Влияние природы фонового электролита на термодинамические параметры ступенчатой диссоциации глицил-D-фенилаланина в водном растворе
- Авторы: Крутова О.Н.1, Базанов М.И.1, Черников В.В.1, Крутов П.Д.1, Романов Р.А.1, Фащевский К.А.1
-
Учреждения:
- Ивановский государственный химико-технологический университет
- Выпуск: Том 97, № 9 (2023)
- Страницы: 1248-1253
- Раздел: ФИЗИЧЕСКАЯ ХИМИЯ РАСТВОРОВ
- Статья получена: 15.10.2023
- Статья опубликована: 01.09.2023
- URL: https://journal-vniispk.ru/0044-4537/article/view/136650
- DOI: https://doi.org/10.31857/S004445372309011X
- EDN: https://elibrary.ru/XKOQEV
- ID: 136650
Цитировать
Полный текст
Аннотация
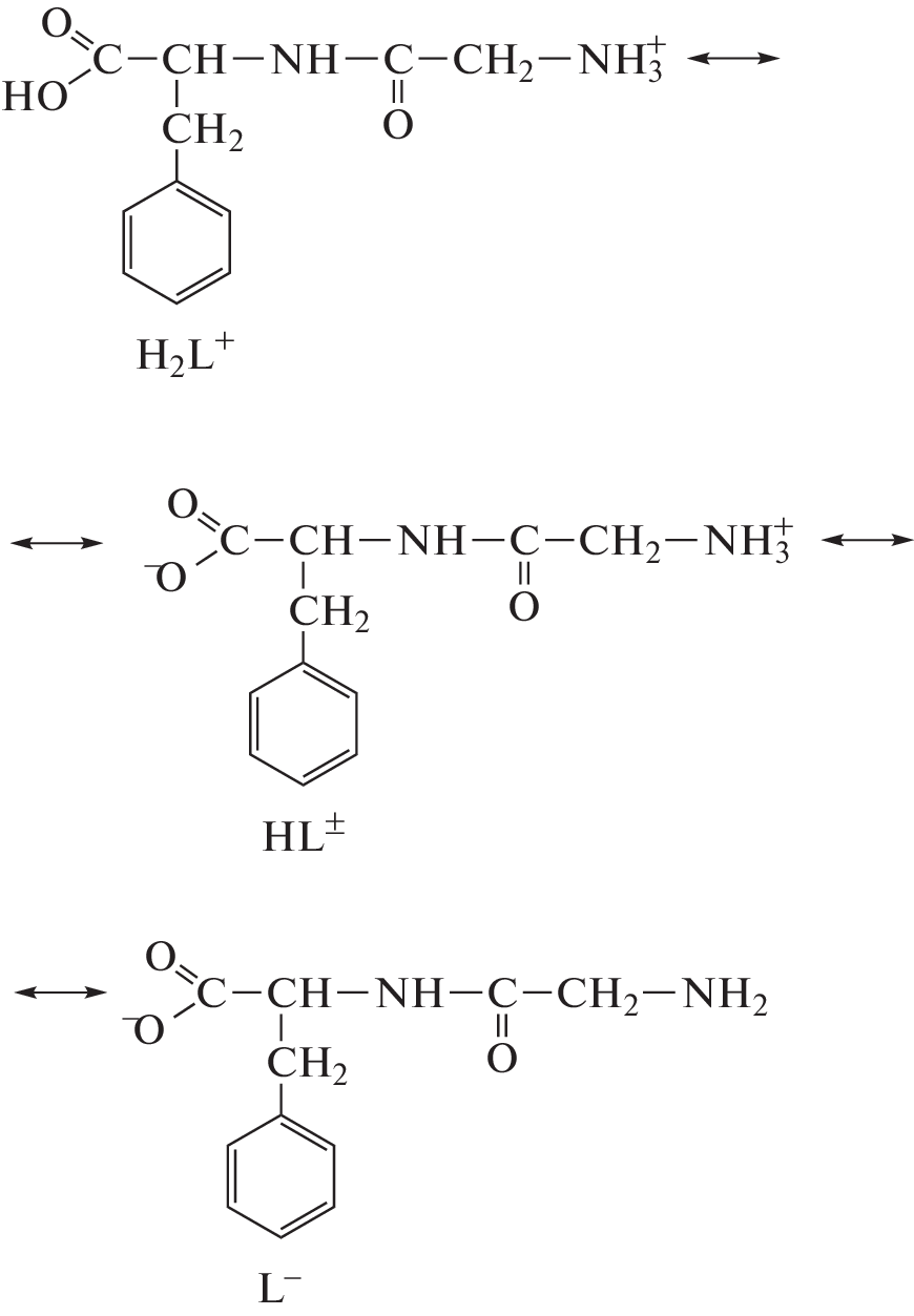
Из результатов прямых калориметрических измерений, выполненных на калориметре с изотермической оболочкой и автоматической записью кривой температура−время, рассчитаны тепловые эффекты кислотной и основной диссоциации дипептида глицил-D-фенилаланина при температуре 298.15 К и трех значениях ионной силы раствора 0.5 моль/л; 0.75 моль/л и 1.0 моль/л на фоне различных по своей природе фоновых электролитов. Рассмотрено влияние природы фоновых электролитов NaCl, NaClO4, NaNO3, KNO3, LiNO3 на тепловые эффекты ступенчатой диссоциации дипептида. Экстраполяцией на нулевую ионную силу найдены значения стандартных тепловых эффектов ионизации глицил-D-фенилаланина по двум ступеням. Рассчитаны стандартные изменения термодинамических функций (энтальпии, энтропии и энергии Гиббса) в процессах кислотной и основной диссоциации дипептида глицил-D-фенилаланина.
Ключевые слова
Об авторах
О. Н. Крутова
Ивановский государственный химико-технологический университет
Email: kdvkonkpd@yandex.ru
Россия, Иваново
М. И. Базанов
Ивановский государственный химико-технологический университет
Email: kdvkonkpd@yandex.ru
Россия, Иваново
В. В. Черников
Ивановский государственный химико-технологический университет
Email: kdvkonkpd@yandex.ru
Россия, Иваново
П. Д. Крутов
Ивановский государственный химико-технологический университет
Email: kdvkonkpd@yandex.ru
Россия, Иваново
Р. А. Романов
Ивановский государственный химико-технологический университет
Email: kdvkonkpd@yandex.ru
Россия, Иваново
К. А. Фащевский
Ивановский государственный химико-технологический университет
Автор, ответственный за переписку.
Email: kdvkonkpd@yandex.ru
Россия, Иваново
Список литературы
- Sukhareva M.S., Kopeykin P.M., Zharkova M.S., Shamova O.V. // Medical Academic Journal. 2019. V. 19. № S. P. 180. https://doi.org/10.17816/MAJ191S1180-181
- Neklyudov A.D., Denyakina E.K. // Applied Biochemistry and Microbiology. 2004. V. 40. № 4. P. 370. [Неклюдов А.Д., Денякина Е.К. // Прикладная биохимия и микробиология. 2004. Т. 40. № 4. С. 435].https://doi.org/10.1023/B:ABIM.0000033913.63770
- Inozemtsev A.N., Berezhnoy D.S., Fedorova T.N., Stvolinsky S.L. // Dokl. Biolog. Sciences. 2014. V. 454. № 1. P. 16. [Иноземцев А.Н., Бережной Д.С., Федорова Т.Н., Стволинский С.Л. // Докл. АН. 2014. Т. 454. № 5. С. 606].https://doi.org/10.1134/S0012496614010177
- Brel A.K., Lisina S.V., Budaeva Y.N. // Rus. J. of Organic Chemistry. 2021. V. 57. № 4. P. 540. [Брель А.К., Лисина С.В., Будаева Ю.Н. // Журн. орган. химии. 2021. Т. 57. № 4. С. 517].https://doi.org/10.1134/S1070428021040060
- Тюнина Е.Ю., Баранников В.П., Дунаева В.В., Краснов А.В. // Журн. физ. химии. 2022. Т. 96. № 4. С. 479. https://doi.org/10.31857/S0044453722040331
- Lytkin A.I., Chernikov V.V., Krutova O.N., Skvortsov I.A. // J. Therm. Anal. Calorim. 2017. V. 130. P. 457. https://doi.org/10.1007/s10973017- 6134-6
- Lytkin A.I., Chernikov V.V., Krutova O.N. et al. // Rus. J. of Phys. Chem. A. 2022. V. 96. № 8. Р. 1698. [Лыткин А.И., Крутова О.Н., Черников В.В., Крутов П.Д., Романов Р.А // Журн. физ. химии. 2022. Т. 96. № 8. С. 1155]https://doi.org/10.1134/S0036024422080131
- Lytkin A.I., Krutova O.N., Tyunina E.Yu. et al. // Rus. J. of Phys. Chem. A. 2021. V. 95. № 10. Р.2053. [Лыткин А.И., Крутова О.Н., Тюнина Е.Ю. и др. // Журн. физ. химии. 2021. Т. 95. № 10. с. 1530].https://doi.org/10.1134/S0036024421100162
- Shoukry M., Khairy E., El-Sherif A. // Transition Met. Chem. 2002. V. 27. P. 656. https://doi.org/10.1023/A:1019831618658
- Nair M., Subbalakshmi G. // Indian J. Chem. 2000. V. 39A. P. 468.
- Agoston C., Jankowska T., Sovago I. // J. Chem. Soc. Dalton Trans.1999. P. 3295. https://doi.org/10.1039/a904000e
- Kufelnicki A. // Pol. J. Chem. 1992. V. 66. P. 1077.
- Jezowska-Bojczuk M., Kozlowski H., Sovago I. et al. // Polyhedron. 1991. V. 10. P. 2331. https://doi.org/10.1016/S0277-5387(00)86157-4
- Brookes G., Pettit L. // J. Chem. Soc. Dalton Trans. 1975. P. 2106. https://doi.org/1039/dt9750002106
- Васильев В.П. Термодинамические свойства растворов электролитов. М.: Наука, 1982. 262 с.
- Krutova O.N., Lytkin A.I., Chernikov V.V. et al. // J. of Molecular Liquids. 2021. P. 116773. https://doi.org/10.1016/j.molliq.2021.116773
- Tyunina E., Krutova O., Lytkin A.I. // Thermochimica Acta. 2020. V. 690. P. 178704. https://doi.org/10.1016/j.tca.2020.178704 2020
- Parcker W.B. Thermal Properties of Aqueous Uni-univalent Electrolytes. Washington: NSRDS-NBS, 1965. B. 2. P. 342.
- Meshkov A.N., Gamov G.A. // Talanta. 2019. V. 198. P. 200–205. https://doi.org/10.1016/j.talanta.2019.01.107
- Васильев В.П., Шеханова Л.Д. // Журн. неорган. химии. 1974. Т. 19. № 11. С. 2969.
- Васильев В.П. // Журн. координац. химии. 2004. Т. 30 (1). С. 73.
- Гридчин С.Н. // Журн. общ. химии. 2015. Т. 85. № 4. С. 563.
- Kochergina L.A., Vasil’ev V.P., Krutova O.N. // Rus. J. of Phys. Chem. A. 2008. Т. 82. № 3. С. 348. [Кочергина Л.А., Васильев В.П., Крутова О.Н. // Журн. физ. химии. 2008. Т. 82. № 3. С. 426.].
- Lytkin A.I., Chernikov V.V., Krutova O.N. // Ibid. 2016. Т. 90. № 8. С. 1530. [Лыткин А.И., Черников В.В., Крутова О.Н. // Там же. 2016. Т. 90. № 8. С. 1160].https://doi.org/10.7868/S0044453716080173
- Васильев В.П., Кочергина Л.А. // Журн. физ. химии. 1967. Т. 41. С. 1287.
- Kochergina L.A., Vasil’ev V.P., Krutov D.V., Krutova O.N. // Rus. J. of Phys. Chemistry A. 2008. Т. 82. № 4. С. 565. [Кочергина Л.А., Васильев В.П., Крутов Д.В., Крутова О.Н. // Журн. физ. химии. 2008. Т. 82. № 4. С. 662].
Дополнительные файлы






