербург, 2021. 152 с.
- Гапоненко С.В., Розанов Н.Н., Ивченко Е.Л. и др. Оптика Наноструктур. СПб: Недра, 2005. 326 с.
- Borovikova L.N., Titova A.V., Kipper A.I., Pisarev O.A. // Rus. J. of General Chemistry. 2017. V. 87. № 5. P. 1031. https://doi.org/10.7868/S0044453717090006
- Валуева С.В., Киппер А.И., Любина С.Я. и др.// ВМС. 1992. Т. 34А. № 12. С. 35.
- Sperling R.A., Parak W.J. // Phil. Trans. R. Soc. A. 2010. V. 368. P. 1333. https://doi.org/10.1098/rsta.2009.0273
- Akagi T., Watanabe K., Kim H., Akashi M. // Langmuir. 2010. V. 26. № 4. P. 2406. https://doi.org/10.1021/la902868g
- Elsabahy M., Karen L. // J. Chem. Phys. 2017. V. 147. 020901. https://doi.org/10.1063/1.4990501
- Elsabahy M., Karen L. // Chem. Soc. Rev. 2012. V. 41. № 7. P. 2545. https://doi.org/10.1039/c2cs15327k
- Werner C., König U., Augsburg A. et al. // Colloids Surf A. 1999. V. 159. P. 519.
- Minerick A.R., Ostafin A.E., Chang H.C. // Electrophoresis. 2002. V. 23. P. 2165.https://doi.org/10.1002/c1522-2683(200207)23:14<2165: :AID-ELPS2165>3.0.CO;2-#
- Shim Y., Lee H.J., Lee S., Moon S.H., Cho J. // Env. Sci. Technol. 2002. V. 36. P. 3864. https://doi.org/10.1021/es015880b
- Ross D., Johnson T., Locascio L.E. // Anal Chem. 2001. V. 73. P. 2509. https://doi.org/10.1021/ec001509f
- Werner C., König U., Augsburg A. et al. // Colloids Surf. A. 1999. V. 159. P. 519. https://doi.org/10.1016/S0927-7757(99)00290-3
Дополнительные файлы













