Резонансный захват электронов молекулами N-бензилоксикарбонил-глицил-L-пролина
- Autores: Муфтахов M.В.1, Щукин П.В.1, Туктаров Р.Ф.1
-
Afiliações:
- Уфимский федеральный исследовательский центр РАН
- Edição: Volume 98, Nº 8 (2024)
- Páginas: 80-87
- Seção: STRUCTURE OF MATTER AND QUANTUM CHEMISTRY
- ##submission.dateSubmitted##: 22.01.2025
- ##submission.dateAccepted##: 22.01.2025
- ##submission.datePublished##: 22.08.2024
- URL: https://journal-vniispk.ru/0044-4537/article/view/277694
- DOI: https://doi.org/10.31857/S0044453724080116
- EDN: https://elibrary.ru/PJIDAU
- ID: 277694
Citar
Texto integral
Resumo
Масс-спектр резонансного захвата электронов N-бензилоксикарбонил-глицил-L-пролина демонстрирует интенсивные отрицательные ионы в диапазоне низких энергий. Зарегистрирован ион с рекордным сечением 10–16 см2, образующийся последовательной фрагментацией молекулярного иона, инициируемой выбросом бензильного радикала и Н-сдвигом в промежуточном ионе и его декарбоксилированием. Особенности электронно-индуцированных реакций в N-бензилоксикарбонил-глицил-L-пролине позволяют предполагать, что его замещенные производные будут проявлять повышенную нейропсихотропную активность или будут обладать новыми свойствами по сравнению с производными N-фенилацетил-глицил-L-пролина.
Texto integral
Введение
Аминокислоты и пептиды используются в современной фармакологии, поскольку имеют широкое функциональное значение. В этой связи их фундаментальное исследование представляется важной задачей. К настоящему времени изучены процессы образования отрицательных ионов при резонансном захвате электронов молекулами практически всех незаменимых аминокислот алифатического, ароматического и гетероциклического строения. Исследование электронно-индуцированных реакций в пептидах было начато позже. Для ди- и трипептидов, состоящих из остатков глицина и аланина, было показано, что фрагментация молекулярных ионов в области высоких энергий в основном происходит в реакциях простого разрыва внутренних связей [1–3]. В низкоэнергетической области наиболее интенсивными каналами распада являются процессы выброса или миграции карбоксильного Н-атома. При исследовании дипептида аспартама, состоящего из остатков аспарагиновой кислоты и метилового эфира фенилаланина, были зарегистрированы аналогичные перегруппировочные процессы с участием карбоксильного Н-атома бокового заместителя [4]. Для модифицированного дипептида каптоприла, полученного заменой аминной группы в N-концевой аминокислоте в Cys-Pro на метильную группу, было установлено, что тиоловый фрагмент в боковом заместителе цистеина играет ту же роль, что и СООН-фрагмент в боковом заместителе аспарагиновой кислоты в аспартаме [5].
Каптоприл является наиболее простым по строению ингибитором ангиотензинпревращающего фермента и находит применение в медицине при лечении сердечной и почечной недостаточности. Составляющие его аминокислоты – цистеин и пролин – также используются в фармакологии. Некоторые производные глицилпролинов и пролилглицинов, активным метаболитом которых в живых организмах является нейропептид цикло-L-пролилглицин, проявляют целый спектр нейропсихотропной активности [6–8]. В настоящей работе объектом исследований был N-бензилоксикарбонил-глицил-L-пролин (Z-Gly-Pro) по своему строению очень похожий на N-фенилацетил-глицил-L-пролин, который в настоящее время рассматривается как основа для новой группы пептидных ноотропов [9]
N-бензилоксикарбонил-глицил-L-пролин
N-фенилацетил-глицил-L-пролин.
Экспериментальная часть
Эксперимент выполнен на магнитном масс-спектрометре МИ-1201В (СССР, 1987 г.), модифицированном для работы с отрицательными ионами [10]. Вкратце, электроны, эмитируемые катодом, проходят через камеру ионизации, где взаимодействуют с парами образцов, что приводит к образованию отрицательных ионов. Последние извлекаются из камеры, формируются в пучок, ускоряются, масс-анализируются, регистрируются вторично-электронным умножителем. Управление энергией электронного пучка осуществляется компьютером, в который синхронно заносится регистрируемый ионный сигнал. Для калибровки шкалы электронной энергии мы использовали максимумы кривых эффективного выхода ионов SF6–/SF6 (~0 эВ) и [M–H]–/CH3COOH (~1.55 эВ [11]). Энергии появления осколочных ионов (см. табл. 1) определялись относительно энергии появления SF6–/SF6 (~0 эВ). Методика определения сечения образования фрагментных отрицательных ионов описана в работе [12].
Таблица 1. Измеренные энергии появления (АЕ) и максимумы (МАХ) кривых эффективного выхода некоторых ионов из Z-Gly-Pro
Ионы, m/z | AE, эВ | MAX, эВ |
306 305 229 215 198 171 155 153 150 142 111 74 71 128.2 (m1*) 121.4 (m2*) 79.6 (m3*) 136.1 (m4*) | ~0 0.63 0.69 0.6 0.05 1.21 ~0 ~0.4 ~0 – 0.47 0.9 1.28 0.8 0.65 1.62 0.96 1.28 0.61 0.09 | ~0 1.02 0.93 0.88 0.34 1.5 ~0 0.73 ~0 0.73 0.8 1.06 1.67 1.21 0.85 2.0 1.31 1.6 0.96 0.4 |
Образец соединения N-бензилоксикарбонил-глицил-L-пролина (Z-Gly-Pro, 99%) был приобретен в Sigma/Aldrich Chemical Co. и был исследован без дополнительной очистки. Исследуемый образец был помещен на дно камеры ионизации, откуда происходило его испарение в результате нагрева до 1140С. Разрешение электронного пучка по энергии составляло DE1/2 ~ 0.5 эВ.
Расчеты. Энергетический порог диссоциативных реакций вычислялся на основе энтальпий образования нейтральных частиц и ионов (см. табл. 2), полученных путем корректировки нейронным методом X1 [13] полных энергий частиц, рассчитанных методом функционала плотности B3LYP в базисе 6–311+G(d, p).
Таблица 2. Вычисленные и взятые из NIST* значения DHf0 (кДж/моль)
A | DHf0 [A] |
Z-Gly-Pro | –823 |
HNCO | –102* |
•С6Н5СН2 | 207* |
С6Н5СН2ОН | –95 |
•С6Н5СН2ОС(О) | –71 |
С6Н5СН2ОС(О)NН– | –341 |
С6Н5СН2ОС(О)NН2 | –314 |
CO2 | –394* |
–464 | |
–667 | |
–1051 | |
–689 | |
–509 | |
–394 | |
–41 |
Обсуждение результатов
Отрицательные ионы из N-бензилоксикарбонил-глицил-L-пролина зарегистрированы в диапазоне энергии ~0–12 эВ, кривые эффективного выхода некоторых из них в функции от электронной энергии (Ее) представлены на рис. 1. (Полный набор кривых эффективного выхода всех ионов приведен в разделе «Дополнительные материалы».)
Рис. 1. Кривые эффективного выхода некоторых отрицательных ионов в функции от электронной энергии (Ее) из N-бензилоксикарбонил-глицил-L-пролина. На панелях справа указано массовое число (m/z) ионов.
Весь диапазон Ее мы условно разделили на две области, в которых зарегистрированы резонансные пики отрицательных ионов: низкоэнергетическая (Ее < 5 эВ) и высокоэнергетическая (Ее > 5 эВ). Распад молекулярных ионов в низкоэнергетической области осуществляется по большему числу каналов и с большей эффективностью, чем в высокоэнергетической области. Основным критерием установления строения продуктов диссоциации молекулярных ионов была энергетика процессов. Для удобства изложения результатов здесь приведена схема:
На ней показаны массовые числа ионов, которые гипотетически могут образоваться простым разрывом той или иной связи в пептиде. Большинство образующихся отрицательных ионов – концевые, но есть и так называемые внутренние ионы (m/z 111, 99, 42 и др.).
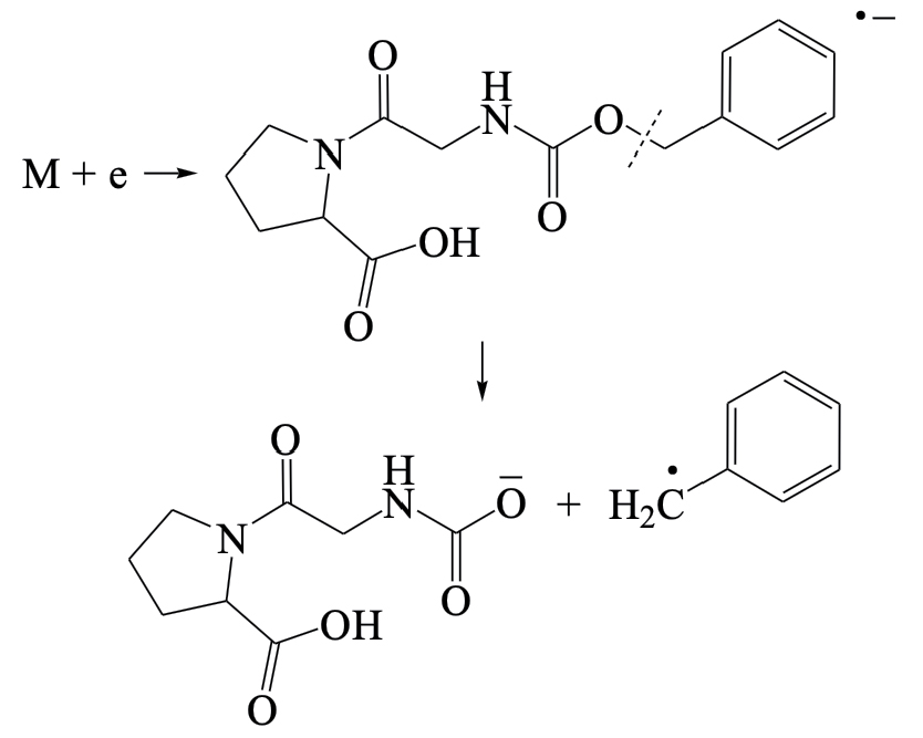
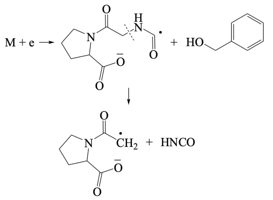
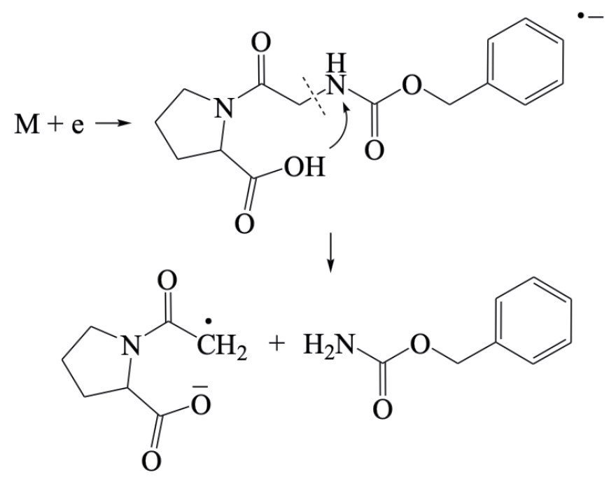
Анализ экспериментальных данных привел нас к выводу, что процессы в отрицательных ионах N-бензилоксикарбонил-глицил-L-пролина сходны с таковыми для ранее изученных нами олигопептидов и обусловлены свойствами пептидных и карбоксильной группировок. Эти процессы являются характеристичными, поскольку представляют основные направления фрагментации молекулярных ионов из любых пептидов. Для низкоэнергетической области характерны интенсивные процессы Н-сдвига в молекулярных ионах N-бензилоксикарбонил-глицил-L-пролина, и перегруппировочные ионы вносят основной вклад в полный ионный ток. Например, радикал-ион с m/z 155 образуется разрывом связи N–Cα и миграцией Н-атома СООН-группы к N-атому незаряженного фрагмента распада:
(AE = 0.005 эВ).
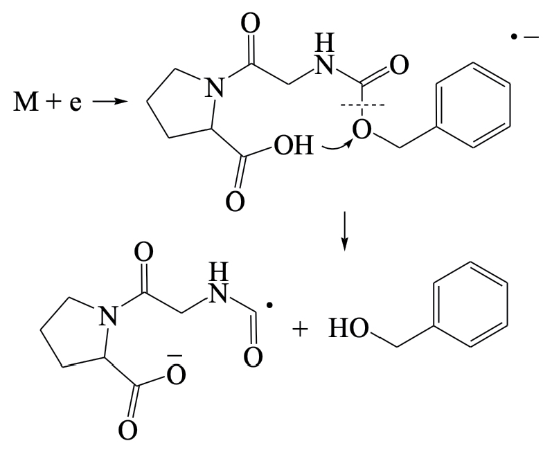
Точно так же образуется радикал-ион с m/z 198 – разрыв связи С-О сопровождается миграцией Н-атома СООН-группы к О-атому незаряженного фрагмента распада:
(AE = 0.400 эВ).
Сечение этих отрицательных ионов составляет 3.5˟10–18 см2, что сравнимо с таковыми для подобных ионов в ранее исследованных пептидах. По аналогичному перегруппировочному механизму образуются менее интенсивные ионы с m/z 229, 142, 114 и др., но здесь мигрирующий Н-атом остается в составе заряженного фрагмента распада.
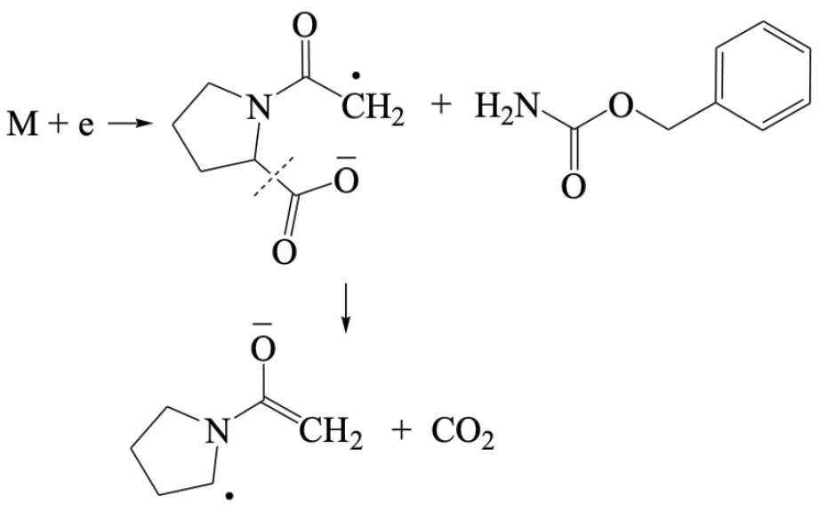
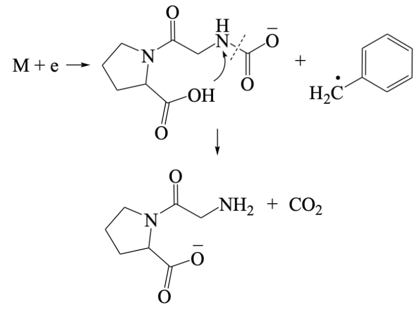
Некоторые фрагментные ионы нестабильны относительно фрагментации и испытывают дальнейший распад. Метастабильный пик с кажущейся m/z 79.6 в масс-спектре свидетельствует, что часть ионов с m/z 155 фрагментируют в ионы с m/z 111, рис. 2. В рамках интерпретации метастабильного распада мы предлагаем реакцию:
(AE = 0.772 эВ).
Рис. 2. Участки масс-спектра отрицательных ионов N-бензилоксикарбонил-глицил-L-пролина, зарегистрированные при различных энергиях электронов.
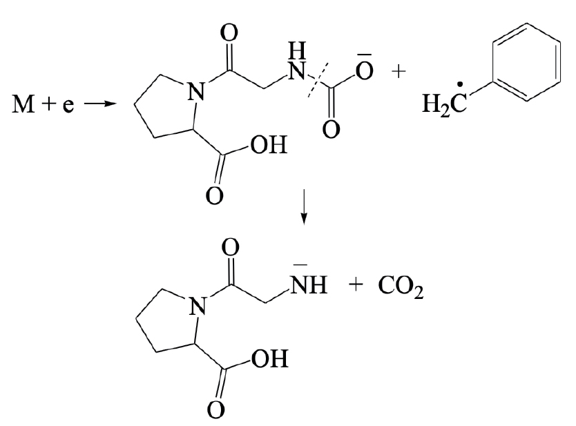
Метастабильный пик с кажущейся m/z 121.4 указывает на распад ионов с m/z 198 в ионы с m/z 155:
(AE = 1.219 эВ).
Отметим, что ионы с m/z 155, образующиеся в реакции (4), не являются родительскими ионами для ионов с m/z 111, образующихся в реакции (3).
В области энергии свыше 5 эВ молекулярные ионы фрагментируют в основном простым разрывом связи, и в этих реакциях образуются малоинтенсивные ионы с m/z 91, 107, 114 и др. Ион с m/z 150 образуется в реакции:
(AE = 0.915 эВ)
и это единственный процесс простого разрыва связи N–Cα, происходящий в низкоэнергетической области, обнаруженный нами в ранее исследованных пептидах. Интенсивность этого иона в масс-спектре вдвое меньше таковой иона с m/z 155, который является его прямым конкурентом по разрываемой связи. Согласно принципу наименьших структурных изменений в ходе реакций процесс простого разрыва связи должен быть более интенсивным, чем перегруппировочный распад при прочих равных условиях и, таким образом, соотношение интенсивностей обсуждаемых ионов должно быть противоположным наблюдаемому. Причиной этого противоречия может быть дополнительный фактор – термодинамическая стабильность отрицательных ионов, зависящая от электронного сродства соответствующих им незаряженных форм. Поскольку электронное сродство карбоксильных радикалов превышает таковое амидных радикалов на ~0.8 эВ [11], то ионы с m/z 155 стабильнее ионов с m/z 150, что, по-видимому, повлияло на соотношение их интенсивностей.
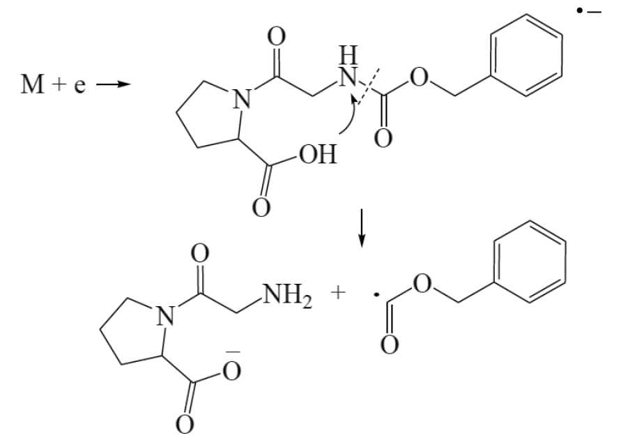
С неожиданно низким выходом образуются ионы [M–H]– (m/z 305) с карбоксильной структурой, и их сечение составляет 5˟10–19 см2. В алифатических дипептидах эти ионы образуются с сечением 3˟10–18 см2 и им соответствует максимальный пик в масс-спектре; или же их относительная интенсивность сравнима с таковой перегруппировочных ионов в низкоэнергетической области. Вероятно, такое различие в интенсивностях и сечениях обсуждаемых ионов в пептидах связано с циклической структурой пролина, входящего в состав N-бензилоксикарбонил-глицил-L-пролина в качестве С-концевой аминокислоты. Этот вывод основан на сравнении сечения образования ионов [M–H]– из пролина (2.9˟10–19 см2 [14]) с таковыми из глицина (1.3˟10–18 см2) и аланина (1.6˟10–18 см2) [1].
Схема образования ионов с m/z 171 в реакции:
(AE = 0.881 эВ)
мало чем отличается от схемы образования ионов с m/z 198 и 155 в реакциях (1, 2), но есть две странности. Во-первых, для пика с максимумом при 0.72 эВ экспериментально измеренная энергия появления ~0.4 эВ не соответствует пороговой энергии процесса 0.881 эВ, к тому же его кривая выхода показывает неотчетливое плечо в области тепловых энергий (Ее ~ 0 эВ). Во-вторых, его сечение составляет рекордное значение 10–16 см2, что не наблюдалось в ранее исследованных пептидах, а относительная интенсивность пика в масс-спектре на полтора порядка превышает интенсивность остальных ионов. Не меньшее удивление вызывает также ион с m/z 215. Он имеет карбоксильную структуру и образуется простым разрывом связи в реакции (7). По совокупности факторов этот ион должен иметь очень высокий выход. Однако его интенсивность на полтора порядка меньше таковой ионов с m/z 198, 155 и 150.
AE = –0.212 эВ
Несоответствие возможной и наблюдаемой интенсивности иона с m/z 215 поддерживается результатами исследования отрицательных ионов из акриданона и его N-производных [15]. В этой работе в числе прочих объектов изучался бензиловый эфир акриданонуксусной кислоты (АСН2СОО-СН2Рh, где А – акриданоновый каркас). В его масс-спектре ион АСН2СОО–, образовавшийся простым разрывом связи, регистрировался как наиболее интенсивный ион в диапазоне электронной энергии ~0–1 эВ. По соответствующему метастабильному пику в масс-спектре было установлено, что этот ион нестабилен относительно дальнейшей фрагментации и распадается выбросом молекулы СО2 в диапазоне электронной энергии ~1–4 эВ [16]. Молекулу N-бензилоксикарбонил-глицил-L-пролина можно рассматривать как бензиловый эфир сложной карбоновой кислоты (RСОО-СН2Рh). Аналогия в структурах этих двух объектов предполагает идентичность реакций в их отрицательных ионах. Целенаправленный поиск позволил обнаружить в масс-спектре N-бензилоксикарбонил-глицил-L-пролина метастабильный пик с кажущейся m/z 136.1 исчезающе малой интенсивности, рис. 2. Он свидетельствует о фрагментации ионов с m/z 215 в ионы с m/z 171 в диапазоне электронной энергии ~0–1.5 эВ, реакция (8). На основе этого был сделан вывод о том, что в диапазоне электронной энергии ~0–1.5 эВ ионы с m/z 215 образуются с большим сечением и практически полностью распадаются в ионы с m/z 171 из-за экзотермичности последнего процесса. Вместе с тем мы не исключаем возможности образования ионов с m/z 171 в двухчастичном процессе по схеме реакции (6), но сечение для них должно быть сравнимо с сечениями для ионов с m/z 198, 155, 150.
Таким образом, протекание интенсивной реакции (8) обусловлено суммой факторов. Первый фактор заключается в том, что эфирная группа N-бензилоксикарбонил-глицил-L-пролина содержит бензильный фрагмент, а не, например, алкильный. Этот вывод следует из результатов [15], где в числе прочих объектов изучалась акриданонуксусная кислота (АСН2СООН) и ее гексиловый эфир (АСН2СОО-С6Н13). В последнем ионы АСН2СОО– регистрировались в области высоких энергий с малым выходом, а в области низких энергий не были обнаружены. Причина такой избирательности в реакциях отрицательных ионов из этих эфиров неясна, – возможно, она связана с различной высотой потенциальных барьеров. В самой кислоте ионы АСН2СОО– наблюдались только в области низких энергий с малым выходом. Второй фактор заключается в том, что пролиновый фрагмент N-бензилоксикарбонил-глицил-L-пролина содержит СООН-группу с подвижным атомом водорода. При ее замене на СООAlk-, СОNH2-группы и др. процесс распада молекулярных ионов эфира, амида и др. с последовательным выбросом PhCH2-группы и молекулы СО2 может произойти при более высокой энергии с образованием малоинтенсивного иона аминной структуры. Основанием для этого утверждения является малоинтенсивная ступенька на кривой выхода ионов с m/z 171 в районе 2 эВ, обусловленная реакцией (9). Очевидно, что в масс-спектре, например, амида Z-Gly-Pro-NH2 максимальную интенсивность будет иметь пик иона с m/z 214 карбоксильной структуры, аналогичной структуре иона с m/z 215 из N-бензилоксикарбонил-глицил-L-пролина. Более того, в масс-спектре будут отсутствовать пики аналогов всех перегруппировочных ионов, обусловленных миграцией карбоксильного Н-атома в N-бензилоксикарбонил-глицил-L-пролине.
AE = –0.438 эВ
AE = 1.665 эВ
Можно выдвинуть и некоторые предположения о возможных электронно-индуцированных реакциях в N-фенилацетил-глицил-L-пролине. Его масс-спектр должен быть похож на масс-спектр N-бензилоксикарбонил-глицил-L-пролина, и основную роль в процессах ионообразования в области низких энергий будет играть подвижный Н-атом СООН-группы. Небольшие отличия могут проявляться в относительных интенсивностях однотипных для обоих объектов ионов и расположении их кривых эффективного выхода на шкале энергии, а также в отсутствии некоторых малоинтенсивных ионов или в образовании новых видов ионов с низким выходом. Основное отличие будет заключаться в отсутствии процессов, однотипных с реакциями (7) – (9).
В масс-спектрах ранее исследованных пептидов не были обнаружены молекулярные ионы, поскольку они образуются в короткоживущих состояниях. Анионы в дипольно-связанном состоянии не доживают до регистрации в масс-спектрометрическом эксперименте из-за малой величины электронного сродства молекул, а в случае валентных резонансов электронное сродство молекул и вовсе имеет отрицательное значение. Необычностью N-бензилоксикарбонил-глицил-L-пролина, отличающего его от других пептидов, является факт регистрации в его масс-спектре пика с m/z 306, соответствующего молекулярному иону. Мы проанализировали несколько версий возникновения этого иона. Согласно первой версии, образец содержит примесь, в которой группа NH заменена на О-атом, или группа СH2 заменена на группу NH. Тогда пик с m/z 306 представляет ион [M–H]– из примеси, образующийся так же, как ион [M–H]– с m/z 305 из N-бензилоксикарбонил-глицил-L-пролина. Эксперимент по определению времени жизни иона с m/z 306 опровергает предположение о том, что он является осколочным ионом. Для обоих обсуждаемых ионов регистрировалась незаряженная компонента ионного пучка, обусловленная потерей ионами электрона во второй бесполевой области. Ее интенсивность была в 230 раз меньше интенсивности иона с m/z 305 (как и в случае нейтралей для ионов с m/z 171, 198, 155), что соответствует процессу выбивания электрона в результате столкновения ионов с молекулами остаточного атмосферного газа, а не автоотщеплению электрона. Отношение интенсивностей иона с m/z 306 и его нейтрали составляет 21, что обусловлено большим вкладом в интенсивность нейтралей процесса спонтанного выброса электрона ионами. Из этого значения было определено время жизни иона относительно автонейтрализации как в [17], учитывающей вклад изотопного пика от иона с m/z 305 и вклад от столкновительного процесса. При энергии ~0 эВ время жизни составляет 340 мкс и плавно уменьшается до 100 мкс при 1.5 эВ. Следовательно, первая версия несостоятельна. Согласно второй версии, образец содержит примесь вещества, имеющего одинаковый элементный состав с N-бензилоксикарбонил-глицил-L-пролином, но с альтернативным расположением атомов в молекуле. Строение такой молекулы может представлять π-сопряженную систему, в которой энергия низшей вакантной орбитали имеет отрицательное значение, что подразумевает положительное сродство молекулы к электрону. (Например, взаимодействие вакантных π-орбиталей фрагментов бензола и формальдегида в молекуле бензальдегида приводит к стабилизации ее низшей вакантной π-орбитали до отрицательного значения энергии [18] и обеспечивает положительное электронное сродство молекулы [19].) Опровергнуть или доказать эту версию не представляется возможным. Отметим лишь, что такая возможная примесь не внесет заметные искажения в масс-спектр N-бензилоксикарбонил-глицил-L-пролина, поскольку относительная интенсивность осколочных ионов должна быть низкой. Это следует из результатов исследования отрицательных ионов из азобензолов, карборанов, полиароматических углеводородов и др. Они образуют долгоживущие молекулярные отрицательные ионы при резонансном захвате электронов нетепловых энергий, и в масс-спектрах этих объектов относительная интенсивность осколочных ионов на несколько порядков меньше таковой молекулярных ионов. Согласно третьей версии, π-сопряженная система реализуется в одном из многочисленных конформеров молекулы N-бензилоксикарбонил-глицил-L-пролина. Идентифицировать этот конформер расчетным способом не представляется возможным, поскольку даже для простейшей аминокислоты глицина известно 5 устойчивых конформеров [20]. К тому же возможен вариант устойчивого молекулярного иона, не имеющего нейтрального аналога такой же структуры.
Заключение
В результате проведенных исследований электронно-индуцированных реакций в модифицированном дипептиде N-бензилоксикарбонил-глицил-L-пролине была установлена их идентичность с реакциями в других ранее исследованных олигопептидах в аналогичных условиях. Распад молекулярных ионов в низкоэнергетической области осуществляется по большему числу каналов и с большей эффективностью, чем в высокоэнергетической области. Эти распады представляют собой реакции Н-сдвига, поскольку протекание многих реакций простого разрыва связей затруднено по энергетическим причинам. Перегруппировочный механизм заключается в миграции подвижного атома водорода СООН-группы к одному из радикальных центров, возникающих при разрыве внутренних связей в молекулярном ионе, что обусловлено возможностью образования низкоэнтальпийных ионов с карбоксильной структурой. Отличительной особенностью процессов в N-бензилоксикарбонил-глицил-L-пролине является выделение сверхинтенсивного иона с карбоксильной структурой депротонированного глицилпролина. Эта реакция заключается в последовательной фрагментации молекулярного иона, инициируемая выбросом бензильного фрагмента с последующим Н-сдвигом в промежуточном ионе и его декарбоксилированием.
Процессы генерации и деградации отрицательных ионов в электронно-молекулярных взаимодействиях в ряде случаев представляют аналогии процессов, происходящих в живых организмах. Эти аналогии могут проявляться на отдельных этапах в цепи реакций и дают ключ к пониманию их механизмов. Примером таких аналогий является перегруппировочная фрагментация молекулярных отрицательных ионов в вакууме и ферментативный гидролиз молекул пептидов. Общим в этих реакциях является диссоциация пептидной связи в молекулярной системе и прилипание внутреннего (в ионах) или внешнего (в молекулах) атома водорода к атому азота N-концевой аминокислоты. Поэтому можно ожидать, что в живых организмах производные похожих по структуре пептидов N-бензилоксикарбонил-глицил-L-пролина и N-фенилацетил-глицил-L-пролина должны метаболизироваться в цикло-пролилглицин по аналогичной схеме. Вместе с тем, вышеназванная особенность электронно-индуцированных реакций в N-бензилоксикарбонил-глицил-L-пролине позволяет предполагать, что его замещенные по С-концу производные будут обладать новыми свойствами или действовать эффективнее производных N-фенилацетил-глицил-L-пролина. Но для выяснения этого необходимы исследования in vitro и in vivo.
Работа выполнена в рамках государственного задания № НИОКТР И223011200702-4
Sobre autores
M. Муфтахов
Уфимский федеральный исследовательский центр РАН
Autor responsável pela correspondência
Email: LMSNI@anrb.ru
Институт физики молекул и кристаллов
Rússia, 450075, УфаП. Щукин
Уфимский федеральный исследовательский центр РАН
Email: LMSNI@anrb.ru
Институт физики молекул и кристаллов
Rússia, 450075, УфаР. Туктаров
Уфимский федеральный исследовательский центр РАН
Email: LMSNI@anrb.ru
Институт физики молекул и кристаллов
Rússia, 450075, УфаBibliografia
- Муфтахов М.В., Щукин П.В. // Изв. АН. Сер. хим. 2010. № 5. С. 875. (doi: 10.31857/S0044453723050187) [Russ. Chem. Bull. Int. Ed. 2010. V.50. P. 896.]
- Muftakhov M.V., Shchukin P.V. // Phys.Chem.Chem.Phys. 2011. V.13. P. 4600. (https://doi.org/10.1039/C0CP00940G)
- Муфтахов М.В., Щукин П.В. // Изв. АН. Сер. хим. 2014. № 3. С. 642.
- Muftakhov M.V., Shchukin P.V. // Rapid Commun. Mass Spectrom. 2016. V.30. P. 1. (doi: 10.1002/rcm.7738)
- Муфтахов М.В., Щукин П.В. // Изв. АН. Сер. хим. 2019. № 9. С. 1675. [Muftakhov M.V., Shchukin P.V. // Rus.Chem. Bulletin. 2019. V.68. № 9. P. 1675. (doi: 10.1007/s11172-019-2611-3)]
- Gudasheva T.A., Boyko S.S., Akparov V. Kh. et al. // FEBS Letters. 1996. V.391. P. 149. (doi: 10.1016/0014-5793(96)00722-3)
- Gudasheva T.A., Boyko S.S., Ostrovskaya R.U. et al. // European J. of Drug Metabolism and Pharmacokinetics. 1997. V. 22. № 3. P. 245. (doi: 10.1007/BF03189814)
- Островская Р.У., Гудашева Т.А., Воронина Т.А., Середенин С.Б. // Эксперим. и клинич. фармакология. 2002. Т. 65. № 5. С. 66. (DOI: https://doi.org/10.30906/0869-2092-2002-65-5-66-72)
- Гудашева Т.А., Колясникова К.Н., Кузнецова Е.А., и др. // Хим.-фарм. журн. 2016. Т. 50. № 11. С. 3. (doi: 10.30906/0023-1134-2016-50-11-3-8)
- Мазунов В.А., Щукин П.В., Хатымов Р.В., Муфтахов М.В. // Масс-спектрометрия. 2006. Т. 3. № 1. С. 11.
- Muftakhov M.V., Vasil’ev Yu. V., Mazunov V.A. // Rapid Commun. Mass Spectrom. 1999. V.13. P. 1104. (doi: 10.1002/(sici)1097-0231(19990630)13:123.0. co;2-c)
- Khatymov R.V., Muftakhov M.V., Mazunov V.A. // Ibid. 2003. V.17. P. 2327. (doi: 10.1002/RCM.1197)
- Wu J. and Xu X. // J. Chem. Phys. 2007. V.127. P. 214105.
- Муфтахов М.В., Щукин П.В. // Изв. АН. Сер. хим. 2011. № 10. С. 1931.
- Muftakhov M.V., Vasil’ev Y.V., Khatymov R.V. et al. // Rapid Commun. Mass Spectrom. 1999. V.13. P. 912.
- Shchukin P.V., Muftakhov M.V., Khatymov R.V., Pogulay A.V. // Int. J. Mass Spectrom. 2008. V.273. P. 1. (doi: 10.1016/j.ijms.2008.02.004)
- Муфтахов М.В., Щукин П.В. // Масс-спектрометрия. 2013. Т. 1. № 10. C. 39. (doi: 10.1134/S1061934813140086)
- Scheer A.M., Aflatooni K., Gallup G.A., Burrow P.D. // J. Phys. Chem. A. 2014. V.118. No.35. P. 7242. (doi: 10.1021/jp409345m)
- Buonaugurioa A., Zhanga X., Stokesb S.T. et al. // Int. J. Mass Spectrom. 2014. V.377. P. 278. (http://dx.doi.org/10.1016/j.ijms.2014.05.006)
- Nguyen D.T., Scheiner A.C., Andzelm J.W. et al. // J. Comput. Chem. 1997. V.18. P. 1609.
Arquivos suplementares























