Катодное выделение водорода на механосинтезированных карбидных частицах вольфрама и железа: WC, Fe3C, Fe3W3C, Fe6W6C
- Авторы: Лялина Н.В.1, Сюгаев А.В.1, Еремина М.А.1, Ломаева С.Ф.1
-
Учреждения:
- Удмуртский федеральный исследовательский центр Уральского отделения РАН
- Выпуск: Том 97, № 11 (2023)
- Страницы: 1638-1646
- Раздел: ФИЗИЧЕСКАЯ ХИМИЯ НАНОКЛАСТЕРОВ, СУПРАМОЛЕКУЛЯРНЫХ СТРУКТУР И НАНОМАТЕРИАЛОВ
- Статья получена: 26.12.2023
- Статья опубликована: 01.11.2023
- URL: https://journal-vniispk.ru/0044-4537/article/view/233071
- DOI: https://doi.org/10.31857/S0044453723110213
- EDN: https://elibrary.ru/OOBRFK
- ID: 233071
Цитировать
Полный текст
Аннотация
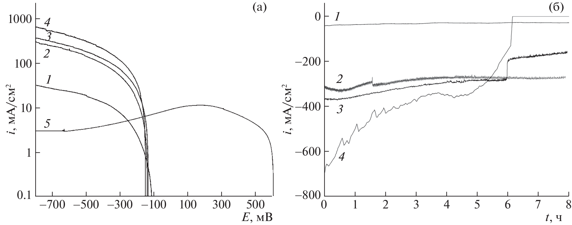
Изучена электрокаталитическая активность в реакции выделения водорода ряда механоактивированных/механосплавленных карбидных фаз железа и вольфрама, а также биметаллических карбидов Fe3W3C и Fe6W6C. Электрокатализаторы готовили прессованием карбидных частиц с проводящим полимером (полианилин). Наибольшей активностью характеризовались нанокристаллические частицы Fe3C и WC. Наличие металлических фаз в составе частиц значительно снижало скорость реакции выделения водорода. Дополнительный отжиг таких частиц приводил к превращению металлических фаз в биметаллические карбиды, что повышало скорость водородной реакции. Активность фаз биметаллических карбидов Fe3W3C и Fe6W6C в реакции выделения водорода достаточно высока, хотя они уступают нанокристаллическим частицам Fe3C и WC.
Об авторах
Н. В. Лялина
Удмуртский федеральный исследовательский центр Уральского отделения РАН
Email: nvlyalina@udman.ru
Россия, 426067, Ижевск
А. В. Сюгаев
Удмуртский федеральный исследовательский центр Уральского отделения РАН
Email: mrere@mail.ru
Россия, 426067, Ижевск
М. А. Еремина
Удмуртский федеральный исследовательский центр Уральского отделения РАН
Email: mrere@mail.ru
Россия, 426067, Ижевск
С. Ф. Ломаева
Удмуртский федеральный исследовательский центр Уральского отделения РАН
Автор, ответственный за переписку.
Email: mrere@mail.ru
Россия, 426067, Ижевск
Список литературы
- Safizadeh F., Ghali E., Houlach G. // Int. J. Hydrogen Energy. 2015. V. 40. P. 256 https://doi.org/10.1016/j.ijhydene.2014.10.109
- Du Y., Zang M., Wang Z. et al. // J. Mater. Chem. A. 2019. V. 7. P. 8602. https://doi.org/10.1039/C9TA00557A
- Zhou M., Sun Q., Shen Y. et al. // Electochimica Acta. 2019. V. 306. P. 651. https://doi.org/10.1016/j.electacta.2019.03.160
- Bentley C.L., Andronescu C., Smialkowski M. et al. // Angewandte Chemie Int. Ed. 2018. V. 57. P. 4093. https://doi.org/10.1002/anie.201712679
- Seo B., Jung G.Y., Kim J.H. et al. // Nanoscale. 2018. V. 10. P. 3839. https://doi.org/10.1039/C7NR08161H
- Nguyen Q.T., Nguyen P.D., Nguyen D.N. et al. // ACS Appl. Mater. Interfaces. 2018. V. 10. P. 8659. https://doi.org/10.1021/acsami.7b18675
- De Silva U., Masud J., Zhang N. et al. // J. Mater. Chem. A. 2018. V. 6. P. 7608. https://doi.org/10.1039/C8TA01760C
- Tang S., Zhang Z., Xiang J. et al. // Front. Chem. 2022. V. 10. P. 1073175. https://doi.org/10.3389/fchem.2022.1073175
- Chen Y.-Y., Zhang Y., Jiang W.-J. et al. // ACS Nano. 2016. V. 10. P. 8851. https://doi.org/10.1021/acsnano.6b04725
- Yang C.C., Zai S.F., Zhou Y.T. et al. // Adv. Funct. Mater. 2019. V. 29. P. 1901949. https://doi.org/10.1002/adfm.201901949
- Tang Y., Lan K., Li F., Jiang P. et al. // Int. J. Hydrogen Energy. 2019. V. 44. P. 9328. https://doi.org/10.1016/j.ijhydene.2019.02.115
- Liu Y.-R., Hu W.-H., Li X. et al. // Appl. Surf. Sci. 2016. V. 384. P. 51. https://doi.org/10.1016/j.apsusc.2016.05.007
- Dong T., Zhang X., Cao Y. et al. // Inorg. Chem. Front. 2019. V. 6. P. 1073. https://doi.org/10.1039/C8QI01335G
- Wang X.-L., Tang Y.-J., Huang W. et al. // ChemSusChem. 2017. V. 10. P. 2402. https://doi.org/10.1002/cssc.201700276
- Su J., Zhou J., Wang L. et al. // Sci. Bull. 2017. V. 62. P. 633. https://doi.org/10.1016/j.scib.2016.12.011
- Ma Y., Guan G., Hao X. et al. // Renew. Sust. Energ. Rev. 2017. V. 75. P. 1101. https://doi.org/10.1016/j.rser.2016.11.092
- Ko Y.-J., Cho J.-M., Kim I. et al. // Appl. Catal. B. Environmental. 2017. V. 203. P. 684. https://doi.org/10.1016/j.apcatb.2016.10.085
- Ma Y.-Y., Lang Z.-L., Yan L.-K. et al. // Energy Environ. Sci. 2018. V. 11. P. 2114. https://doi.org/10.1039/C8EE01129J
- Song C., Wu S., Shen X. et al. // J. Colloid Interf. Sci. 2018. V. 524. P. 93. https://doi.org/10.1016/j.jcis.2018.04.026
- Li S., Ren P., Yang C. et al. // Sci. Bull. 2018. V. 63. P. 1358. https://doi.org/10.1016/j.scib.2018.09.016
- Болдырев В.В. // Успехи химии. 2006. Т. 73. № 3. С. 203. (Boldyrev V.V. // Russian Chemical Reviews. 2006. V. 75. № 3. P. 177). https://doi.org/10.1070/rc2006v075n03abeh001205
- Syugaev A.V., Lyalina N.V., Lomayeva S.F. et al. // J. Solid State Electrochem. 2015. V. 19. P. 2933. https://doi.org/10.1007/s10008-015-2903-y
- Syugaev A.V., Lyalina N.V., Lomayeva S.F. et al. // J. Solid State Electrochem. 2016. V. 20. P. 775. https://doi.org/10.1007/s10008-015-3108-0
- Wu Z., Fang B., Bonakdarpoun A. et al. // Appl. Catal. B: Environ. 2012. V. 125. P. 59. https://doi.org/10.1016/j.apcatb.2012.05.013
- Ambrosi A., Chia X., Sofer Z. et al. // Electrochem. Commun. 2015. V. 54. P. 36. https://doi.org/10.1016/j.elecom.2015.02.017
- Сюгаев А.В., Лялина Н.В., Ломаева С.Ф. и др. // Физикохимия поверхности и защита материалов. 2012. Т. 48. С. 429 (Syuagev A.V., Lyalina N.V., Lomayeva S.F. et al. // Prot. Met. Phys. Chem. Surf. 2012. V. 48. P. 515). https://doi.org/10.1134/S2070205112050127
- Сюгаев А.В., Ломаева С.Ф., Решетников С.М. // Физикохимия поверхности и защита материалов. 2010. Т. 46. С. 74 (Syuagev A.V., Lomayeva S.F., Reshetnikov S.M. // Prot. Met. Phys. Chem. Surf. 2010. V. 46. P. 82). https://doi.org/10.1134/S2070205110010120
- Shelekhov E.V., Sviridova T.A. // Met. Sci. Heat Treat. 2000. V. 42. P. 309. https://doi.org/10.1007/BF02471306
- https://www.ill.eu/sites/fullprof/
- Ломаева С.Ф. // ФММ. 2007. Т. 104. С. 403 (Lomayeva S.F. // Phys. Met. Metallogr. 2007. V. 104. P. 388). https://doi.org/10.1134/S0031918X07100092
Дополнительные файлы










