“Chair”–“Boat” Conformational Transition of Cyclohexanone during the Oxidation of Cyclohexane
- Авторлар: Puchkov S.V.1, Nepomnyashchikh Y.V.1
-
Мекемелер:
- Gorbachev State Technical University
- Шығарылым: Том 97, № 8 (2023)
- Беттер: 1155-1160
- Бөлім: STRUCTURE OF MATTER AND QUANTUM CHEMISTRY
- ##submission.dateSubmitted##: 15.10.2023
- ##submission.datePublished##: 01.08.2023
- URL: https://journal-vniispk.ru/0044-4537/article/view/136663
- DOI: https://doi.org/10.31857/S0044453723080198
- EDN: https://elibrary.ru/QZYCIW
- ID: 136663
Дәйексөз келтіру
Толық мәтін
Аннотация
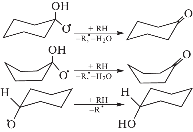
The B3LYP/6-311g++(d,p), G3, and CBS-QB3 methods (DFT) have been used to calculate the free energy and equilibrium constants of the “chair”–“boat” conformational transition of cyclohexanone in the temperature range 298.15–428.15 K. The equilibrium composition of the chair and boat conformers of cyclohexanone has been calculated. It has been shown that with an increase in the proportion of the boat conformation, the selectivity of the process of cyclohexane oxidation to cyclohexanone decreases. The transition states of addition reactions of cyclohexyl hydroperoxide at the carbonyl group of cyclohexanone for chair and boat conformations have been found by the QST2 method. The energy profiles of these reactions have been calculated. It has been established that the addition of hydroperoxide to the carbonyl group of the boat conformation of the ketone is accompanied by a transition to the chair conformation.
Негізгі сөздер
Авторлар туралы
S. Puchkov
Gorbachev State Technical University
Email: psv.toos@kuzstu.ru
650000, Kemerovo, Russia
Yu. Nepomnyashchikh
Gorbachev State Technical University
Хат алмасуға жауапты Автор.
Email: psv.toos@kuzstu.ru
650000, Kemerovo, Russia
Әдебиет тізімі
- Перкель А.Л., Воронина С.Г. // Изв. АН. Сер. хим. 2019. № 3. С. 480. https://doi.org/10.1007/s11172-019-2443-1
- Перкель А.Л., Воронина С.Г. // Там же. 2019. № 8. С. 1478. https://doi.org/10.1007/s11172-019-2582-4
- Перкель А.Л., Воронина С.Г. // Там же. 2019. № 10. С. 1803. https://doi.org/10.1007/s11172-019-2630-0
- Перкель А.Л., Воронина С.Г., Боркина Г.Г. // Там же. 2018. № 10. С. 1747. https://doi.org/10.1007/s11172-018-2288-z
- Перкель А.Л., Воронина С.Г. // Нефтехимия. 2019. Т. 59. № 7. С. 758. https://doi.org/10.1134/S00282421190701280
- Пучков С.В., Бунеева Е.И., Перкель А.Л. // Кинетика и катализ. 2002. Т. 43. № 6. С. 813.https://doi.org/10.1023/A:1021674217742
- Нагиева И.Т., Гасанова Л.М., Нагиев Т.М. // Журн. физ. химии. 2018. Т. 92. № 12. С. 1935. https://doi.org/10.1134/S004445371812004X
- Пучков С.В., Москвитина Е.Г., Непомнящих Ю.В., Перкель А.Л. // Там же. 2013. Т. 87. № 5. С. 751. https://doi.org/10.7868/S004445371305021X
- Hendry D.G., Gould C.W., Schuetzle D. et al. // J. Org. Chem. 1976. V. 41. № 1. P. 1. https://doi.org/10.1021/jo00863a001
- Taskinen E. // J. Phys. Org. Chem. 2010. V. 23. № 2. P. 105. https://doi.org/10.1002/poc.1587
- Илиел Э., Вайлен С., Дойл М. Основы органической стереохимии / Пер. с англ. М.: БИНОМ. Лаборатория знаний, 2009. 703 с.
- Dillen J., Geise H.J. // J. Mol. Struct. 1980. V. 69. 137. https://doi.org/10.1016/0022-2860(80)85272-0
- Shallard-Brown H.A., Watkin D.J., Cowley A.R. // Acta Crystallogr., Sect. E: Struct. Rep. Online. 2005. V. 61. № 8. P. 2424. https://doi.org/10.1107/s1600536805015977
- Пучков С.В., Непомнящих Ю.В. // Кинетика и катализ. 2021. Т. 62. № 4. С. 426−436. https://doi.org/10.31857/S0453881121040122
- Kosnik W., Bocian W., Chmielewski M., Tvaroska I. // Carbohydrate Research. 2008. V. 343. № 9. P. 1463. https://doi.org/10.1016/j.carres.2008.03.032
- Marianski M., Asensio A., Dannenberg J.J. // J. Chem. Phys. 2012. V. 137. № 4. P. 044109-1. https://doi.org/10.1063/1.4737517
- Самаркина А.Б., Хурсан С.Л. // Вестн. Башкирского университета. 2008. Т. 13. № 3 (I). С. 780.
- Емельянова Н.С., Покидова Т.С. // Журн. физ. химии. 2020. Т. 94. № 5. С. 747. https://doi.org/10.31857/S0044453720050052
- Корнейчук А.Я., Сенявин В.М., Курамшина Г.М. // Там же. 2017. Т. 91. № 2. С. 354 https://doi.org/10.7868/S0044453717020170
- Федорова И.В., Яблоков М.Е., Сафонова Л.П. // Там же. 2022. Т. 96. № 12. С. 1776. https://doi.org/10.31857/S004445372212010X
- Bond D. // J. Org. Chem. 2007. V. 72. № 15. P. 5555. https://doi.org/10.1021/jo070383k
- Пучков С.В., Непомнящих Ю.В., Козлова Е.С., Перкель А.Л. // Кинетика и катализ. 2013. Т. 54. № 2. С. 148. https://doi.org/10.7868/S0453881113020123
- Пучков С.В., Бунеева Е.И., Перкель А.Л. // Журн. прикл. химии. 2002. Т. 75. № 2. С. 256.
- Ваховская Л.А., Круглов С.В., Фрейдин Б.Г. // Там же. 1978. Т. 51. № 6. С. 1345.
- Lee C. // J. Korean Phys. Soc. 1999. V. 35 (4). P. 370.
- Bian H., Zhang Y., Wang Y. et al. // Int. J. Quantum Chem. 2021. V. 121. № 11. P. 1. https://doi.org/10.1002/qua.26636
- Кошель Г.Н., Смирнова Е.В., Курганова Е.А. и др. // Химическая промышленность сегодня. 2010. № 4. С. 40.
- Румянцева Ю.Б., Курганова Е.Л., Кошель Г.Н. и др. // Известия высших учебных заведений. Серия: химия и химическая технология. 2011. Т. 54. № 10. С. 102.
- Смирнова Е.В., Курганова Е.Л., Румянцева Ю.Б., Кошель Г.Н. // Там же. 2012. Т. 55. № 1. С. 21.
- Ishii Y., Sakaguchi S., Iwahama T. // Adv. Synth. Catal. 2001. V. 343. № 5. P. 393.
Қосымша файлдар










