Photoinduced Destruction of Complex Cyanides Using Quasi-Monochromatic UVC Radiation of a KrCl Excilamp (222 nm)
- Autores: Batoeva A.A.1, Tsybikova B.A.1, Sizykh M.R.1
-
Afiliações:
- Baikal Institute of Nature Management, Siberian Branch, Russian Academy of Sciences
- Edição: Volume 97, Nº 12 (2023)
- Páginas: 1794-1800
- Seção: PHOTOCHEMISTRY, MAGNETOCHEMISTRY, MECHANOCHEMISTRY
- ##submission.dateSubmitted##: 26.12.2023
- ##submission.datePublished##: 01.12.2023
- URL: https://journal-vniispk.ru/0044-4537/article/view/233077
- DOI: https://doi.org/10.31857/S004445372312004X
- EDN: https://elibrary.ru/TMLPWJ
- ID: 233077
Citar
Texto integral
Resumo
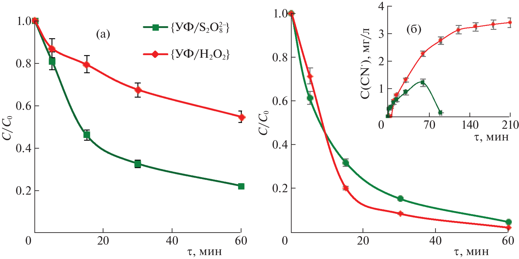
The kinetic regularities of photochemical oxidation of stable complex cyanides (hexacyanoferrates) with persulfate (oxidizing system {UV/S2O
}) and hydrogen peroxide (oxidizing system {UV/H2O2}) under the influence of quasi-monochromatic UVC radiation from a KrCl excilamp (222 nm) have been studied. According to the efficiency and rate of the destruction of the target compound, the oxidizing systems under study can be arranged in the following series: {UV/S2O2-8} > {UV/H2O2} > {UV}. The effective destruction of hexacyanoferrates at micromolar concentrations (≤47 μM) to nontoxic and biodegradable compounds in the combined {UV/S2O2-8} system is due to the high oxidizing ability of reactive oxygen species formed as a result of persulfate photolysis.
Palavras-chave
Sobre autores
A. Batoeva
Baikal Institute of Nature Management, Siberian Branch, Russian Academy of Sciences
Email: abat@binm.ru
670047, Ulan-Ude, Russia
B. Tsybikova
Baikal Institute of Nature Management, Siberian Branch, Russian Academy of Sciences
Email: abat@binm.ru
670047, Ulan-Ude, Russia
M. Sizykh
Baikal Institute of Nature Management, Siberian Branch, Russian Academy of Sciences
Autor responsável pela correspondência
Email: abat@binm.ru
670047, Ulan-Ude, Russia
Bibliografia
- Deng Y., Zhao R. // Curr. Pollut. Reports. 2015. V. 1. P. 167. https://doi.org/10.1007/s40726-015-0015-z
- Giannakis S., Lin K.Y.A., Ghanbari F. // Chem. Eng. J. 2021. V.406. https://doi.org/10.1016/j.cej.2020.127083
- Rodriguez-Narvaez O.M., Peralta-Hernandez J.M., Goonetilleke A. et al. // Chem. Eng. J. 2017. V. 323. P. 361. https://doi.org/10.1016/j.cej.2017.04.106
- Yang Y., Ok Y.S., Kim K.-H. et al. // Sci. Total Environ. 2017. V. 596–597. P. 303. https://doi.org/10.1016/j.scitotenv.2017.04.102
- Yang Q., Ma Y., Chen F. et al. // Chem. Eng. J. 2019. V. 378. P. 122149. https://doi.org/10.1016/j.cej.2019.122149
- Huang W., Bianco A., Brigante M. et al. // J. Hazard. Mater. 2018. V. 347. P. 279. https://doi.org/10.1016/j.jhazmat.2018.01.006
- Malato S., Fernandez-Ibanez P., Maldonado M. et al. // Catalysis Today. 2009. V. 147. P. 1. https://doi.org/10.1016/j.cattod.2009.06.018
- Tsydenova O., Batoev V., Batoeva A. // Int. J. Environ. Res. Public Health. 2015. V. 12. P. 9542. https://doi.org/10.3390/ijerph120809542
- Бойченко А.М., Ломаев М.И., Панченко А.Н. и др. Ультрафиолетовые и вакуумно-ультрафиолетовые эксилампы: Физика, техника и применения, STT, Томск. 2011. 512 с.
- Sosnin E., Avdeev S., Tarasenko V. et al. // Instruments Exp. Tech. 2015. V. 58. P. 309. https://doi.org/10.1134/S0020441215030124
- Popova S., Matafonova G., Batoev V. // Ecotoxicol. Environ. Saf. 2019. V. 169. P. 169. https://doi.org/10.1016/j.ecoenv.2018.11.014
- Sizykh M., Batoeva A., Tsydenova O. // Clean-Soil, Air, Water. 2018. V. 46. P. 1700187. https://doi.org/10.1002/clen.201700187
- Sizykh M., Batoeva A., Matafonova G. // J. Photochem. Photobiol. A Chem. 2023. V. 436. P. 114357. https://doi.org/10.1016/j.jphotochem.2022.114357
- Matafonova G., Batoev V. // Chemosphere. 2012. V. 89. P. 637. https://doi.org/10.1016/j.chemosphere.2012.06.012
- Budaev S.L., Batoeva A.A., Khandarkhaeva M.S. et al. // Russ. J. Phys. Chem. A. 2017. V. 91. P. 604. https://doi.org/10.1134/S0036024417030049
- Botz M.M., Mudder T.I., Akcil A.U. Cyanide Treatment: Physical, Chemical, and Biological Processes // Advanced in Gold Ore Processing ed. Adams M.D. Amsterdam: Elsevier Ltd. 2016. P. 619. https://doi.org/10.1016/B978-0-444-63658-4.00035-9.
- Kuyucak N., Akcil A. // Miner. Eng. 2013. V. 50–51. P. 13. https://doi.org/10.1016/j.mineng.2013.05.027
- Canonica S., Meunier L., von Gunten U. // Water Res. 2008. V. 42. P. 121. https://doi.org/10.1016/j.watres.2007.07.026
- ПНД Ф 14.1: 2.164-2000. Количественный химический анализ вод. Методика выполнения измерений массовых концентраций гексацианоферратов в пробах природных и сточных вод фотометрическим методом, ФБУ “ФЦАО”, Москва. 2009. 11 с.
- ПНД Ф 14.1: 2.56-96. Количественный химический анализ вод. Методика измерений массовой концентрации цианидов в природных и сточных водах фотометрическим методом с пиридином и барбитуровой кислотой. Москва. 2015. 27 с.
- Yang J., Zhu M., Dionysiou D.D. // Water Res. 2021. V. 189. P. 116627. https://doi.org/10.1016/j.watres.2020.116627
- Rosario-Ortiz F.L., Wert E.C., Snyder S.A. // Water Res. 2010. V. 44. P. 1440. https://doi.org/10.1016/j.watres.2009.10.031
- Sharma J., Mishra I.M., Kumar V. // J. Environ. Manage. 2015. V. 156. P. 266. https://doi.org/10.1016/j.jenvman.2015.03.048
- Yang S., Wang P., Yang X. et al. // J. Hazard. Mater. 2010. V. 179. P. 552. https://doi.org/10.1016/j.jhazmat.2010.03.039
- Anipsitakis G.P., Dionysiou D.D. // Appl. Catal. B. 2004. V. 54. P. 155. https://doi.org/10.1016/j.apcatb.2004.05.025
- Ghanbari F., Moradi M. // Chem. Eng. J. 2017. V. 310. https://doi.org/10.1016/j.cej.2016.10.064
- Furman O.S., Teel A.L., Watts R.J. // Environ. Sci. Technol. 2010. V. 44. P. 6423. https://doi.org/10.1021/es1013714
- Kusic H., Peternel I., Ukic S. et al. // Chem. Eng. J. 2011. V. 172. P. 109. https://doi.org/10.1016/j.cej.2011.05.076
- Neta P., Huie R., Ross A.B. // J. Phys. Chem. Ref. Data. 1988. V. 17. P. 1027. https://doi.org/10.1063/1.555808
- Ibargüen-López H., López-Balanta B., Betancourt-Buitrago L. et al. // J. Environ. Chem. Eng. 2021. V. 9. P. 106233. https://doi.org/10.1016/j.jece.2021.106233
- Duan X., Niu X., Gao J. et al. // Curr. Opin. Chem. Eng. 2022. V. 38. P. 100867. https://doi.org/10.1016/j.coche.2022.100867
- Lee Y.-M., Lee G., Zoh K.-D. // J. Hazard. Mater. 2021. V. 403. P. 123591. https://doi.org/10.1016/j.jhazmat.2020.123591
- Clifton C.L., Huie R.E. // Int. J. Chem. Kinet. 1989. V. 21. P. 677. https://doi.org/10.1002/kin.550210807
- Buxton G.V, Greenstock C.L., Helman W.P. et al. // J. Phys. Chem. Ref. Data. 1988. V. 17. P. 513. https://doi.org/10.1063/1.555805
- Nam S.-N., Han S.-K., Kang J.-W. et al. // Ultrason. Sonochem. 2003. V. 10. P. 139. https://doi.org/10.1016/S1350-4177(03)00085-3
- Попова С.А., Матафонова Г.Г., Батоев В.Б. // Изв. вузов. Химия и хим. технология. 2019. Т. 62. С. 118. (Popova S.A. Generation of radicals in the ferrous-persulfate system using KrCl excilamp / S.A. Popova, G.G. Matafonova, V.B. Batoev // Izvestiya Vysshikh Uchebnykh Zavedenii, Khimiya i Khimicheskaya Tekhnologiya. 2019. V. 62. № 5. P. 118–123) https://doi.org/10.6060/ivkkt.20196205.5819
- Светличный В.А., Кузнецова Р.Т., Копылова Т.Н. и др. // Оптика атмосферы и океана. 2001. V. 14. P. 38.
- Chen C., Du Y., Zhou Y. et al. // Water Res. 2021. V. 194. P. 116914. https://doi.org/10.1016/j.watres.2021.116914
- Sun B., Zheng Y., Shang C. et al. // J. Hazard. Mater. 2022. V. 430. P. 128450. https://doi.org/10.1016/j.jhazmat.2022.128450
Arquivos suplementares







