Теплоемкость и термодинамические функции твердого раствора Yb2O3‧2HfO2
- Authors: Гуськов А.В.1, Гагарин П.Г.1, Гуськов В.Н.1, Хорошилов А.В.1, Гавричев К.С.1
-
Affiliations:
- Институт общей и неорганической химии им. Н. С. Курнакова РАН
- Issue: Vol 98, No 9 (2024)
- Pages: 50-55
- Section: 100-ЛЕТИЮ ЛАБОРАТОРИИ ХИМИЧЕСКОЙ ТЕРМОДИНАМИКИ МГУ
- Submitted: 07.03.2025
- Accepted: 07.03.2025
- Published: 30.12.2024
- URL: https://journal-vniispk.ru/0044-4537/article/view/282757
- DOI: https://doi.org/10.31857/S0044453724090078
- EDN: https://elibrary.ru/OODJQM
- ID: 282757
Cite item
Full Text
Abstract
Методами релаксационной, адиабатической и дифференциальной сканирующей калориметрии на синтезированном и охарактеризованном РФА, электронной микроскопией и химическим анализом образце твердого раствора Yb2O3‧2HfO2 проведены измерения изобарной теплоемкости в интервале 2.4–1807 K и рассчитаны термодинамические функции с учетом вклада низкотемпературного превращения. Выделен вклад аномалии Шоттки в теплоемкость в области 2.4–300 K.
Full Text
ВВЕДЕНИЕ1
Изучение фазовых равновесий в системах диоксид гафния – оксиды редкоземельных элементов подгруппы иттрия показало образование широких концентрационных областей существования непрерывного ряда твердых растворов xRE2O3‧2(1-x)HfO2 на основе кубического диоксида гафния [1]. Эти твердые растворы образуются заменой иона Hf 4+на ион RE3+ в кубической решетке типа флюорита, а компенсация заряда происходит в результате образования вакансии кислорода [2]. Было установлено, что твердые растворы оксидов гафния и иттербия характеризуются рекордно высокой температурой плавления ~2875°C вблизи значения х=0.5, т. е. соотношения металлов 1:1 [1]. Несколько иная температура плавления ~ 2710°C твердого раствора Yb2O3‧2HfO2 найдена в выполненной ранее работе [3]. Однако более подробные исследования фазовых равновесий, проведенные в [4], подтвердили, что температура плавления этого твердого раствора близка к максимальной температуре существования двойного оксида лютеция-гафния (~2900°C) и превышает как температуру плавления диоксида гафния (2715°C), так и температуры плавления остальных двойных оксидов гафния и редкоземельных элементов, включая гафнаты “легких” лантаноидов RE2Hf2O7. Таким образом, следует считать твердый раствор рационального состава Yb2O3‧2HfO2 одним из наиболее тугоплавких веществ. Важным свойством этих твердых растворов является отсутствие структурных превращений во всей области существования, нижний предел которой для Yb2O3‧2HfO2 составляет ~ 650°C. По данным [4] ниже этой температуры в результате довольно длительного отжига (> 5000 ч) наблюдается его распад на моноклинный диоксид гафния и, так называемую, гексагональную δ-фазу –Yb4Hf3O12. Аналогичный распад наблюдали и в случае систем ZrO2–Y2O3 и HfO2–Y2O3 [5]. Длительности отжигов, которые позволили зафиксировать процесс распада, свидетельствуют о крайне низких скоростях диффузии компонентов этих твердых растворов и их устойчивом метастабильном состоянии. Тем не менее, о возможности распада твердых растворов не следует забывать при практическом применении высокотемпературных материалов на их основе. Перспективы практического использования твердых растворов структурного типа флюорита достаточно широки и включают термобарьерные покрытия [6], электролиты твердооксидных топливных элементов [7, 8], материалы для иммобилизации ядерных отходов [9, 10]. Что касается оксида иттербия, то особый интерес к нему связан с разработкой на основе лантаноидов так называемых “высокоэнтропийных” оксидов: иттербий имеет максимальную атомную массу и минимальный атомный радиус среди относительно доступных лантаноидов, что способствует понижению теплопроводности [11–13].
Важным требованием к защитным материалам является химическая стойкость по отношению к агрессивному окружению при высоких температурах. Так как прямые исследования коррозионной стойкости в экстремальных условиях затратны и затруднительны, то математическое моделирование может значительно упростить эту задачу [14, 15]. Однако для его проведения необходимо знание термодинамических свойств участвующих в высокотемпературных процессах веществ.
Нами ранее опубликованы результаты исследования теплоемкостей и термического расширения твердых растворов Ln2O3‧2HfO2(Ln = Dy, Ho, Er, Tm, Yb, Lu) в интервале температур 300–1300 K [16].
Целью настоящей публикации являются результаты определения теплоемкости и расчета термодинамических функций твердого раствора Yb2O3‧2HfO2 интервале температур 2–1800 K.
ЭКСПЕРИМЕНТАЛЬНАЯ ЧАСТЬ
Синтез твердого раствора проводили обратным осаждением гидроксидов иттербия и гафния с последующим ступенчатым отжигом. Последнюю стадию отжига проводили в течение 4 ч при температуре ~1600°C. Идентификацию полученного твердого раствора Yb2O3‧2HfO2 осуществляли методами РФА, РЭМ и ИСП. Измерения теплоемкости проводили методом релаксационной калориметрии (2–20 K) на установке измерения физических свойств PPMS-9, адиабатической калориметрии (5–347 K) – на автоматическом калориметре БКТ-3. Подробное описание синтеза, идентификации и измерений теплоемкости содержится в работе [17]. Для измерений теплоемкости в интервале температур 317–1807 K использовали установку термического анализа DSC404 F1 Pegasus® фирмы Netzsch [18].
Молярную массу твердого раствора рассчитывали в соответствии с рекомендациями [19].
ОБСУЖДЕНИЕ РЕЗУЛЬТАТОВ
В результате синтеза был получен однофазный образец Yb2O3‧2HfO2 с параметром кубической ячейки структурного типа флюорита а =5.157(1) Å, рис. 1. По данным химического анализа образец содержал 49.97±0.05 мол .% 2HfO2. По результатам EDX он не содержал посторонних примесей и не являлся наноразмерным (Приложение, рис.П1), что подтверждено оценками полуширины рефлексов дифрактограммы по Шереру.
Рис. 1. Дифрактограмма образца твердого раствора Yb2O3‧2HfO2, структурный тип Fm3m, а = 5.157(1) Å, CuKα-излучение, λ = 1.5418 Å.
Измерения теплоемкости выполнены методами релаксационной 2.36–19.76 K (30 точек), адиабатической 4.97–246.9 K (143 точки) и дифференциальной сканирующей калориметрией 317–1807 K (150 точек). Экспериментальные результаты приведены в Приложении, таблица П1, и на рис. 2. Данные, полученные разными методами, удовлетворительно согласуются между собой, а температурная зависимость теплоемкости не содержит признаков структурных превращений.
Рис. 2. Экспериментальная теплоемкость твердого раствора Yb2O3‧2HfO2 по результатам: 1 – релаксационной, 2 – адиабатической и 3 – дифференциальной сканирующей калориметрии; на врезках – области низких температур (0–37 K) и стыковки данных адиабатической и дифференциальной сканирующей калориметрии (320–360 K).
Температурная зависимость теплоемкости в области 20–70 K практически совпадает с теплоемкостью твердого раствора Lu2O3‧2HfO2 [20], а понижение температуры от 20 K сопровождается появлением минимума на кривой теплоемкости (~10 K и ~0.85 Дж/(моль K)), рис. 3, и ее дальнейшим ростом. Возрастание теплоемкости обусловлено магнитным превращением с максимумом, который находится при температурах ниже 2.4 K. Заметное влияние магнитного превращения на теплоемкость у соединений лантаноидов, как правило, заканчивается в области 15–20 K [21]. Совпадение теплоемкостей твердых растворов Yb2O3‧2HfO2 и Lu2O3‧2HfO2 объясняется, с одной стороны, результатом возрастания массы лютеция относительно иттербия, которое компенсируется уменьшением объема кристаллической решетки из-за лантаноидного сжатия, с другой – отсутствием заметного вклада аномалии Шоттки в этой области температур.
Рис. 3. Молярная теплоемкость твердого раствора Yb2O3‧2HfO2 в области температур 0–42 K по результатам: 1 – релаксационной и 2 – адиабатической калориметрии; 3 – теплоемкость твердого раствора Lu2O3‧2HfO2[20].
Повышение теплоемкости твердого раствора Yb2O3‧2HfO2 относительно Lu2O3‧2HfO2 за счет вклада аномалии Шоттки [22] наблюдается при температурах выше ~70 K (рис. 4) и достигает максимума ~15 Дж/(моль K) около 300 K. Определение разности при более высоких температурах не имеет смысла из-за погрешностей в измерениях теплоемкости методом ДСК.
Рис. 4. Разность теплоемкостей твердых растворов Yb2O3‧2HfO2 и Lu2O3‧2HfO2 [20].
Совпадение теплоемкостей Yb2O3‧2HfO2 и Lu2O3‧2HfO2 при температурах в интервале 20–70 K позволяет считать, что накопленная ниже 20 K решеточная энтропия Yb2O3‧2HfO2 имеет ту же величину, что и для Lu2O3‧2HfO2 [20]. Считая, что магнитное превращение увеличивает энтропию твердого раствора на 2Rln2 ≈ ≈ 11.53 Дж/(моль K), общая величина энтропии твердого раствора Yb2O3‧2HfO2 составит при 20 K S(20 K) ≈ 12.97 Дж/(моль K). Последующие расчеты термодинамических функций проведены с учетом этой оценки энтропии. Более точное значение может быть получено при исследовании теплоемкости в интервале температур 0–2.5 K, которое в настоящее время недоступно для нас.
Сглаживание теплоемкости выполнено в области 2–40 K с использованием полинома пятой степени Cp=ΣAiT i (i=0…5), а в температурных интервалах 20–350 и 250–1800 K – с помощью программы CpFit, основанной на линейной комбинации функций Эйнштейна: Cp(T) = = 3RSai[(qi/T)2eqi/T/(eqi/T – 1)2], где R – универсальная газовая постоянная, ai и qi – варьируемые параметры [23, 24]. Сглаженные значения теплоемкости и рассчитанные значения термодинамических функций приведены в таблице 1, а параметры использованных моделей содержатся в табл.П2 Приложения.
Таблица 1. Теплоемкость и термодинамические функции твердого раствора Yb2O3‧2HfO2 (флюорит)
T, K | Cp Дж/(моль K) | S(T) Дж/(моль K) | H(T)–H(0 K) Дж/моль |
2 | 2.952 | 8.96 | 8.98 |
3 | 2.366 | 10.04 | 11.63 |
4 | 1.871 | 10.66 | 13.74 |
5 | 1.465 | 11.03 | 15.41 |
6 | 1.146 | 11.27 | 16.70 |
7 | 0.910 | 11.42 | 17.73 |
8 | 0.755 | 11.53 | 18.56 |
9 | 0.680 | 11.62 | 19.27 |
10 | 0.682 | 11.69 | 19.96 |
12 | 0.910 | 11.83 | 21.54 |
14 | 1.423 | 12.00 | 23.92 |
16 | 2.207 | 12.24 | 27.70 |
18 | 3.245 | 12.56 | 33.47 |
20 | 4.522 | 12.97 | 41.81 |
25 | 8.422 | 14.33 | 72.83 |
30 | 13.59 | 16.31 | 127.6 |
35 | 19.36 | 18.8 | 209.8 |
40 | 25.43 | 21.8 | 321.7 |
45 | 31.62 | 25.2 | 464.3 |
50 | 37.80 | 28.8 | 637.8 |
60 | 49.96 | 36.8 | 1077 |
70 | 61.78 | 45.4 | 1636 |
80 | 73.17 | 54.4 | 2311 |
90 | 84.12 | 63.6 | 3098 |
100 | 94.63 | 73.0 | 3992 |
110 | 104.7 | 82.5 | 4989 |
120 | 114.5 | 92.1 | 6085 |
130 | 123.9 | 101.6 | 7277 |
140 | 133.0 | 111.1 | 8562 |
150 | 141.8 | 120.6 | 9936 |
160 | 150.3 | 130.0 | 11400 |
170 | 158.4 | 139.4 | 12940 |
180 | 166.2 | 148.7 | 14560 |
T, K | Cp Дж/(моль K) | S(T) Дж/(моль K) | H(T)–H(0 K) Дж/моль |
190 | 173.6 | 157.8 | 16260 |
200 | 180.7 | 166.9 | 18040 |
210 | 187.4 | 175.9 | 19880 |
220 | 193.8 | 184.8 | 21800 |
230 | 199.8 | 193.5 | 23750 |
240 | 205.4 | 202.1 | 25780 |
250 | 210.8 | 210.6 | 27860 |
260 | 215.8 | 219.0 | 30000 |
270 | 220.5 | 227.2 | 32170 |
280 | 225.0 | 235.3 | 34400 |
290 | 229.2 | 243.3 | 36670 |
298.15 | 232.4 | 249.7 | 38550 |
300 | 233.0 | 251.2 | 38980 |
310 | 236.1 | 258.8 | 41330 |
320 | 239.0 | 266.4 | 43700 |
330 | 241.6 | 273.8 | 46110 |
340 | 244.0 | 281.0 | 48540 |
350 | 246.3 | 288.1 | 50990 |
400 | 255.4 | 321.7 | 63540 |
450 | 261.9 | 352.1 | 76480 |
500 | 266.7 | 380.0 | 89700 |
600 | 273.2 | 429.2 | 116700 |
700 | 277.6 | 471.7 | 144300 |
800 | 280.9 | 509.0 | 172200 |
900 | 283.8 | 542.2 | 200400 |
1000 | 286.4 | 572.3 | 228900 |
1100 | 288.8 | 599.7 | 25770 |
1200 | 291.2 | 624.9 | 286700 |
1300 | 293.4 | 648.3 | 315900 |
1400 | 295.4 | 670.1 | 345400 |
1500 | 297.4 | 690.6 | 375000 |
1600 | 299.2 | 709.8 | 404900 |
1700 | 300.9 | 728.0 | 434900 |
1800 | 302.4 | 745.2 | 465000 |
Высокотемпературная теплоемкость твердого раствора Yb2O3‧2HfO2 (Дж/(моль K)) может быть также представлена уравнением Майера–Келли [25]:
(1)
Сглаженные значения теплоемкости (Дж/(моль K)) (рис. 5, 2) практически совпадают с опубликованной ранее [16] зависимостью (рис. 5, 3)
(2)
полученной на установке синхронного термического анализа STA449F1 Jupiter® фирмы Netzsch.
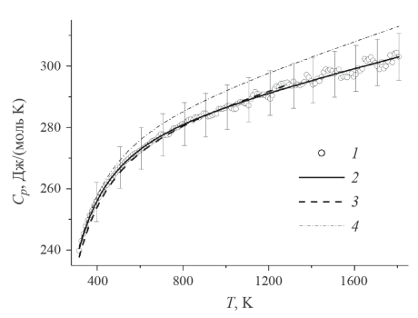
Рис. 5. Высокотемпературная теплоемкость твердого раствора Yb2O3‧2HfO2 (1), 2 – сглаженная теплоемкость (1), 3 – работа [16], (2), и 4 – модельный расчет по Нейману–Коппу из теплоемкостей простых оксидов Yb2O3 [22] и HfO2 [23].
Расчет теплоемкости твердого раствора Yb2O3‧2HfO2 по Нейману–Коппу из теплоемкостей простых оксидов Yb2O3 [26] и HfO2 [27] (рис. 5, 4) показал, что модельная зависимость имеет более крутой ход по сравнению с экспериментальными результатами. При температурах выше 900 K расчетная зависимость выходит за область доверительного интервала и ее использование в расчетах при более высоких температурах может привести к ошибочным результатам.
ВЫВОДЫ
На синтезированном и идентифицированном методами физико-химического анализа образце твердого раствора Yb2O3‧2HfO2 измерена изобарная теплоемкость в области температур 2.4–1807 K, выполнено сглаживание и рассчитаны энтропия и приращение энтальпии в указанном температурном интервале. Аномалий, свидетельствующих о наличии структурных превращений во всем изученном интервале температур, не найдено. Проведена оценка аномального вклада Шоттки в теплоемкость твердого раствора Yb2O3‧2HfO2 в области 2–300 K. Показано, что использование модельного расчета теплоемкости Yb2O3‧2HfO2 из простых оксидов дает завышенные значения.
Исследование выполнено за счет гранта Российского научного фонда № 18-13-00025, https://rscf.ru/project/18-13-00025/, с использованием оборудования ЦКП ФМИ ИОНХ РАН.
Авторы заявляют, что у них нет конфликта интересов.
1 Дополнительные материалы к статье размещены на сайте https://elibrary.ru
About the authors
А. В. Гуськов
Институт общей и неорганической химии им. Н. С. Курнакова РАН
Email: guskov@igic.ras.ru
Russian Federation, 119991, Москва
П. Г. Гагарин
Институт общей и неорганической химии им. Н. С. Курнакова РАН
Email: guskov@igic.ras.ru
Russian Federation, 119991, Москва
В. Н. Гуськов
Институт общей и неорганической химии им. Н. С. Курнакова РАН
Author for correspondence.
Email: guskov@igic.ras.ru
Russian Federation, 119991, Москва
А. В. Хорошилов
Институт общей и неорганической химии им. Н. С. Курнакова РАН
Email: guskov@igic.ras.ru
Russian Federation, 119991, Москва
К. С. Гавричев
Институт общей и неорганической химии им. Н. С. Курнакова РАН
Email: guskov@igic.ras.ru
Russian Federation, 119991, Москва
References
- Шевченко А.В., Лопато Л.М., Кирьякова И.Е. // Изв. АН СССР. Неорган. матер. 1984. Т. 20. С. 1991. [Schevchenko A.V., Lopato L.M., Kir’yakovaI.E.// Izv. AN SSSR. Inorg. Mater. 1984. V.20. P. 1991. (on Russian)]
- Andrievskaya E.R. // J. Europ. Ceram. Soc. 2008. V. 28. P. 2363. https://doi.org/10.1016/jeurceramsoc.2008.01.009
- Портной К.И., Тимофеева Н.И., Салибеков С.Е., Романович И.В. // Изв. АН СССР. Неорган. материалы. 1970. Т. 6. С. 91. [Portnoy K.I., Timofeeva N.I., Salibekov S.E., Romanovich I.V. // Izv. AN SSSR. Inorg. Mater. 1970. V.6. P. 91 (on Russian)
- Duran P., Pascual C. // J. Mater. Sci. 1984. V. 19. P. 1178. https://doi.org/10.1007/bf01120027
- Trubelja M.F., Stubican V.S. // J. Am. Ceram. Soc. 1988. V. 71. P. 662. https://doi.org/10.1111/j.1151-2916.1988.tb06385.x
- Clarke D.R., Phillpot S.R. // Mater. Today. 2005. V.8. P. 22. https://doi.org/10.1016/S1369-7021(05)70934-2
- Tuller H.L. // Solid State Ionics. 1992. V.52. P. 135. https://doi.org/10.1016/0167-2738(92)90099-B
- Steele B.C.H. // Solid State Ionics. 1994. V.68. P. 9. https://doi.org/10.1016/0167-2738(94)90231-3
- Weber W.J., Ewing R.C. //MRS Online Proceedings Library. 2001. V. 713. P. 31. https://doi.org/10.1557/PROC-713-JJ3.1
- Sickafus K., Minervini L., Grimes R.W., et al. // Science. 2000. V. 289. P. 748. http://dx.doi.org/10.1126/science.289.5480.748
- Longkang Cong L., Li W., Wang J., et al.// J. Mater. Sci. Tech. 2022. V. 101. P. 199. https://doi.org/10.1016/j.jmst.2021.05.054
- Liu Z., Wang L., Ding C., et al. // Ceram. Int. 2024. V. 50. P. 5955. https://doi.org/10.1016/j.ceramint.2023.11.152
- Musico B.L., Gilbert D., Ward Z.W., et al. //APL Mater. 2020. V. 8. Р. 040912. https://doi.org/10.1063/5.0003149
- Summers W.D., Poerschke D.L., Begley M.R., et al.// J. Am. Ceram. Soc. 2020. V. 103. P. 5196. https://doi.org/10.1111/jace.17187
- Fabrichnaya O., Seifert H.J. // J. Phase Eq. Diffus. 2010. V. 32. P. 2. https://doi.org/10.1007/s11669-010-9815-4
- Guskov A.V., Gagarin P.G., Guskov V.N., et al. // Ceram. Int. 2021. V. 47. P. 28004. https://doi.org/10.1016/j.ceramint.2021.06.125
- Гуськов А.В., Гагарин П.Г., Гуськов В.Н. и др. // Журн.физ.химии. 2022. Т. 96. С. 1230. https://doi.org/10.31857/S004445372209014X [Guskov A.V., Gagarin P.G., Guskov V.N., et al. // Russ. J. Phys. Chem. A. 2022. V. 96. P. 1831. https://doi.org/10.1134/S0036022442209014X]
- https://analyzing-testing.netzsch.com/ru/pribory-resheniya/differenczialnaya-skaniruyushhaya-kalorimetriya-dsk-differenczialnyj-termicheskij-analiz-dta/dsc-404-f1-pegasus
- ProhaskaТ., Irrgeher J., Benefield J., et al. // Pure Appl. Chem. 2022. V. 94. P. 573. https://doi.org/10.1515/pac-2019-0603
- Гуськов А.В., Гагарин П.Г., Гуськов В.Н., и др. // Докл. РАН. Химия, науки о материалах. 2021. Т. 498. С. 83. https://doi.org/10.31857/S2686953521050083 [Guskov A.V., Gagarin P.G., Guskov V.N., et al.// Doklady Physical Chemistry, 2021. V. 500. P. 105. https://doi.org/10.1134/S001250162110002X]
- Tari A.// Imperial College Press. 2003. 211 P. https://doi.org/10.1142/9781860949395_0006
- Westrum E.F. Jr.// J. Therm. Anal. 1985. V. 30. P. 1209. https://doi.org/10.1007/BF01914288
- Voskov A.L., Kutsenok I.B., Voronin G.F. //Calphad. 2018. V. 61. P. 50. https://doi.org/10.1016/j.calphad.2018.02.001
- Voronin G.F., Kutsenok I.B. // J. Chem. Eng. Data. 2013. V. 58. P. 2083. https://doi.org/10.1021/je400316m
- Maier C.G., Kelley K.K. // J. Am. Chem. Soc. 1932. V. 54. P. 3243. https://doi.org/10.1021/ja01347a029
- Konings R.J.M., Beneš O., Kovács A., et al. // J. Phys. Chem. Refer. Data. 2014. V. 4. P. 013101. https://doi.org/10.1063/1.4825256
- Pankratz L.B. // U.S. Bureau of Mines Bulletin. 1982. V. 672. 509 P.
Supplementary files







