Thermal Stability of the Al–2.3%V Powder Compared with That of Al Used on 3D Printers Depending on the Heating Rate
- Авторлар: Shevchenko V.G.1, Eselevich D.A.1, Popov N.A.1, Baklanov M.N.1, Vinokurov Z.S.2, Kim G.A.3
-
Мекемелер:
- Institute of Solid State Chemistry, Ural Branch, Russian Academy of Sciences
- SKIF Multiaccess Center, Institute of Catalysis, Siberian Branch, Russian Academy of Sciences
- Postovskii Institute of Organic Synthesis, Ural Branch, Russian Academy of Sciences
- Шығарылым: Том 97, № 10 (2023)
- Беттер: 1528-1534
- Бөлім: ФИЗИЧЕСКАЯ ХИМИЯ ПРОЦЕССОВ ГОРЕНИЯ И ВЗРЫВА
- ##submission.dateSubmitted##: 18.10.2023
- ##submission.datePublished##: 01.10.2023
- URL: https://journal-vniispk.ru/0044-4537/article/view/140338
- DOI: https://doi.org/10.31857/S0044453723100199
- EDN: https://elibrary.ru/GRKKCT
- ID: 140338
Дәйексөз келтіру
Толық мәтін
Аннотация
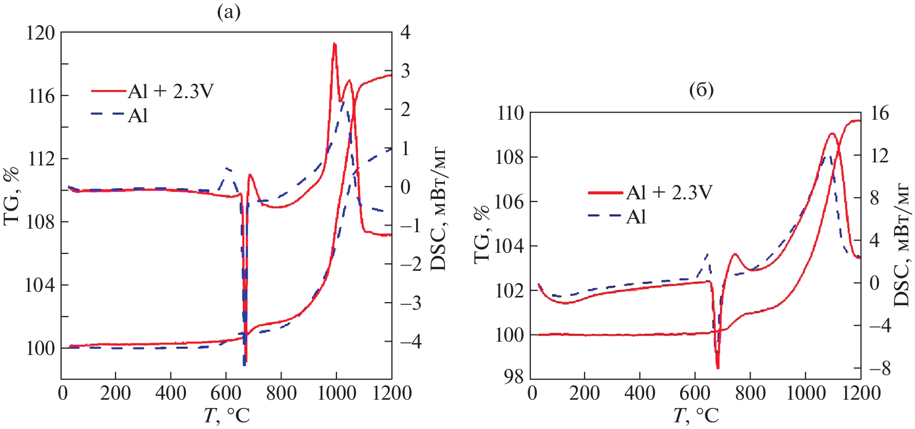
The oxidation stability and phase formation sequence for pure aluminum APK and Al–2.3%V alloy heated in air at rates of up to 100°C/min were analyzed by thermogravimetry with differential scanning calorimetry and X-ray diffraction using synchrotron radiation. It was established that an increase in the heating rate from 10 to 100°C/min does not significantly change the thermal stability of the modified Al powder. The presence of Al3V and Al10V intermetallic compounds, as well as a small amount of γ-Al2O3, in the structure of the alloy should favor consolidation of metal particles and reduce the porosity of the resulting product during selective laser melting (SLM).
Негізгі сөздер
Авторлар туралы
V. Shevchenko
Institute of Solid State Chemistry, Ural Branch, Russian Academy of Sciences
Email: shevchenko@ihim.uran.ru
620108, Yekaterinburg, Russia
D. Eselevich
Institute of Solid State Chemistry, Ural Branch, Russian Academy of Sciences
Email: shevchenko@ihim.uran.ru
620990, Yekaterinburg, Russia
N. Popov
Institute of Solid State Chemistry, Ural Branch, Russian Academy of Sciences
Email: shevchenko@ihim.uran.ru
620108, Yekaterinburg, Russia
M. Baklanov
Institute of Solid State Chemistry, Ural Branch, Russian Academy of Sciences
Email: shevchenko@ihim.uran.ru
620108, Yekaterinburg, Russia
Z. Vinokurov
SKIF Multiaccess Center, Institute of Catalysis, Siberian Branch, Russian Academy of Sciences
Email: shevchenko@ihim.uran.ru
630090, Koltsovo Science City, Russia
G. Kim
Postovskii Institute of Organic Synthesis, Ural Branch, Russian Academy of Sciences
Хат алмасуға жауапты Автор.
Email: shevchenko@ihim.uran.ru
620108, Yekaterinburg, Russia
Әдебиет тізімі
- Зленко М.А. Аддитивные технологии в машиностроении. Пособие для инженеров. М.: ГНЦ РФ ФГУП “НАМИ”. 2015. 220 с.
- Осокин Е.Н. Процессы порошковой металлургии. Версия 1.0 [Электронный ресурс]: курс лекций / Е.Н. Осокин, О.А. Артемьева. – Электрон. дан. Красноярск: ИПК СФУ. 2008. 421 с.
- Гопиенко В.Г. Металлические порошки алюминия, магния, титана и кремния. Потребительские свойства и области применения. СПб.: Изд-во Политехн. ун-та. / Под ред. А.И. Рудского. 2012. 356 с.
- Вол А.Е. Строение и свойства двойных металлических систем. М.: Физматгиз. Наука. 1959. 3306 с.
- Omran A.M. // Al-Azhar University Eng. J. Jaues. 2007. V. 2. № 6. P. 36.
- Stolecki B., Borodziuk-Kulpa A., Zahorowski W. // J. of Materials Science. 1987. V. 22. № 8. P. 2933.
- Woo K.D., Lee H.B. // Met. Mater. Int. 2010. V. 16. № 2. P. 213.
- Omran A.M. // E3 J. of Scientific Research. 2014. V. 2. № 2. P. 026.
- Okamoto H. // J. of Phase Equilibria and Diffusion. 2012. V. 33. № 6. P. 491.
- Simchi A. // Metall Mater Trans B, 2004. 35B. P. 937.
- Louvis E., Fox P., Sutcliffe C.J. // J. Mater Process Technol. 2011. V. 211. P. 275-84.
- Dadbakhsh S., Hao L. // J. Alloy Comp. 2012. V. 541. P. 328.
- Piminov P.A., Baranov G.N., Bogomyagkov A.V. et al. // Physics Procedia. 2016. V. 84. P. 19.
- Aulchenko V.M., Evdokov O.V., Kutovenko V.D. et al. // Nuclear Instruments Methods Physics Research A. 2009. V. 603. P. 76.
- Gates-Rector S., Blanton T. // Powder diffraction. 2019. V. 34. № 4. P. 1.
- Rietveld H.A. // J. Appl. Crystallogr. 1969. V. 2. P. 65.
- Popa N.C., Balzar D. // J. of Applied Crystallography. 2002. V. 35. P. 338-46.
- Safarik D.J., Klimczuk T., Llobet A. et al. // Phys. Rev. B. 2012. V. 85. № 1. P. 1.
- Maas J., Bastin G., Van Loo F., Metselaar R. // Intern. J. of Materials Research. 1983. V. 74. № 5. P. 294.
- Шевченко В.Г., Еселевич Д.А., Попов Н.А., Красильников В.Н. и др. // Физика горения и взрыва. 2018. Т. 54. № 1. С. 65.
- Шевченко В.Г., Кононенко В.И. Физикохимия активации дисперсных систем на основе алюминия. Екатеринбург: УрО РАН, 2006. 238 с.
- Акашев Л.А., Попов Н.А., Шевченко В.Г., Ананьев А.И. // Изв. вузов. Порошковая металлургия и функциональные материалы. 2019. № 2. С. 23.
- Olakanmi E.O., Cohrane R.F., Dalgarno K.W. // Progress in Materials Science, 2015. V. 74. P. 401.
Қосымша файлдар










