Изотопный эффект при взаимодействии водорода с материалами термоядерных реакторов
- Авторы: Шишкова Т.А.1,2, Голубева А.В.1, Розенкевич М.Б.2
-
Учреждения:
- НИЦ “Курчатовский институт”
- Российский химико-технологический университет им. Д.И. Менделеева
- Выпуск: Том 97, № 10 (2023)
- Страницы: 1371-1392
- Раздел: ПРОБЛЕМЫ, ТЕНДЕНЦИИ РАЗВИТИЯ И АКТУАЛЬНЫЕ ЗАДАЧИ ФИЗИЧЕСКОЙ ХИМИИ
- Статья получена: 18.10.2023
- Статья опубликована: 01.10.2023
- URL: https://journal-vniispk.ru/0044-4537/article/view/140319
- DOI: https://doi.org/10.31857/S0044453723100205
- EDN: https://elibrary.ru/XZVKSX
- ID: 140319
Цитировать
Полный текст
Аннотация
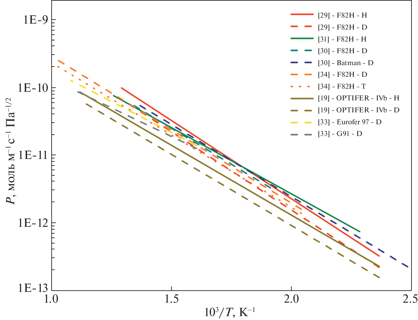
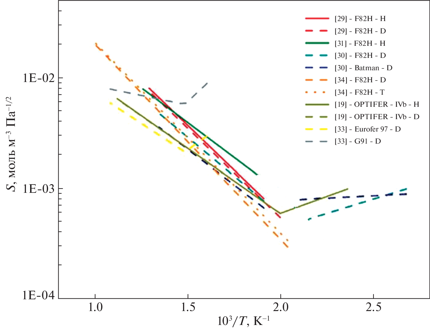
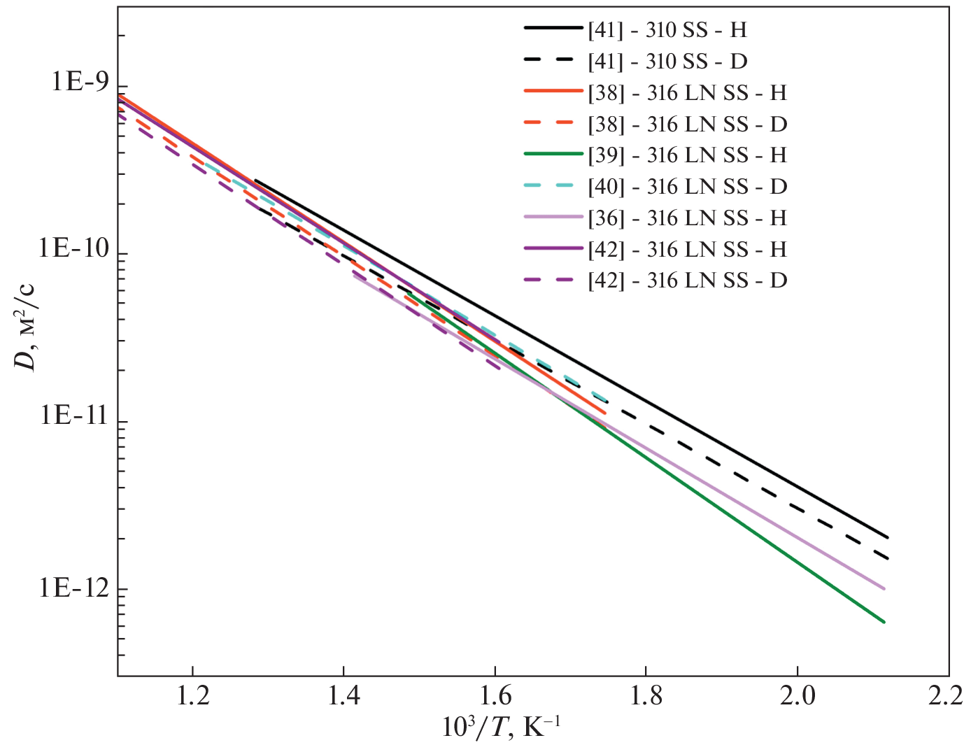
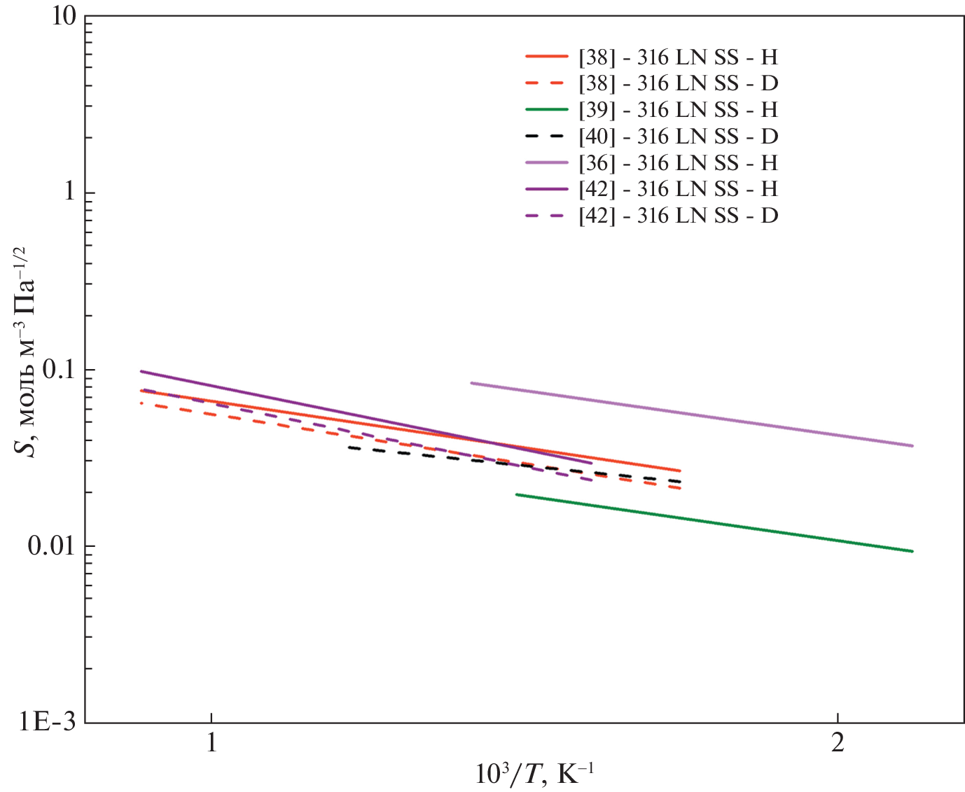
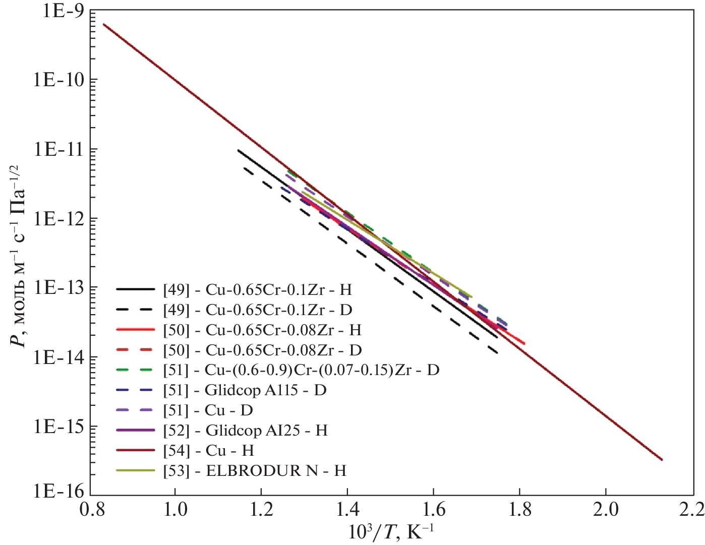
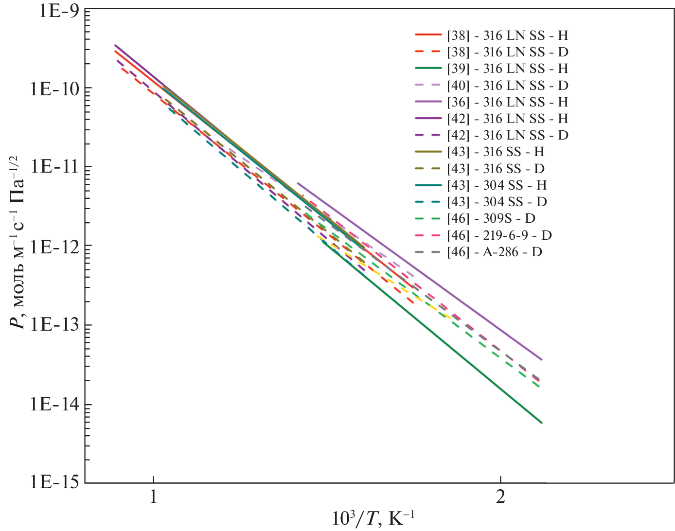
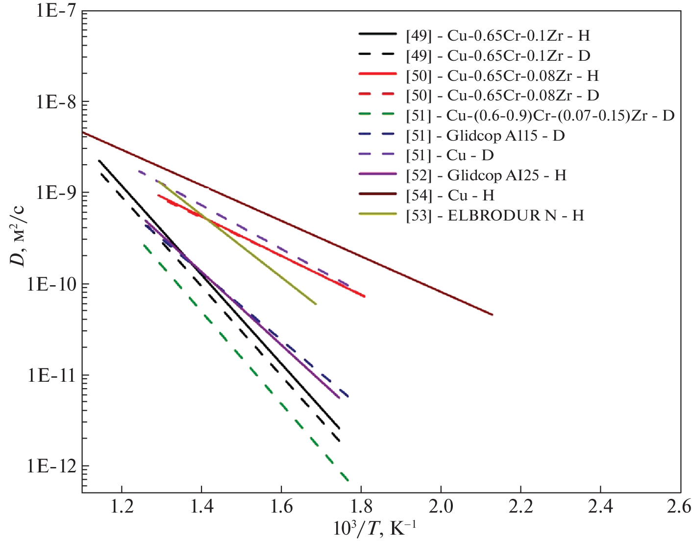
Представлено суммирование результатов исследований по изучению транспортных характеристик изотопов водорода в ряде материалов термоядерных реакторов – ферритно-мартенситных сталях, аустенитных сталях, CuCrZr-бронзе. Параметры транспорта трития в материалах получают, опираясь на экспериментально измеренные параметры переноса водорода и дейтерия в тех же материалах, в рамках классической теории диффузии. В работе обсуждается применимость такого подхода. Показано, что значительная часть экспериментальных данных не согласуется с предположениями, основанными на классической теории диффузии. Для точного предсказания потоков трития через материалы термоядерных установок требуются иные подходы.
Ключевые слова
Об авторах
Т. А. Шишкова
НИЦ “Курчатовский институт”; Российский химико-технологический университет им. Д.И. Менделеева
Email: anfimova_t_a@mail.ru
Россия, Москва; Россия, Москва
А. В. Голубева
НИЦ “Курчатовский институт”
Email: anfimova_t_a@mail.ru
Россия, Москва
М. Б. Розенкевич
Российский химико-технологический университет им. Д.И. Менделеева
Автор, ответственный за переписку.
Email: anfimova_t_a@mail.ru
Россия, Москва
Список литературы
- Kuteev B.V., Goncharov P.R. // Fusion Science and Technology. 2020. V. 76. № 7. P. 836. https://doi.org/10.1080/15361055.2020.1817701
- Бекман И.Н. Математика диффузии: учебное пособие. Москва: Издательство ОнтоПринт, 2016. 400 с.
- Taylor Ch.N. // Journal of Nuclear Materials. 2022. V. 558. P. 153396. https://doi.org/10.1016/j.jnucmat.2021.153396
- Черданцев Ю.П., Чернов И.П., Тюрин Ю.И. Методы исследования систем металл-водород: учебное пособие. Томск: Издательство ТПУ, 2008. 286 с.
- Андреев Б.М., Магомедбеков Э.П., Розенкевич М.Б., Сахаровскии Ю.А. Гетерогенные реакции изотопного обмена трития. М.: Издательство Эдиториал УРСС, 1999. 203 с.
- Glugla M., Antipenkov A., Beloglazov S., Caldwell-Ni-chols C. // Fusion Eng. Des. 2007. V. 82. № 5. P. 472. https://doi.org/10.1016/j.fusengdes.2007.02.025
- Михайлов В.Н., Евтюхин В.А., Люблинский И.Е. и др. Литий в термоядерной и космической энергетике XXI века. М.: Энергоатомиздат, 1999. 526 с.
- Chen J.M., Chernov V.M., Kurtz R.J., Muroga T. // J. of Nuclear Materials. 2011. V. 417. № 1-3. P. 289–294. https://doi.org/10.1016/j.jnucmat.2011.02.015
- Li M., Zinkle S.J. // Comprehensive Nuclear Materials. 2012. V. 4. P. 667. https://doi.org/10.1016/B978-0-08-056033-5.00122-1
- Dolinski Yu., Lyasota I., Shestakov A. et al. // Ibid. 2000. V. 283–287. P. 854. https://doi.org/10.1016/S0022-3115(00)00314-7
- Causey R.A. // Ibid. 2002. V. 300. № 2–3. P. 91. https://doi.org/10.1016/S0022-3115(01)00732-2
- Мерер Х. Диффузия в твердых телах: монография. Долгопрудный: Интеллект, 2011. 535 с.
- Causey R.A., Karnesky R.A., San Marchi C. // Comprehensive Nuclear Materials. 2012. P. 511. https://doi.org/10.1016/B978-0-08-056033-5.00116-6
- Писарев А.А., Цветков И.В., Маренков Е.Д., Ярко С.С. // Взаимодействие изотопов водорода с конструкционными материалами. IHISM’11 JUNIOR: сборник докладов Седьмой международной школы молодых ученых и специалистов. Саров: ФГУП “РФЯЦ-ВНИИЭФ”. 2012. С. 450.
- Oriani R. // Acta Metallurgica. 1970. V. 18. № 1. P. 147. https://doi.org/10.1016/0001-6160(70)90078-7
- Marchi C.S., Somerday B.P., Robinson S.L. // Intern. J. of Hydrogen Energy. 2007. V. 32. № 1. P. 100. https://doi.org/10.1016/j.ijhydene.2006.05.008
- Wert C., Zener C. // Physical Review. 1949. V. 76. № 8. P. 1169. https://doi.org/10.1103/physrev.76.1169
- Лобко В.Н. // Взаимодействие изотопов водорода с конструкционными материалами. IHISM’10. Сборник докладов Четвертой Международной конференции и Шестой Международной Школы молодых ученых и специалистов. Саров: РФЯЦ-ВНИИЭФ. 2011. С. 270.
- Esteban G.A., Perujo A., Douglas K., Sedano L.A. // J. of Nuclear Materials. 2000. V. 281. № 1. P. 34. https://doi.org/10.1016/s0022-3115(00)00188-4
- Sivak A.B., Sivak P.A., Romanov V.A., Chernov V.M. // Ibid. 2015. Vol. 461. P. 308. https://doi.org/10.1016/j.jnucmat.2015.03.031
- Grabke H.J., Riecke E. // Mater. Tehnol. 2000. V. 34. № 6. P. 331.
- Houben A., Scheuer J., Rasiński M. et al. // Nuclear Materials and Energy. 2020. V. 25. P. 100878. https://doi.org/10.1016/j.nme.2020.100878
- Aoyagi K., Torres E., Suda T., and Ohnuki S. // J. of Nuclear Materials. 2000. V. 283-287. P. 876. https://doi.org/10.1016/s0022-3115(00)00140-9
- Gorley M., Aiello G., Henry J., Nozawa T. et al. // Fusion Engineering and Design. 2021. V. 170. P. 112513. https://doi.org/10.1016/j.fusengdes.2021.112513
- Компаниец Т.Н. // Взаимодействие изотопов водорода с конструкционными материалами. IHISM-09 JUNIOR. Сборник докладов Четвертой Международной конференции и Шестой Международной Школы молодых ученых и специалистов. Саров: РФЯЦ-ВНИИЭФ. 2010. С. 35.
- Компаниец Т.Н. // ВАНТ. Сер. Терм. Синтез. 2009. № 3. С. 16.
- Колотов В.П. Теоретические и экспериментальные подходы к решению задач активационного анализа, гамма-спектрометрии и создания малоактивируемых материалов: Автореф. дис. … доктора хим. наук: М.: Ин-т геохимии и аналитической химии им. В.И. Вернадского РАН, 2007. 48 с.
- Kulsartov T.V., Hayashi K., Nakamichi M. et al. // Fusion Engineering and Design. 2006. V. 81. № 1–7. P. 701. https://doi.org/10.1016/j.fusengdes.2005.07.019
- Xu Y., Hirooka Y., Nagasaka T. // Fusion Engineering and Design. 2017. V. 125. P. 343. https://doi.org/10.1016/j.fusengdes.2017.04.022
- Serra E.E., Perujo A., Benamati G. // J. of Nuclear Materials. 1997. V. 245. № 2–3. P. 108. https://doi.org/10.1016/S0022-3115(97)00021-4
- Zhou H., Hirooka Y., Ashikawa N. et al. // Ibid. 2014. V. 455. № 1–3. P. 470. https://doi.org/10.1016/j.jnucmat.2014.07.061
- Wedig F., Jung P. // Ibid. 1997. V. 245. № 2–3. P. 138. https://doi.org/10.1016/S0022-3115(97)00014-7
- Chen Z., Hu X., Ye M., Wirth B.D. // Ibid. 2021. V. 549. P. 152904. https://doi.org/10.1016/j.jnucmat.2021.152904
- Dolinsky Y.N., Zouev Yu.N., Lyasota I.A. et al. // Ibid. 2002. V. 307–311. P. 1484. https://doi.org/10.1016/S0022-3115(02)01128-5
- Barabash V., Peacock A., Fabritsiev S. et al. // Ibid. 2007. V. 367–370. P. 21. https://doi.org/10.1016/j.jnucmat.2007.03.017
- Xiukui S., Jian X., Yiyi L. // Materials Science and Engineering: A. 1989. V. 36. P. 179. https://doi.org/10.1016/0921-5093(89)90857-5
- Cherkez D.I., Golubeva A.V., Spitsyn A.V., Chernov V.M. // Journal of Nuclear Materials. 2022. V. 571. № 1. P. 154017. https://doi.org/10.1016/j.jnucmat.2022.154017
- Byeon W.J., Lee S.K., Noh S.J. // Intern. J. of Hydrogen Energy. 2020. V. 45. № 15. P. 8827. https://doi.org/10.1016/j.ijhydene.2020.01.130
- Nemanič V., Žumer M., Kovač J. // J. of Nuclear Materials. 2019. V. 521. P. 38. https://doi.org/10.1016/j.jnucmat.2019.04.043
- Houben A., Engels J., Rasiński M., Linsmeier C. // Nuclear Materials and Energy. 2019. V. 19. P. 55. https://doi.org/10.1016/j.nme.2019.01.030
- Quick N.R., Johnson H.H. // Metallurgical Transactions A. 1979. V. 10. № 1. P. 67.
- Lee S.K., Yun S.-H., Joo H.G., Noh S.J. // Current Applied Physics. 2014. V. 14. № 10. P. 1385. https://doi.org/10.1016/j.cap.2014.08.006
- Shiraishi T., Nishikawa M., Yamaguchi T., Kenmotsu K. // J. of Nuclear Materials. 1999. V. 273. № 1. P. 60. https://doi.org/10.1016/S0022-3115(99)00018-5
- Shiraishi T., Nishikawa M., Fukumatsu T. // Ibid. 1998. V. 254. № 2–3. P. 205. https://doi.org/10.1016/S0022-3115(97)00362-0
- Shan C., Wu A., Li Y. et al. // Ibid. 1991. V. 179–181. P. 322. https://doi.org/10.1016/0022-3115(91)90091-K
- Swansiger W.A., Bastasz R. // Ibid. 1979. V. 85–86. P. 335. https://doi.org/10.1016/0022-3115(79)90512-9
- Barabash V.R., Kalinin G.M., Fabritsiev S.A., Zinkle S.J. // Ibid. 2011. V. 417. № 1–3. P. 904. 10.1016/j.jnucmat.2010.12.158' target='_blank'>https://doi: 10.1016/j.jnucmat.2010.12.158
- Qu D., Zhou Z., Yum Y., Aktaa J. // Ibid. 2014. V. 455. № 1–3. P. 130. https://doi.org/10.1016/j.jnucmat.2014.04.026
- Noh S.J., Byeon W.J., Shin H.W. et al. // Ibid. 2016. V. 473. P. 112. https://doi.org/10.1016/j.jnucmat.2016.01.035
- Serra E., Perujo A. // Ibid. 1998. V. 258–263. Part 1. P. 1028. https://doi.org/10.1016/S0022-3115(98)00276-1
- Zhou H.-S., Liu H.-D., An Z.-Q. et al. // Ibid. 2017. V. 493. P. 398. https://doi.org/10.1016/j.jnucmat.2017.06.028
- Esteban G.A., Alberro G., Peñalva I. et al. // Fusion Engineering and Design. 2009. V. 84. № 2–6. P. 757. https://doi.org/10.1016/j.fusengdes.2008.12.007
- Peñalva I., Alberro G., Legarda F. et al. Interaction of Copper Alloys with Hydrogen // Copper alloys – early applications and current performance – enhancing processes. 2012. P. 31. https://doi.org/10.5772/34469
- Reiter F., Forcey K.S., Gervasini G. A Compilation of Tritium–Material Interaction Parameters in Fusion Reactor Materials // Report EUR 15217 EN. 1993
- Tanabe T., Yamanishi Y., Sawada K., Imoto S. // J. of Nuclear Materials. 1984. V. 123. № 1–3. P. 1568. https://doi.org/10.1016/0022-3115(84)90304-0
- Lyu Y.-M., Xu Y.-P., Liu H.-D. et al. // Int. J. Hydrog. Energy. 2019. V. 44. № 33. P. 18265. https://doi.org/10.1016/j.ijhydene.2019.05.046
- Birnbaum H.K., Wert C.A. // Ber. Bunsenges. Physik. Chem. 1972. V. 76. P. 806. https://doi.org/10.1002/bbpc.19720760835
- Esteban G.A., Peña A., Legarda F., Lindau R. // J. of Nuclear Materials. 2007. V. 367–370. P. 473. https://doi.org/10.1016/j.jnucmat.2007.03.114
Дополнительные файлы














