Исследование физико-химических характеристик покрытий диоксида свинца с целью совершенствования резервных быстроактивирующихся химических источников тока системы свинец–хлорная кислота–диоксид свинца
- Авторы: Щеглов П.А.1, Самсонов Д.А.1, Павленков А.Б.1, Кулова Т.Л.2, Рычагов А.Ю.2, Андреев В.Н.2, Скундин А.М.2
-
Учреждения:
- Акционерное общество «Научно-производственное объединение “Прибор” имени С.С. Голембиовского»
- Институт физической химии и электрохимии им. А.Н. Фрумкина РАН
- Выпуск: Том 97, № 12 (2023)
- Страницы: 1783-1793
- Раздел: ЭЛЕКТРОХИМИЯ. ГЕНЕРАЦИЯ И АККУМУЛИРОВАНИЕ ЭНЕРГИИ ИЗ ВОЗОБНОВЛЯЕМЫХ ИСТОЧНИКОВ
- Статья получена: 26.12.2023
- Статья опубликована: 01.12.2023
- URL: https://journal-vniispk.ru/0044-4537/article/view/233075
- DOI: https://doi.org/10.31857/S0044453723120269
- EDN: https://elibrary.ru/JGTRRF
- ID: 233075
Цитировать
Полный текст
Аннотация
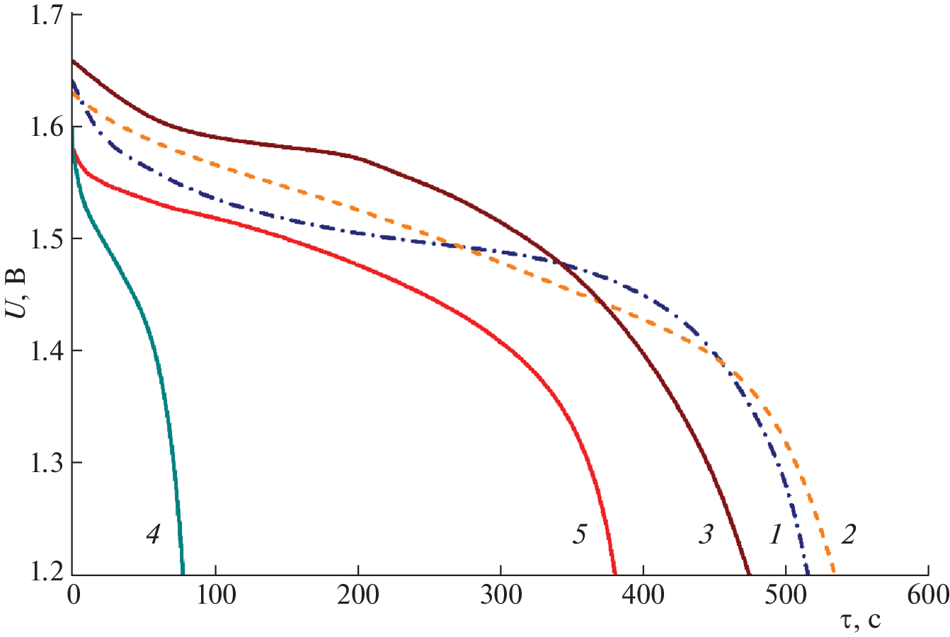
Изучена связь разрядных характеристик резервных химических источников тока системы свинец–хлорная кислота–диоксид свинца с физико-химическими свойствами гальванических покрытий катодов диоксидом свинца, в том числе с фазовым составом и микроструктурой. Показано, что улучшение разрядных характеристик источников тока возможно при применении двуслойного покрытия диоксида свинца, состоящего из пористого наружного слоя и более плотного внутреннего слоя. Результаты подтверждены изготовлением и испытаниями опытных промышленных образцов миниатюрных резервных источников тока с улучшенными эксплуатационными характеристиками при пониженных температурах (время активации менее 30 мс, разрядная емкость ~200 мА мин/см2, напряжение разряда на один элемент 1.8–1.2 В при температуре –50°С).
Об авторах
П. А. Щеглов
Акционерное общество «Научно-производственное объединение “Прибор” имени С.С. Голембиовского»
Email: tkulova@mail.ru
Россия, 117587, Москва
Д. А. Самсонов
Акционерное общество «Научно-производственное объединение “Прибор” имени С.С. Голембиовского»
Email: d@samsonov-work.ru
Россия, 117587, Москва
А. Б. Павленков
Акционерное общество «Научно-производственное объединение “Прибор” имени С.С. Голембиовского»
Email: tkulova@mail.ru
Россия, 117587, Москва
Т. Л. Кулова
Институт физической химии и электрохимии им. А.Н. Фрумкина РАН
Email: tkulova@mail.ru
Россия, 119071, Москва
А. Ю. Рычагов
Институт физической химии и электрохимии им. А.Н. Фрумкина РАН
Email: tkulova@mail.ru
Россия, 119071, Москва
В. Н. Андреев
Институт физической химии и электрохимии им. А.Н. Фрумкина РАН
Email: tkulova@mail.ru
Россия, 119071, Москва
А. М. Скундин
Институт физической химии и электрохимии им. А.Н. Фрумкина РАН
Автор, ответственный за переписку.
Email: tkulova@mail.ru
Россия, 119071, Москва
Список литературы
- Bagotsky V.S., Skundin A.M., Volfkovich Yu.M. Electrochemical Power Sources: Batteries, Fuel Cells, and Supercapacitors, Hoboken, N.J.: John Willey & Sons, Inc, 2015. 400 p.
- Handbook of Batteries / Editors D. Linden and T.B. Reddy. New York, Chicago, etc.: McGraw-Hill, 2002. 1453 p.
- Постановление Правительства Российской Федерации № 484 от 30.03.2021 г. об утверждении государственной программы Российской Федерации “Социально-экономическое развитие Арктической зоны Российской Федерации”. Дата опубликования 02.04.2021 на сайте publication.pravo.gov.ru, номер опубликования 0001202104020037. URL: http://publication.pravo.gov.ru/Document/View/0001202104020037
- Бузник В.М., Каблов Е.Н. // Вестн. РАН. 2017. Т. 87. № 9. С. 827. [Buznik V.M., Kablov E.N. // Herald of the Russian Academy of Sciences. 2017. V. 87. № 5. P. 397.]
- Щеглов П.А., Самсонов Д.А., Павленков А.Б. и др. // Электрохимия. 2023. В печати.
- Mindt W. // J. Electrochem. Soc. 1969. V. 116. № 8. P. 1076.
- Рахмани Л., Фитас Р., Мессаи А., Айеш А.И. // Электрохимия. 2019. Т. 55. № 7. С. 832. [L. Rahmani, R. Fitas, A. Messai, and A. I. Ayesh. Russ. J. Electrochem., 2019, V. 55. P. 643]
- Pavlov D. Lead-Acid Batteries: Science and Tecnology: A Handbook of Lead-Acid Battery Technology and Its Influence on the Product, 2nd Edition. Amsterdam, Oxford, Cambridge: Elsevier, 2017. 720 p.
- Pavlov D. // J. Power Sources. 1992. V. 40. P. 169.
- Pavlov D. // J. Electrochem. Soc. 1992. V. 139. № 11. P. 3075.
- Шпекина В.И. Разработка технологии электроосаждения диоксида свинца на различные подложки в ультразвуковом поле. Дис… канд. техн. наук. Саратов, ФГБОУ ВО “Саратовский государственный технический университет имени Гагарина Ю.А.”. 2016. 136 с. [Shpekina V.I. Development of technology of electrodepotion of lead dioxide onto various substrates in ultrasouic field. Dissertation. Saratov, The Saratov State Technical University named after Gagarin Yu.A. (in Russian), 2016, 136 p.].
- Dodson V.H. // J. Electrochem. Soc. 1961. V. 108. № 5. P. 406–412.
- Rüetschi P. // J. Electrochem. Soc. 1992. V. 139. № 5. P. 1347–1351.
- Антонов А.В. // Вестн. национ. техн. ун-та Харьковский политех. институт. Харьков. (Вісник НТУ “ХПІ”). 2013, № 47 (1020). С. 15.
- Михайленко В.Г., Антонов А.В. // Гальванотехника и обработка поверхности. 2014. Т. 22. № 2. С. 29.
- Li X., Pletcher D., Walsh F.C. Electrodeposited lead dioxide coatings // Chem. Soc. Rev. 2011. V. 40. P. 3879.
- ГОСТ 9.305-84. Единая система защиты от коррозии и старения. Покрытия металлические и неметаллические неорганические. Операции технологических процессов получения покрытий: межгосударственный стандарт: издание официальное. М.: ИПК Изд-во стандартов, 2003. [GOST 9.305-84. Unified system of corrosion and ageing protection. Metal and non-metal inorganic coatings. Technological process operations for coating production: interstate standard: official publication (in Russian). Moscow, 2003].
- Горбачев Н.В., Горбачева Е.Ю., Соловьева Н.Д., Краснов В.В. // Электрохим. энергетика. 2011. Т. 11. С. 154 [Gorbachev N.V., Gorbacheva E.Yu., Solov’eva N.D., Krasnov V.V. // Elektrokhim. Energetika (in Russian). 2011. V. 11. P. 154].
- Holzwarth U., Gibson N. The Scherrer equation versus the “Debye- Scherrer equation” // Nature Nanotechnology. 2011. V. 6. P. 534.
- Горелик С.С., Расторгуев Л.Н., Скаков Ю.А. Рентгенографический и электронно-оптический анализ. М.: МИСИС, 1994. 328 с.
- Tabat S., Nowacki A., Szcześniak B. // J. Power Sources. 1990. V. 31. P. 339.
- Velichenko A.B., Amadelli R., Benedetti A. et al. // J. Electrochem. Soc. 2002. V. 149. № 9. P. C445.
- Киселева И.Г., Кабанов Б.Н. // Докл. АН СССР. 1958. Т. 122. № 6. С. 1042.
- Yoon S.-H., Son J.-T., Oh J.-S. // J. Power Sources. 2006. V. 162. P. 1421.
Дополнительные файлы












