Сорбция пиколиновой кислоты и железа (III) сульфокатионитом Dowex 50
- Авторы: Альтшулер Г.Н.1, Остапова Е.В.1, Лырщиков С.Ю.1, Захаров Н.С.1, Альтшулер О.Г.1,2
-
Учреждения:
- Федеральный исследовательский центр угля и углехимии Сибирского отделения РАН
- Кемеровский государственный университет
- Выпуск: Том 97, № 10 (2023)
- Страницы: 1488-1493
- Раздел: ФИЗИЧЕСКАЯ ХИМИЯ ДИСПЕРСНЫХ СИСТЕМ И ПОВЕРХНОСТНЫХ ЯВЛЕНИЙ
- Статья получена: 18.10.2023
- Статья опубликована: 01.10.2023
- URL: https://journal-vniispk.ru/0044-4537/article/view/140333
- DOI: https://doi.org/10.31857/S0044453723100035
- EDN: https://elibrary.ru/IHPVCS
- ID: 140333
Цитировать
Полный текст
Аннотация
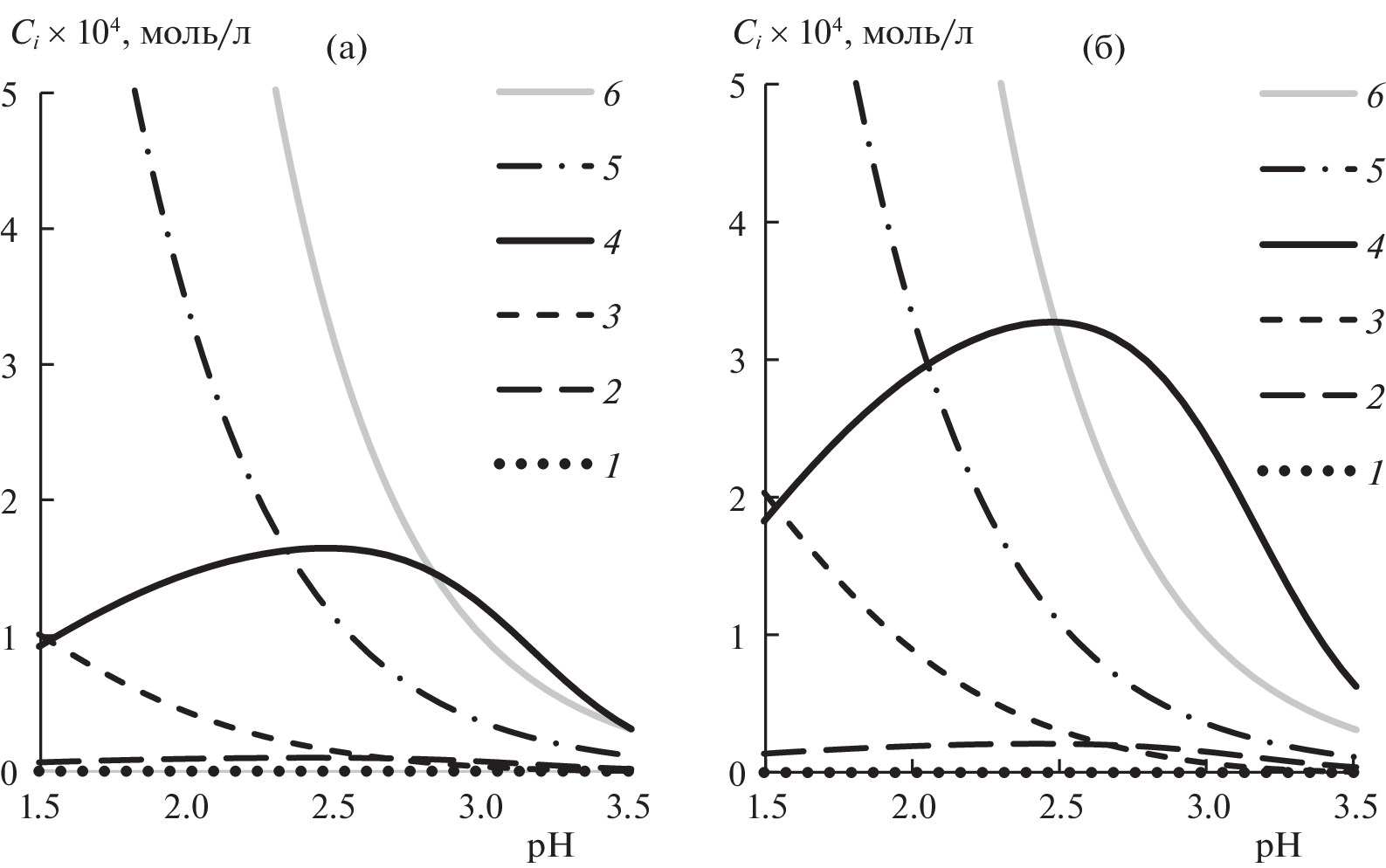
Выполнено экспериментальное исследование равновесного распределения катионов в системе: сульфокатионит Dowex 50 и водный раствор пиколиновой кислоты и хлорида железа. В фазе сульфокатионита Dowex 50 получена высокая концентрация комплексов железа и пиколиновой кислоты. Показана возможность расчета равновесного противоионного состава сульфокатионита Dowex 50 по константам равновесия бинарных ионных обменов и известному составу раствора. Сульфокатионит Dowex 50 предложен в качестве контейнера для биологически активных препаратов на основе пиколиновой кислоты и катионов Fe3+.
Ключевые слова
Об авторах
Г. Н. Альтшулер
Федеральный исследовательский центр угля и углехимии Сибирского отделения РАН
Email: altshulerh@gmail.com
Россия, Кемерово
Е. В. Остапова
Федеральный исследовательский центр угля и углехимии Сибирского отделения РАН
Email: altshulerh@gmail.com
Россия, Кемерово
С. Ю. Лырщиков
Федеральный исследовательский центр угля и углехимии Сибирского отделения РАН
Email: altshulerh@gmail.com
Россия, Кемерово
Н. С. Захаров
Федеральный исследовательский центр угля и углехимии Сибирского отделения РАН
Email: altshulerh@gmail.com
Россия, Кемерово
О. Г. Альтшулер
Федеральный исследовательский центр угля и углехимии Сибирского отделения РАН; Кемеровский государственный университет
Автор, ответственный за переписку.
Email: altshulerh@gmail.com
Россия, Кемерово; Россия, Кемерово
Список литературы
- Солдатенков А.Т., Колядина Н.М., Шендрик И.В. Основы органической химии лекарственных веществ. М.: Химия, 2001. 188 с.
- Sinthpoom N., Prachayasittikul V., Prachayasittikul S. et al. // Eur. Food Res. Tech. 2014. V. 240. № 1. P. 1. https://doi.org/10.1007/s00217-014-2354-1
- Grant R.S., Coggan S.E., Smythe G.A. // Int. J. Tryptophan Res. 2009. V. 2. P. 71. https://doi.org/10.4137/IJTR.S2469
- Datta D., Uslu H., Kumar S. // Chemical Engineering Research and Design. 2015. V. 95. P. 105. https://doi.org/10.1016/j.cherd.2015.01.013
- Sahin K., Onderci M., Sahin N. et al. // Anim. Feed Sci. Technol. 2006. V. 129(1–2). P. 39. https://doi.org/10.1016/j.anifeedsci.2005.11.009
- Ciubotariu D., Nechifor M., Dimitriu G. // J. Trace Elem. Med. Biol. 2018. V. 50. P. 676. https://doi.org/10.1016/j.jtemb.2018.06.025
- Aguilar F., Charrondiere U.R., Dusemund B. et al. // The European Food Safety Authority. 2009. V. 1113. P. 1. https://doi.org/10.2903/j.efsa.2009.1113
- Sabatier M., Grathwohl D., Beaumont M. et al. // European J. of Nutrition. 2020. V. 59. P. 1371. https://doi.org/10.1007/s00394-019-01989-4
- Bryszewska M.A., Laghi L., Zannoni A. et al. // Nutrients. 2017. V. 9. № 3. P. 272. https://doi.org/10.3390/nu9030272
- Altshuler H., Ostapova E., Altshuler O. et al. // ADMET and DMPK. 2019. V. 7. № 1. P. 76. https://doi.org/10.5599/admet.626
- Альтшулер Г.Н., Шкуренко Г.Ю., Некрасов В.Н. и др. // Журн. физ. химии. 2022. Т. 96. № 7. С. 1062. [Altshuler G.N., Shkurenko G.Yu., Nekrasov V.N. et al. // Rus. J. of Phys.Chem. A. 2022. V. 96. № 7. P. 1535.] https://doi.org/10.1134/S0036024422070032
- Альтшулер Г.Н., Некрасов В.Н., Альтшулер О.Г. // Там же. 2022. Т. 96. № 8. С. 1176–1179. [Altshuler G.N., Nekrasov V.N., Altshuler O.G. // Ibid. 2022. V. 96. № 8. P. 1724.] https://doi.org/10.1134/S0036024422080027
- Альтшулер Г.Н., Остапова Е.В., Альтшулер О.Г. // Теоретические основы химической технологии. 2022. Т. 56. № 1. С. 128. [Altshuler G.N., Ostapova E.V., Altshuler O.G. // Theoretical Foundations of Chemical Engineering. 2022. V. 56. № 1. P. 124.] https://doi.org/10.1134/S0040579521060014
- Pepper K.W., Reichenberg D., Hale D.K. // J. Chem. Soc. 1952. V. 10. P. 3129. https://doi.org/10.1039/JR9520003129
- HySS 2009. Hyperquad Simulation and Speciation, Protonic Software, Leeds (UK), Universita di Firenze, Firenze (Italy), 2009. http: // www.hyperquad.co.uk/hyss.htm
- IUPAC Stability Constants Database; http: // www.acadsoft.co.uk/scdbase/scdbase.htm.
- Никольский Б.П. Справочник химика. М.: Медиа, 2012. Т. 3. 490 с.
- El-Dessouky M.A., El-Ezaby M.S., Shuaib N.M. // Inorg. Chim. Acta. 1980. 46:7–14. https://doi.org/10.1016/S0020-1693(00)84161-4
- Никольский Б.П. Справочник химика. М.: Книга по Требованию, 2013. Т. 4. 910 с.
- Остапова Е.В., Лырщиков С.Ю., Альтшулер Г.Н. // ЖПХ. 2022. Т. 95. № 8. С. 65. [Ostapova E.V., Lyrshchikov S.Yu., Al’tshuler G.N. // Rus. J. of Applied Chemistry. 2022. V. 95. P. 1223. https: // doi.org/10.1134/S1070427222080195]
- Cnockaert V., Maes K., Bellemans I. et al. // J. of Non-Crystalline Solids. 2020. V. 536. P. 120002. https://doi.org/10.1016/j.jnoncrysol.2020.120002
- Смит А. Прикладная ИК-спектроскопия: основы, техника, аналитическое применение. М.: Мир, 1982. С. 301–308.
- Наканиси К. Инфракрасные спектры и строение органических соединений. М.: Мир, 1965. С. 51.
- Marsh J.L., Wayman A.E., Smiddy N.M. et al. // Langmuir. 2017. V. 33. № 46. P. 13224. https://doi.org/10.1021/acs.langmuir.7b03338
- Koczon P., Dobrowolski J.Cz., Lewandowski W. et al. // J. of Molecular Structure. 2003. V. 655. № 1. P. 89. https://doi.org/10.1016/S0022-2860(03)00247-3
Дополнительные файлы







