Влияние состава шунгита на его взаимодействие с несимметричным диметилгидразином
- Авторы: Ульянов А.В.1, Полунин К.Е.1, Полунина И.А.1, Буряк А.К.1
-
Учреждения:
- Институт физической химии и электрохимии им. А.Н. Фрумкина РАН
- Выпуск: Том 97, № 12 (2023)
- Страницы: 1763-1768
- Раздел: ФИЗИЧЕСКАЯ ХИМИЯ ДИСПЕРСНЫХ СИСТЕМ И ПОВЕРХНОСТНЫХ ЯВЛЕНИЙ
- Статья получена: 26.12.2023
- Статья опубликована: 01.12.2023
- URL: https://journal-vniispk.ru/0044-4537/article/view/233070
- DOI: https://doi.org/10.31857/S0044453723120294
- EDN: https://elibrary.ru/RSJFCQ
- ID: 233070
Цитировать
Полный текст
Аннотация
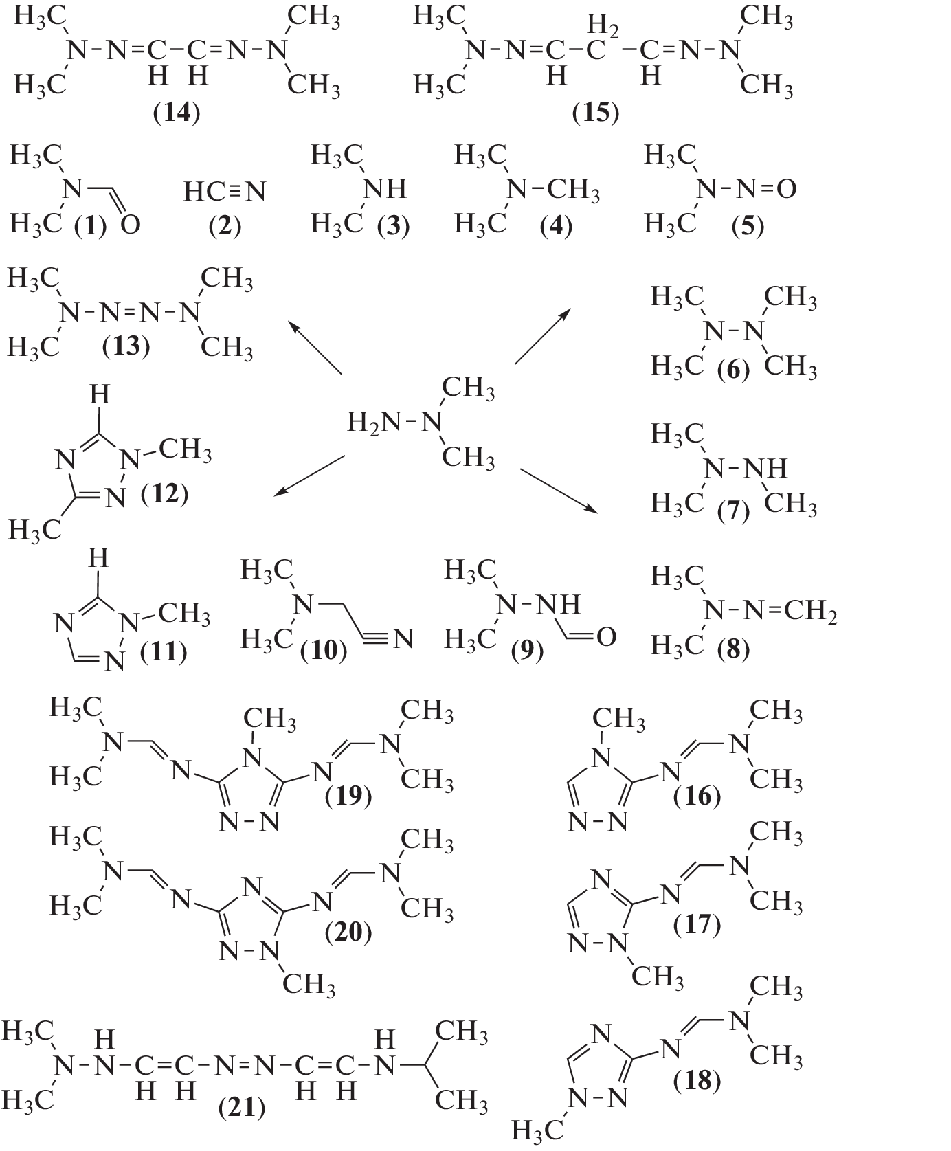
Методами хроматографии и масс-спектрометрии исследовано влияние состава шунгита на его взаимодействие с 1,1-диметилгидразином и продуктами его окислительной трансформации. Проведен качественный и количественный анализ соединений, содержащихся в водных растворах 1,1-диметилгидразина до и после его контакта с шунгитом, а также на поверхности шунгита с различным соотношением органических и неорганических компонентов в зависимости от времени контакта. Обнаружено, что состав шунгита влияет на продукты его взаимодействия с 1,1-диметилгидразином.
Ключевые слова
Об авторах
А. В. Ульянов
Институт физической химии и электрохимии им. А.Н. Фрумкина РАН
Email: akburyak@mail.ru
Россия, 119071, Москва
К. Е. Полунин
Институт физической химии и электрохимии им. А.Н. Фрумкина РАН
Email: akburyak@mail.ru
Россия, 119071, Москва
И. А. Полунина
Институт физической химии и электрохимии им. А.Н. Фрумкина РАН
Email: akburyak@mail.ru
Россия, 119071, Москва
А. К. Буряк
Институт физической химии и электрохимии им. А.Н. Фрумкина РАН
Автор, ответственный за переписку.
Email: akburyak@mail.ru
Россия, 119071, Москва
Список литературы
- Березкин В.И. Углерод. Замкнутые наночастицы, макроструктуры, материалы. СПб.: АтрЭрго, 2013.
- Рожкова Н.Н. Наноуглерод шунгитов. Петрозаводск: КарНЦ РАН, 2011.
- Калинин А.И., Королева Е.Б. Доочистка сточных вод с использованием природного минерала шунгита. Л.: Стройиздат, 1989.
- Буряк А.К., Сердюк Т.М. // Успехи химии. 2013. Т. 82. С. 369 [Buryak A.K., Serdyuk T.M. // Russ. Chem. Rev. 2013. V. 82. № 4. P. 369].
- Smolenkov A.D., Shpigun O.K. // Talanta. 2012. V. 102. P. 93.
- Смоленков А.Д., Попутникова Т.О., Смирнов Р.С. и др. // Теоретическая и прикладная экология. 2013. № 2. С. 63.
- Schmidt W.E. Hydrazine and its derivatives. 2nd Ed. New York: John Wiley & Sons Inc., 2001.
- Полунина И.А., Гончарова И.С., Высоцкий В.В. и др. // Материаловедение. 2016. № 9. С 36.
- Лебедев А.Т. Масс-спектрометрия в органической химии. М.: Бином, 2003.
- Терентьев П.Б., Станкявичус П.Б. Масс-спектры биологически активных азотистых оснований. Вильнюс: Мокслас, 1987.
- Справочник по токсикологии и гигиеническим нормативам (ПДК) потенциально опасных химических веществ / Под ред. В.С. Кушневой, Р.Б. Горшковой. М.: ИздАТ, 1999.
- Polunina I.A., Goncharova I.S., Polunin K.E, Buryak A.K. // Inorganic Materials: Applied Research. 2018. V. 9. № 4. P. 772.
Дополнительные файлы







