Поверхностное натяжение плоской границы раздела паро-жидкостной системы на двумерной квадратной решетке
- Авторы: Вотяков Е.В.1, Товбин Ю.К.2
-
Учреждения:
- The Cyprus Institute, Energy Environment and Water Research Center
- Институт общей и неорганической химии им. Н.С. Курнакова РАН
- Выпуск: Том 97, № 7 (2023)
- Страницы: 1064-1072
- Раздел: ФИЗИЧЕСКАЯ ХИМИЯ ДИСПЕРСНЫХ СИСТЕМ И ПОВЕРХНОСТНЫХ ЯВЛЕНИЙ
- Статья получена: 15.10.2023
- Статья опубликована: 01.07.2023
- URL: https://journal-vniispk.ru/0044-4537/article/view/136643
- DOI: https://doi.org/10.31857/S0044453723070312
- EDN: https://elibrary.ru/SPIUUQ
- ID: 136643
Цитировать
Полный текст
Аннотация
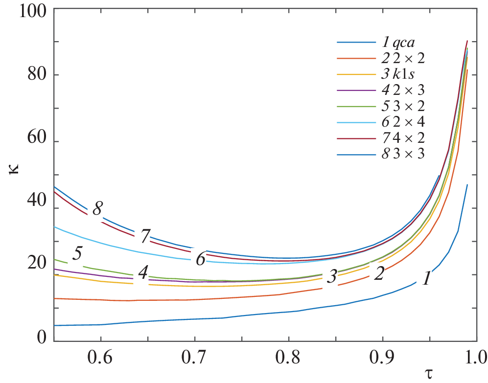
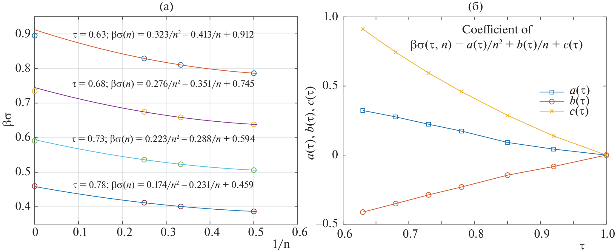
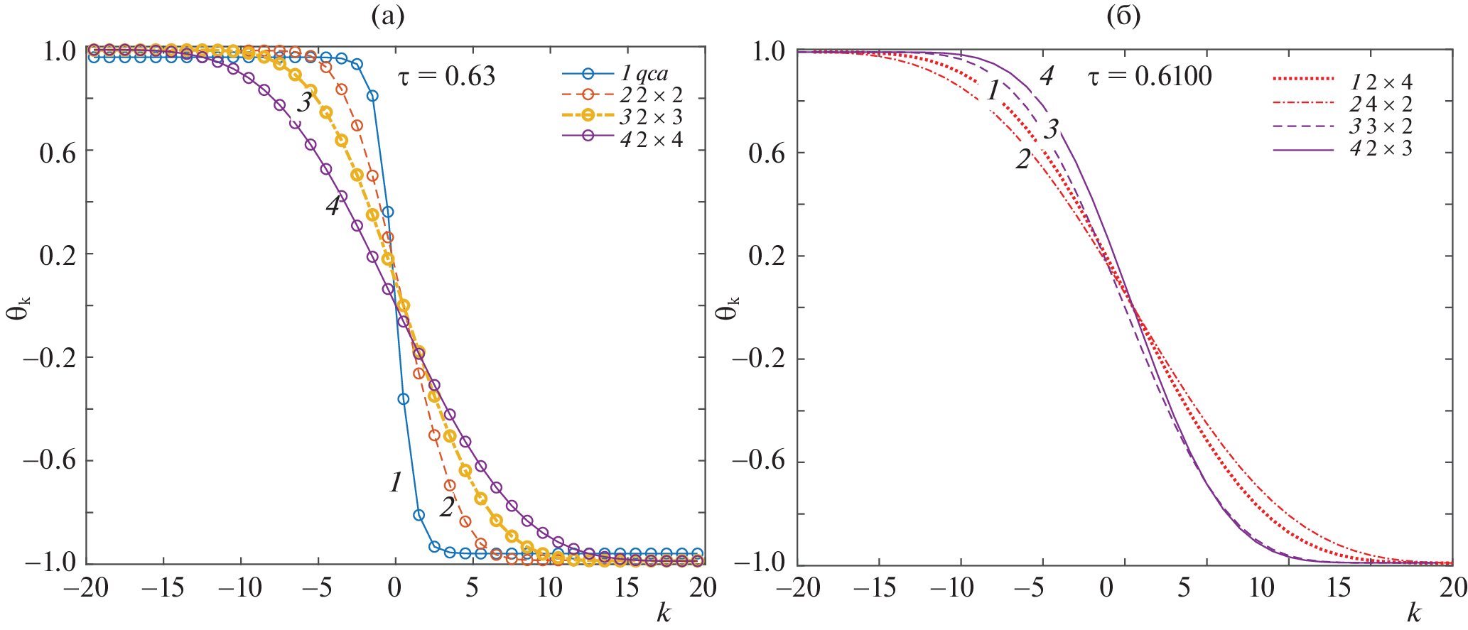
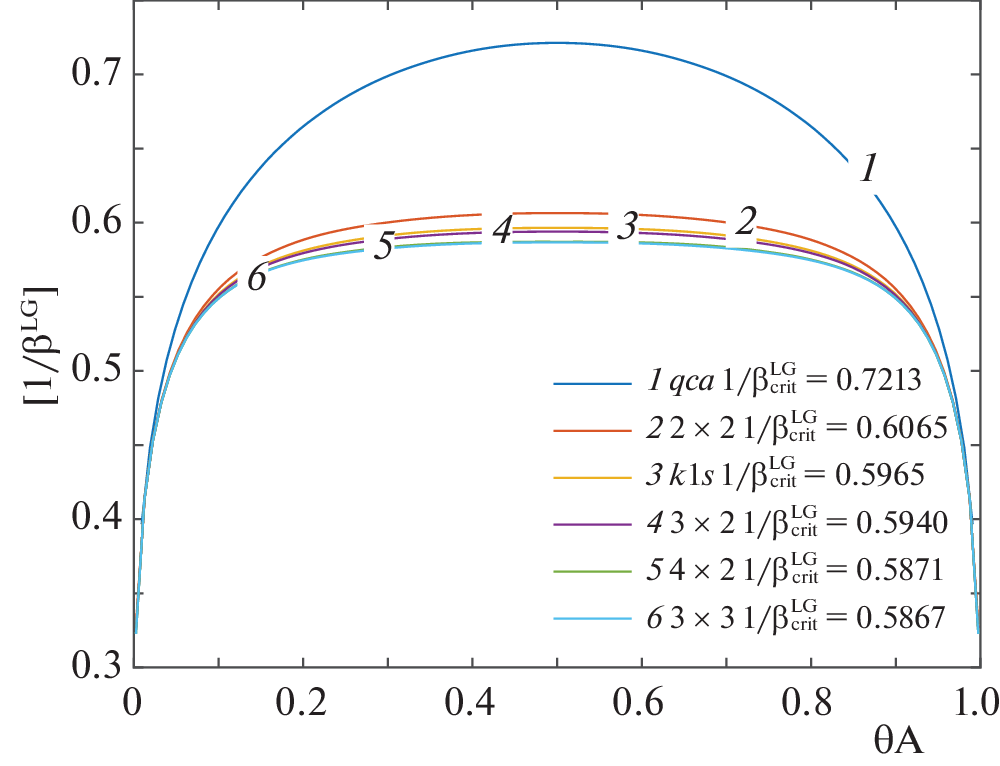
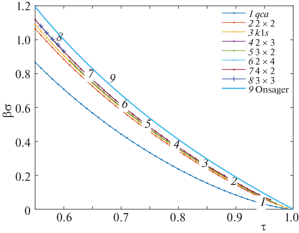
В предыдущей статье авторы представили теоретический подход для построения уравнений на равновесные распределения частиц с помощью неоднородного кластерного вариационного метода (КВМ), который сходится к точному решению по мере увеличения базисного кластера. В данной статье при помощи неоднородного КВМ рассчитано поверхностное натяжение (ПН) плоской границы раздела парожидкостной системы на двумерной квадратной решетке. Переходная область границы раздела фаз представляет собой последовательность мономолекулярных слоев с переменной плотностью флюида. Расчеты проведены для шести типов кластеров разного размера внутри фаз (2 × n, n = 1–4, 3 × 3, и кластер k1s с ближайшими соседями любого центрального узла), а также для восьми кластеров внутри переходной области (2 × 1, 2 × 2, 2 × 3, 3 × 2, 2 × 4, 4 × 2, 3 × 3, k1s), отличающиеся ориентацией кластера по отношению к нормали поверхности. С увеличением размера кластера увеличивается точность описания непрямых корреляций латерально взаимодействующих частиц. Рассчитана температурная зависимость ПН. С понижением температуры, начиная от нулевого значения при критической температуре, получена монотонно увеличивающая величина ПН. Результаты расчета с увеличением размера кластера сходятся к точному решению Онсагера. Обсуждаются отличия в расчетах ПН, выполненные в модели Изинга, с требованиями термодинамики.
Об авторах
Е. В. Вотяков
The Cyprus Institute, Energy Environment and Water Research Center
Email: karaul@gmail.com
Cyprus, 2121, Nicosia, 20 Kavafi Str
Ю. К. Товбин
Институт общей и неорганической химии им. Н.С. Курнакова РАН
Автор, ответственный за переписку.
Email: karaul@gmail.com
Россия, 119991, Москва
Список литературы
- Гиббс Дж. В. Термодинамика. Статистическая механика. М.: Наука, 1982. 584 с.
- Оно С., Кондо С. Молекулярная теория поверхностного натяжения. М.: Изд-во иностр. лит., 1963. Ono S., and Kondo S., 1960, Molecular Theory of Surface Tension in Liquids, Handbuch der Physik, Vol X (Springer).
- Русанов А.И. Фазовые равновесия и поверхностные явления. Л.: Химия, 1967. 388 с.
- Адамсон А. Физическая химия поверхностей. М.: Мир, 1979. 568 с.
- Роулинсон Дж., Уидом Б. Молекулярная теория капиллярности. М.: Мир, 1986.
- Товбин Ю.К. Малые системы и основы термодинамики. М.: Физматлит, 2018. 404 с.
- Товбин Ю.К. // Журн. физ. химии. 2018. Т. 92. № 12. С. 1902.
- Семенченко В.К. Поверхностные явления в металлах и сплавах. М.: 1957.
- Щукин Е.Д., Перцов А.В., Амелина Е.А. Коллоидная химия. М.: Высш. школа, 1992. 416 с.
- Ursell H.D. // Proc. Cambr. Phil. Soc. 1927. V. 23. P. 685.
- Mayer J. E. // J. Chem. Phys. 1937. V. 5. P. 67.
- Майер Дж., Гепперт-Майер М. Статистическая механика. М.: Мир, 1980. (Mayer J.E., Mayer M.G., Statistical Mechanics, New York, 1940.)
- Гиршфельдер Дж., Кертис Ч., Берд Р. Молекулярная теория газов и жидкостей. М.: Изд-во иностр. лит., 1961. 929 с. 3. J.O. Hirschfelder, C.F. Curtiss and R. Bird, Molecular Theory of Gases and Liquids. New York: John Wiley and Sons, Jnс, 1954.
- Боголюбов Н.Н. Проблемы динамической теории в статистической физике. М.: Гостехиздат, 1946. 119 с.
- Крокстон К. Физика жидкого состояния. М.: Мир, 1979. (Croxton C.A. Liquid State Physics – A Statistical Mechanical Introduction. Cambridge Univer. Press. Cambridge. 1974.)
- Мартынов Г.А. Классическая статистическая физика. Теория жидкостей. Долгопрудный: Интеллект, 2011. 326 с.
- Onsager L. // Phys Rev. 1944. V. 65. P. 117.
- Ising E. // Zeits. f. Physik. 1925. B. 31. S. 253.
- Бэкстер Р. Точно решаемые модели в статистической механике. М.: Мир, 1985. 486 с.
- Ono S. // Busseiron Kenkyu, 1950. № 23. P. 10.
- Lane J.E. // Austral. J. Chem. 1968. V. 21. P. 827.
- Bellemans A.// Physica. 1962. V. 28. P 493. 617.
- Fisher M.E., Ferdinand A.E. // Phys. Rev. Letters. 1967. V. 19. P. 69.
- Минлос Р.А., Синай Я.Г. // Математический сборник СССР, 1967. Т. 2. № 3. С. 335.
- Минлос Р.А., Синай Я.Г. // Труды Москов. математ. общества. 1968. Т. 19. С. 121.
- Abraham D., Gallavotti G., Martin-Lof A. // Lettere Nuovo Cimento. 1971. V. 2. P. 143.
- Gavallavotti G., Martin-Lof A. // Commun. Math. Phys. 1972. V. 25. P. 87.
- Стенли Г. Фазовые переходы и критические явления. М.: Мир, 1977. С. 420 с.
- Kikuchi R. // Phys. Rev. 1951. V. 81. P. 988.
- Asta M. // Theory and Applications of the Cluster Variation and Path Probability Methods / Eds. J.L. Moran-Lopez and J.M. Sanchez / New York and London: Plenum Press, 1996. 237 p.
- Cenedese P. // Theory and Applications of the Cluster Variation and Path Probability Methods / Eds. J.L. Moran-Lopez and J.M. Sanchez / New York and London: Plenum Press, 1996. 255 p.
- Вотяков Е.В., Товбин Ю.К. // Журн. физ. химии. 2022. Т. 96. № 3. С. 339.
- Вотяков Е.В., Товбин Ю.К. // Там же. Т. 97. В печати
- Хилл Т. Статистическая механика. М.: Изд-во иностр. лит., 1960. 485 с. (Hill T.L. Statistical Mechanics. Principles and Selected Applications. N.Y.: McGraw–Hill Book Comp. Inc., 1956.)
- Хуанг К. Статистическая механика. М.: Мир, 1966. 520 с. (Huang K. Statistical Mechanics. New York-London: Wiley, 1966.)
- Смирнова Н.А. Молекулярные теории растворов. Л.: Химия, 1982, 334 с.
- Товбин Ю.К. // Журн. физ. химии. 2016. Т. 90. № 7. С. 1059.
- Товбин Ю.К., Рабинович А.Б. // Изв. Академии наук. Серия химическая, 2010. № 4. С. 663.
- Вотяков Е.В., Товбин Ю.К. // Журн. физ. химии. 2023. Т. 97. В печати
- Ландау Л.Д., Лифшиц Е.М. Теоретическая физика. Электродинамика сплошных сред. Т. 8. М.: Наука, 1982. 620 с.
- Зайцева Е.С., Товбин Ю.К. // Журн. физ. химии. 2022. Т. 96. № 10. С. 1411.
- Товбин Ю.К. // Там же. 1992. Т. 66. С. 1395.
- Пригожин И.Р. Молекулярная теория растворов. М.: Металлургия, 1990. 359 с.
- Френкель Я.И. Введение в теорию металлов. М.: ГИТТЛ, Моска – Ленинград, 1950. 384 с.
- Товбин Ю.К. Молекулярная теория адсорбции в пористых телах, М.: Наука, 2012. 624с. (Tovbin Yu.K. Theory of physical chemistry processes at a gas–solid surface processes. Boca Raton, Fl.: CRC Press, 2017.)
- Yang C.N., Lee T.D. // Phys. Rev. 1952. V. 87. P. 404.
- Lee T.D., Yang C.N. // Phys. Rev. 1952. V. 87. P. 410.
- Товбин Ю.К. // Журн. физ. химии. 2022. Т. 96. № 7. С. 923.
Дополнительные файлы









