Влияние пористой структуры нанокремнеземов, декорированных оксидами кобальта и церия, на каталитическую активность в селективном окислении СО
- Авторы: Ростовщикова Т.Н.1, Еуров Д.А.2, Курдюков Д.А.2, Томкович М.В.2, Яговкина М.А.2, Иванин И.А.1, Маслаков К.И.1, Удалова О.В.3, Шилина М.И.1
-
Учреждения:
- Московский государственный университет имени М.В. Ломоносова
- Физико-технический институт им. А.Ф. Иоффе Российской академии наук
- Федеральный исследовательский центр химической физики им. Н.Н. Семенова Российской академии наук
- Выпуск: Том 97, № 9 (2023)
- Страницы: 1312-1323
- Раздел: ФИЗИЧЕСКАЯ ХИМИЯ НАНОКЛАСТЕРОВ, СУПРАМОЛЕКУЛЯРНЫХ СТРУКТУР И НАНОМАТЕРИАЛОВ
- Статья получена: 15.10.2023
- Статья опубликована: 01.09.2023
- URL: https://journal-vniispk.ru/0044-4537/article/view/136664
- DOI: https://doi.org/10.31857/S0044453723090212
- EDN: https://elibrary.ru/XPMPKM
- ID: 136664
Цитировать
Полный текст
Аннотация
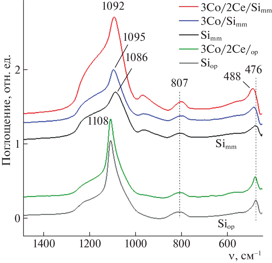
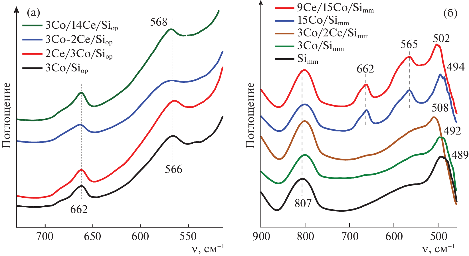
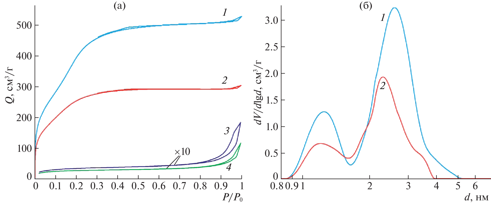
Два типа нанокремнеземов разной пористой структуры синтезированы и декорированы методом пропитки оксидами кобальта и церия. Использованы мезо-микропористые сферические частицы кремнезема с пониженной толщиной стенок наноканалов SiO2 с удельной поверхностью и объемом пор до 1400 м2/г и 0.8 см3/г и макропористые трехмерно-упорядоченные структуры на основе SiO2, так называемые, синтетические опалы, состоящие из плотноупакованных субмикронных сферических частиц кремнезема с соответствующими характеристиками пористости 11 м2/г и 0.2 см3/г. Полученные материалы охарактеризованы методами низкотемпературной адсорбции азота, рентгеновской дифракции, СЭМ, РФЭС и Фурье-ИК-спектроскопии и протестированы как катализаторы селективного окисления СО в избытке Н2 (СО-PROX). Установлено влияние кремнезема, соотношения вводимых оксидов и порядка их введения на структуру и каталитические свойства Со-Се/SiO2. Каталитическое поведение синтезированных материалов определяется спецификой взаимодействий оксидов металлов между собой и с поверхностью кремнеземов.
Ключевые слова
Об авторах
Т. Н. Ростовщикова
Московский государственный университет имени М.В. Ломоносова
Email: rtn@kinet.chem.msu.ru
Россия, Москва
Д. А. Еуров
Физико-технический институт им. А.Ф. Иоффе Российской академии наук
Email: rtn@kinet.chem.msu.ru
Россия, Санкт-Петербург
Д. А. Курдюков
Физико-технический институт им. А.Ф. Иоффе Российской академии наук
Email: rtn@kinet.chem.msu.ru
Россия, Санкт-Петербург
М. В. Томкович
Физико-технический институт им. А.Ф. Иоффе Российской академии наук
Email: rtn@kinet.chem.msu.ru
Россия, Санкт-Петербург
М. А. Яговкина
Физико-технический институт им. А.Ф. Иоффе Российской академии наук
Email: rtn@kinet.chem.msu.ru
Россия, Санкт-Петербург
И. А. Иванин
Московский государственный университет имени М.В. Ломоносова
Email: rtn@kinet.chem.msu.ru
Россия, Москва
К. И. Маслаков
Московский государственный университет имени М.В. Ломоносова
Email: rtn@kinet.chem.msu.ru
Россия, Москва
О. В. Удалова
Федеральный исследовательский центр химической физики им. Н.Н. Семенова Российской академии наук
Email: rtn@kinet.chem.msu.ru
Россия, Москва
М. И. Шилина
Московский государственный университет имени М.В. Ломоносова
Автор, ответственный за переписку.
Email: rtn@kinet.chem.msu.ru
Россия, Москва
Список литературы
- Farrando-Perez J., Lopez C., Silvestre-Albero J., Gallego-Gómez F. // J. Phys. Chem. 2018. V. 122. P. 22008. https://doi.org/10.1021/acs.jpcc.8b07278
- Meletov K.P., Efimchenko V.S., Korotkova M.A. et al. // Int. J. Hydrogen Energy. 2023. https://doi.org/10.1016/j.ijhydene.2022.12.297
- Deepanjali Gautam K., Ullas A.V. // Mater. Today: Proc. 2023. V. 74. Part 4. P. 713. https://doi.org/10.1016/j.matpr.2022.10.281
- Walcarius A., Mercier L. // J. Mater. Chem. 2010. V. 20. P. 4478–4511. https://doi.org/10.1039/B924316J
- Qiang T., Zhu R. // Sci. Total Environ. 2022. V. 819. P. 152929. https://doi.org/10.1016/j.scitotenv.2022.152929
- He Q., Shi J. // Adv. Mater. 2014. V. 26. P. 91. https://doi.org/10.1002/adma.201303123
- Gisbert-Garzarán M., Lozano D., Matsumoto K. et al. // ACS Appl. Mater. Interfaces. 2021. V. 13. P. 9656–9666.
- Majeed S., Nawaz R., Rasheed T., Bilal M. Micro and nano technologies, nanomaterials for biocatalysis, Chapter 6 – Silica-based nanomaterials in biocatalysis, Elsevier, 2022. P. 171.
- Muñoz-Pina S., Amorós P., El Haskouri J. et al. // Nanomaterials. 2020. V. 10. P. 1927. https://doi.org/10.3390/nano10101927
- Kumar A., Madden D.G., Lusi M. et al. // Angew. Chem. Int. Ed. Engl. 2015. V. 54. P. 14372. https://doi.org/10.1002/anie.201506952
- Zhao D., Wan Y., Zhou W. Ordered Mesoporous Materials. Wiley, 2013. P. 523.
- Huirache-Acuña R., Nava R., Peza-Ledesma C.L. et al. // Materials. 2013. V. 6. P. 4139. https://doi.org/10.3390/ma6094139
- Verma P., Kuwahara Y., Mori K. et al. // Nanoscale. 2020. V. 12. P. 11333. https://doi.org/10.1039/D0NR00732C
- Ribeiro P.C., Kiminami R.H.G.A., Costa A.C.F.M. // Ceram. 2014. V. 40. P. 2035. https://doi.org/10.1016/j.ceramint.2013.07.115
- Xantini Z., Erasmus E. // Polyhedron. 2021. V. 193 P. 114769. https://doi.org/10.1016/j.poly.2020.114769
- Chong C.C., Cheng Y.W., Bahari M.B. et al. // Int. J. Hydrog. Energy. 2021. V. 46. P. 24687. https://doi.org/10.1016/j.ijhydene.2020.01.086
- Liu Y., Wang Z., Zhao W. et al. // Chem. Eng. J. 2023. V. 455. P. 140622. https://doi.org/10.1016/j.cej.2022.140622
- Jiang X., Tang X., Tang L. et al. // Ceram. 2019. V 45. P. 7673. https://doi.org/10.1016/j.ceramint.2019.01.067
- Еуров Д.А., Кириленко Д.А., Томкович М.В. и др. // Неорган. материалы. 2022. Т. 58. № 12. С. 1404. https://doi.org/10.31857/S0002337X22120077
- Курдюков Д.А., Певцов А.Б., Смирнов А.Н. и др. // ФТТ. 2016. Т. 58. № 6. С. 1176. https://doi.org/10.1134/S1063783416060275
- Трофимова Е.Ю., Алексенский А.Е., Грудинкин С.А. и др. // Коллоид. журн. 2011. Т. 73. № 4. С. 535. https://doi.org/10.1134/S1061933X11040156
- Еуров Д.А., Кириленко Д.А., Томкович М.В. и др. // Неорган. материалы. 2021. Т. 57. № 9. С. 954. https://doi.org/10.31857/S0002337X21090050
- Eurov D.A., Rostovshchikova T.N., Shilina M.I. et al. // Appl. Surf. Sci. 2022. V. 579. P. 152121. https://doi.org/0.1016/j.apsusc.2021.152121
- Freund H.-J., Meijer G., Scheffler M. et al. // Angew. Chem. Int. Ed. 2011. V. 50. P. 10064. https://doi.org/10.1002/anie.201101378
- Royer S., Duprez D. // ChemCatChem. 2011. V. 3. № 1. P. 24. https://doi.org/10.1002/cctc.201000378
- Jing P., Gong X., Liu B., Zhang J. // Catal. Sci. Technol. 2020. № 10. P. 919. https://doi.org/10.1039/C9CY02073J
- Marino F., Descorme C., Duprez D. // Appl. Catal. B. 2005. V. 58. P. 175. https://doi.org/10.1016/j.apcatb.2004.12.008
- Arango-Diaz A., Cecilia J.A., Marrero-Jerez J. et al. // Ceram. 2016. V. 46. P. 7462. https://doi.org/10.1016/j.ceramint.2016.01.151
- Gawade P., Bayram B., Alexander A.-M.C., Ozkan U.S. // Appl. Catal. B. 2012. V. 128. P. 21. https://doi.org/10.1016/j.apcatb.2012.06.032
- Zhang L., Zhang L., Xu G. et al. // New J. Chem. 2017. V. 41. P. 13418. https://doi.org/10.1039/c7nj02542d
- Shilina M., Udalova O., Krotova I. et al. // ChemCatChem. 2020. V. 12. P. 2556. https://doi.org/10.1002/cctc.201902063
- Ivanin I.A., Krotova I.N., Udalova O.V. et al. // Kin. Cat. 2021. V. 62. P. 798. https://doi.org/10.1134/S0023158421060082
- Kaplin I.Y., Lokteva E.S., Maslakov K.I. et al. // Appl. Sur. Sci. 2022. V. 594. P. 153473. https://doi.org/10.1016/j.apsusc.2022.153473
- Тетерин Ю.А., Соболев А.В., Белик А.A. и др. // ЖЭТФ. 2019. Т. 155. № 6. С. 1061. https://doi.org/10.1134/S0044451019060105
- Medvedeva A., Makhonina E., Pechen L. et al. // Materials. 2022. V. 15. № 22. P. 8225. https://doi.org/10.3390/ma15228225
- Qiao L., Xiao H.Y., Meyer H.M. et al. // J. Mater. Chem. C. 2013. V. 1. № 31. P. 4628. https://doi.org/10.1039/C3TC30861H
- Грег С., Синг К. Адсорбция, удельная поверхность, пористость. М.: Мир, 1984. С. 310.
- Kurdyukov D.A., Chernova E.N., Russkikh Y.V. et al. // J. Chromatogr. A. 2017. V. 1513. P. 140. https://doi.org/10.1016/j.chroma.2017.07.043
- Kurdyukov D.A., Eurov D.A., Kirilenko D.A. et al. // Microporous Mesoporous Mater. 2016. V. 223. P. 225. https://doi.org/10.1016/j.micromeso.2015.11.018
- Киселев А.В., Лыгин В.И. Инфракрасные спектры поверхностных соединений. М.: Наука, 1972. С. 459.
- Wang Y.-Z., Zhao Y.-X., Gao C.-G., Liu D.-S. // Catal. Lett. 2007. V. 116. P. 136. https://doi.org/10.1007/s10562-007-9099-4
- Tang C.-W., Wang C.-B., Chien S.-H. // Termochim. Acta. 2008. V. 473. № 1–2. P. 68. https://doi.org/10.1016/j.tca.2008.04.015
- Hou X.-D., Wang Y.-Z., Zhao Y.-X. // Catal. Lett. 2008. V. 123. P. 321. https://doi.org/10.1007/s10562-008-9426-4
- Lukashuk L., Föttinger K., Kolar E. et al. // J. Catal. 2016. V. 344. P. 1. https://doi.org/10.1016/j.jcat.2016.09.002
- Химия привитых поверхностных соединений / Под ред. Г.В. Лисичкина. М.: Физматлит, 2003. С. 49.
- Puskas I., Fleisch T.H., Hall J.B. et al. // J. Catal. 1992. V. 134. № 2. P. 615. https://doi.org/10.1016/0021-9517(92)90347-K
- Tiscornia I.S., Lacoste A.M., Gomez L.E. et al. // Int. J. Hydrog. Energy. 2020. V. 45. № 11. P. 6636. https://doi.org/10.1016/j.ijhydene.2019.12.126
Дополнительные файлы










