Теоретическое исследование энантиомеров 5,5,6-тригидрокси-6-метилдигидропиримидин-2,4-диона
- Авторы: Хамитов Э.М.1, Петрова С.Ф.1, Ильина М.Г.1, Нугуманов Т.Р.1, Лобов А.Н.1, Иванов С.П.1
-
Учреждения:
- Уфимский Институт химии Уфимского федерального исследовательского центра Российской академии наук
- Выпуск: Том 97, № 10 (2023)
- Страницы: 1481-1487
- Раздел: ХЕМОИНФОРМАТИКА И КОМПЬЮТЕРНОЕ МОДЕЛИРОВАНИЕ
- Статья получена: 18.10.2023
- Статья опубликована: 01.10.2023
- URL: https://journal-vniispk.ru/0044-4537/article/view/140332
- DOI: https://doi.org/10.31857/S004445372310014X
- EDN: https://elibrary.ru/XYQRJC
- ID: 140332
Цитировать
Полный текст
Аннотация
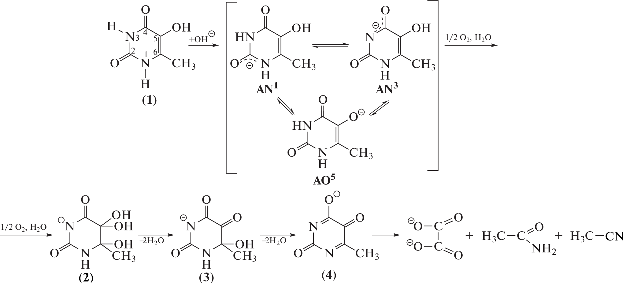
Квантово-химическими методами изучена термодинамическая устойчивость для аксиальной (а) и экваториальной (е) формы S- и R-энантиомеров 5,5,6-тригидрокси-6-метилдигидропиримидин-2,4(1Н,3Н)-диона. Поиск равновесных геометрических параметров и вычисление термодинамических характеристик проводились методом DFT с использованием функционала TPSS в сочетании с валентно-расщепленным базисным набором с включением поляризационных функций d- и p-типа – 6-311+G(d,p). Для визуализации геометрического строения использовались программы Chemcraft и VMD. Установлено, что наиболее стабильной формой 5,5,6-тригидрокси-6-метилдигидропиримидин-2,4(1Н,3Н)-диона как в газовой фазе, так и в водной и органической (ДМСО) средах, являются Se и Re. Активационный барьер перегруппировки внутри цикла составляет 21.22–24.93 кДж/моль в зависимости от среды.
Об авторах
Э. М. Хамитов
Уфимский Институт химии Уфимского федерального исследовательского центра Российской академии наук
Email: petrova_sf89@anrb.ru
Россия, Уфа
С. Ф. Петрова
Уфимский Институт химии Уфимского федерального исследовательского центра Российской академии наук
Email: petrova_sf89@anrb.ru
Россия, Уфа
М. Г. Ильина
Уфимский Институт химии Уфимского федерального исследовательского центра Российской академии наук
Email: petrova_sf89@anrb.ru
Россия, Уфа
Т. Р. Нугуманов
Уфимский Институт химии Уфимского федерального исследовательского центра Российской академии наук
Email: petrova_sf89@anrb.ru
Россия, Уфа
А. Н. Лобов
Уфимский Институт химии Уфимского федерального исследовательского центра Российской академии наук
Email: petrova_sf89@anrb.ru
Россия, Уфа
С. П. Иванов
Уфимский Институт химии Уфимского федерального исследовательского центра Российской академии наук
Автор, ответственный за переписку.
Email: petrova_sf89@anrb.ru
Россия, Уфа
Список литературы
- Мышкин В.А., Бакиров А.Б. Оксиметилурацил (Очерки экспериментальной фармакологии). Уфа: ДАР, 2001. 218 с.
- Jovanovic S.V., Simic M.G. // J. Am. Chem. Soc. 1986. V. 108. № 19. P. 5968. https://doi.org/10.1021/ja00279a050
- Hazra D.K., Steenken S. // J. Am. Chem. Soc. 1983. V. 105. № 13. P. 4380. https://doi.org/10.1021/ja00351a042
- Theruvathu J.A., Aravindakumar C.T., Flyunt R. et al. // Ibid. 2001. V. 123. № 13. P. 9007. https://doi.org/10.1021/ja0109794
- Von Sonntag C. // Int. J. Radiat. Appl. Instrum. Part C. Radiat. Phys. Chem. 1987. V. 30. № 5–6. P. 313. https://doi.org/10.1016/1359-0197(87)90101-9
- Al-Sheikhly M., von Sonntag C. // Z. Naturforsch 1983. V. 38b. P. 1622.https://doi.org/10.1515/znb-1983-1214
- Simandan T., Sun J., Dix T.A. // Biochem. J. 1998. V. 335. P. 233.https://doi.org/10.1042/bj3350233
- Grabovskiy S.A., Abdrakhmanova A.R., Murinov Yu.I., Kabal'nova N.N. // Current Org. Chem. 2009. V. 13. № 17. P. 1733. https://doi.org/10.2174/138527209789578081
- Grabovskiy S.A., Konkina I.G., Murinov Yu.I., Kabal'nova N.N. // Current Org. Chem. 2012. V. 16. № 11. P. 1447. https://doi.org/10.2174/138527212800672619
- Иванов С.П., Конкина И.Г., Байкова И.П. и др. // Хим. гетероцикл. соединений. 2002. № 11. С. 1609; Ivanov S.P., Konkina I.G., Baikova I.P. et al. // Chem. Heterocycl. Compd. 2002. V. 11. P. 1424.https://doi.org/10.1002/chin.200327138
- Петрова С.Ф., Нугуманов Т.Р., Лобов А.Н. и др. // Вестн. Башкирского ун-та. 2016. Т. 21. № 3. С. 626.
- Петрова С.Ф., Остахов С.С., Иванов С.П. и др. // Хим. выс. энергий. 2018. Т. 52. Вып. 6. С. 468. Petrova S.F., Ostakhov S.S., Ivanov S.P. et al. // High Energy Chem. 2018. V. 52. N. 6. P. 480.https://doi.org/10.1134/S0023119318060116
- Nugumanov T.R., Ivanov S.P., Starikova Z.A., Murinov Y.I. // Mendeleev Commun. 2008. V. 18. P. 223.https://doi.org/10.1016/j.mencom.2008.07.020
- Петрова С.Ф., Ильина М.Г., Нугуманов Т.Р. и др. // Изв. Уфимского научн. центра РАН. 2020. № 1. С. 112.
- Петрова С.Ф., Нугуманов Т.Р., Лобов А.Н. и др. // Журн. прикл. спектроскопии. 2022. Т. 89. № 2. С. 170. https://doi.org/10.47612/0514-7506-2022-89-2-170-176
- Frisch M.J., G.W.T., Schlegel H.B., Scuseria G.E., Robb M.A., Cheeseman J.R., Scalmani G., Barone V., Mennucci B., Petersson G.A., Nakatsuji H., Caricato M., Li X., Hratchian H.P., Izmaylov A.F., Bloino J., Zheng G., Sonnenberg J.L., Hada M., Ehara M., Toyota K., Fukuda R., Hasegawa J., Ishida M., Nakajima T., Honda Y., Kitao O., Nakai H., Vreven T., Montgomery J.A., Jr., Peralta J.E., Ogliaro F., Bearpark M., Heyd J.J., Brothers E., Kudin K.N., Staroverov V.N., Keith T., Kobaya-shi R., Normand J., Raghavachari K., Burant J.C., Iyengar S.S., Tomasi J., Cossi M., Rega N., Millam J.M., Klene M., Knox J.E., Cross J.B., Bakken V., Adamo C., Jaramillo J., Gomperts R., Stratmann R.E., Yazyev O., Austin A.J., Cammi R., Pomelli C., Ochterski J.W., Martin R.L., Morokuma K., Zakrzewski V.G., Voth G.A., Salvador P., Dannenberg J.J., Dapprich S., Daniels A.D., Farkas O., Foresman J.B., Ortiz J.V., Cioslowski J., Fox D.J., Gaussian 09, in: G. Inc. (Ed.), 2010.
- Zhurko G. A. Chemcraft. www.chemcraftprog.com.
- Tao J., Perdew J.P., Staroverov V.N., Scuseria G.E. // Phys. Rev. Lett. 2003. V. 91. № 14. P. 146401. https://doi.org/10.1103/PhysRevLett.91.146401
- Raghavachari K.K., Binkley J.S., Seeger R., Pople J.A. // J. Chem. Phys. 1980. V. 72. № 1. P. 650. https://doi.org/10.1063/1.438955
- McLean A.D., Chandler G.S. // Ibid. V. 72. № 10. P. 5639. https://doi.org/10.1063/1.438980
- Tomasi, J., Mennucci B., Cammi R. // Chem. Rev. 2005. V. 105. № 8. P. 2999. https://doi.org/10.1021/cr9904009
- Floris F., Tomasi J. // J. Comp. Chem. 1989. V. 10. № 5. P. 616. https://doi.org/10.1002/jcc.540100504
- Floris F.M., Tomasi J., Ahuir J.L.P. // J. Comp. Chem. 1991. V. 12. № 7. P. 784. https://doi.org/10.1002/jcc.540120703
- Pierotti R.A. // Chem. Rev. 1976. V. 76. № 6. P. 717. https://doi.org/10.1021/ cr60304a002
- Ruud K., Helgaker T., Bak K.L., Jorgensen P., Jensen H.J.Aa. // J. Chem. Phys.1993. V. 99. P. 3847. https://doi.org/10.1063/1.466131
- Лукманов Т.И., Абдрахимова Г.С., Хамитов Э.М., Иванов С.П. // Журн. физ. химии. 2012. Т. 86. № 7. С. 1221; Lukmanov T. I., Abdrakhimova G. S., Khami-tov E.M., Ivanov S.P. // Russ. J. Phys. Chem. A. 2012. V. 86. № 7. P. 1104. https://doi.org/10.1134/ S0036024412990010
- Потапов В.М. Стереохимия. М.: Химия, 1988. 464 с.
- Гюнтер Х. Введение в курс спектроскопии ЯМР / пер. с англ. М.: Мир, 1984. 478 с.
Дополнительные файлы








