Термодинамическое изучение процессов сорбции газообразного диметилформамида на металлоорганическом каркасе [Zn4(ndc)4(ur)2(dmf)]
- Authors: Зеленина Л.Н.1, Чусова Т.П.1, Сапченко С.А.1, Гельфонд Н.В.1
-
Affiliations:
- Институт неорганической химии им. А. В. Николаева Сибирского отделения РАН
- Issue: Vol 98, No 9 (2024)
- Pages: 101-106
- Section: 100-ЛЕТИЮ ЛАБОРАТОРИИ ХИМИЧЕСКОЙ ТЕРМОДИНАМИКИ МГУ
- Submitted: 07.03.2025
- Accepted: 07.03.2025
- Published: 30.12.2024
- URL: https://journal-vniispk.ru/0044-4537/article/view/282764
- DOI: https://doi.org/10.31857/S0044453724090141
- EDN: https://elibrary.ru/ONHFFG
- ID: 282764
Cite item
Full Text
Abstract
Давление насыщенного и ненасыщенного пара диметилформамида (C3H7NO) в системе хозяин (металлоорганический каркас [Zn4(dmf)(ur)2(ndc)4]) – гость (C3H7NO) измерено методом статической тензиметрии с мембранными нуль-манометрами в широком интервале температур 305–459 К. Из экспериментальных данных получены температурные зависимости давления для процесса перехода гостя из каркаса хозяина в газовую фазу, определены энтальпии и энтропии этих процессов, рассчитано изменение энергии Гиббса в процессе связывания C3H7NO c каркасом. На основе полученной информации были сделаны выводы о характере взаимодействий между металлоорганическим каркасом и диметилформамидом, а также проведено сравнение полученных результатов с изученными ранее процессами сорбции воды, бензола и ферроцена на [Zn4(dmf)(ur)2(ndc)4].
Full Text
ВВЕДЕНИЕ
N, N-Диметилформамид (ДМФА) широко используется в лабораторной практике как растворитель, реагент и катализатор [1], а в промышленности – при производстве полиакрилонитрила и для растворения полиуретанов [2]. Однако ДМФА является высокотоксичным загрязнителем воздуха [3], вдыхание паров этого растворителя вызывает некроз у животных [4] и человека [5]. Также ДМФА обладает высокой температурой кипения и хорошо смешивается с водой, что затрудняет извлечение чистого растворителя из отходов для повторного использования и ведет к большим энергозатратам [6]. В этой связи применение твердых адсорбентов для извлечения ДМФА представляется перспективным методом снижения энергозатрат и очистки окружающей среды от этого ядовитого загрязнителя. Адсорбция ДМФА на макропористом полимере NKA-II позволило снизить расходы энергии на переработку отходов на 79% [7]. В литературе также изучена адсорбция ДМФА на активированном угле PCB и цеолите DAY в диапазоне температур от 293 до 313 К [8]. Особый интерес для сорбции ДМФА представляют металлоорганические координационные полимеры, построенные из металлических центров, соединенных с помощью органических лигандов в каркасную структуру, поскольку в большинстве случаев их синтезируют непосредственно в ДМФА, при этом молекулы ДМФА часто располагаются внутри полостей полученного соединения. Однако в литературе по-прежнему отсутствует детальная термодинамическая характеризация процесса адсорбции диметилформамида координационными полимерами.
В настоящей работе изучена десорбция диметилформамида из металлоорганического координационного полимера [Zn4(dmf)(ndc)4(ur)2] (dmf = N, N-диметилформамид, ndc2– = 2,6-нафталиндикарбоксилат, ur = уротропин). Данное соединение содержит трехмерный каркас c каналами, достигающими 10.5×10.5 Å в сечении и является микропористым сорбентом с площадью поверхности 820 м2г–1[9].
Ранее нами были изучены процессы сорбции бензола, воды [10] и ферроцена [11] на [Zn4(dmf)(ndc)4(ur)2]: получены термодинамические характеристики этих процессов и оценены энергии связи молекул-гостей с молекулами хозяина. Настоящая работа является продолжением детальных термодинамических исследований формирования систем гость–хозяин координационным полимером [Zn4(dmf)(ndc)4(ur)2].
ЭКСПЕРИМЕНТАЛЬНАЯ ЧАСТЬ
Координационный полимер состава [Zn4(dmf)(ndc)4(ur)2] (I), где dmf – диметилформамид, ndc2– – анион нафталиндикарбоновой кислоты, ur – уротропин, подробно описан в нашей работе [9]. Структура полученного полимера была установлена методом РСА, состав и чистота подтверждены с помощью порошковой рентгеновской дифракции (РФА), ИК- и элементного (C, H, N) анализов. Поскольку из наших предыдущих экспериментов с I*x C6H6 было установлено, что данный полимер легко сорбирует воду [10], заполнение его диметилформамидом (ДМФА) происходило в сухой камере (P2O5, аргон). Перед помещением в сухую камеру, ампула с полимером была откачана (1.3 Па) в течение 16 ч при 95°C. В сухую камеру также был помещен ДМФА (“х.ч.”), предварительно очищенный вакуумной перегонкой при T = 313 K. В сухой камере ДМФА был залит в ампулу с полимером в соотношении, слегка превышающим известное из литературных данных [9] максимальное содержание ДМФА в (I) (5 моль ДМФА на 1 моль (I)). Ампулу с исходными соединениями оставили в сухой камере на 16 часов для гомогенизации. Затем ампулу откачали до сухого состояния вещества, взяли навеску для тензиметрического эксперимента и для CHN-анализа, остаток вещества оставили в закрытой ампуле в сухой камере и использовали для дальнейших тензиметрических экспериментов. Результаты CHN-анализа приведены в табл. 1.
Таблица 1. Результаты CHN-анализа исходного образца
[Zn4(dmf)(ur)2(ndc)4]· x·C3H7NO | N | C | H |
Найдено CHN | 10.8 | 50.9 | 5.0 |
Рассчитано для x = 5 | 10.7 | 51.0 | 4.9 |
Содержание ДМФА в исходном соединении уточнялось в ходе тензиметрических экспериментов по данным ненасыщенного пара (см. ниже).
Совокупность указанных методов анализа позволяет утверждать, что для исследований был приготовлен однофазный образец состава (I)*5C3H7NO с суммарным содержанием примесей менее 0.1 мас. %.
Давление насыщенного и ненасыщенного пара измеряли методом статической тензиметрии с использованием стеклянных (пирекс) мембранных нуль-манометров [12]. Экспериментальная установка подробно описана в наших предыдущих работах [13–15]. Давление измерялось с погрешностью 60 Па. Точность измерения температуры, оцененная из результатов калибровки по ртути, нафталину и аргону, составляла 0.3 К, радиальные и продольные градиенты температуры в рабочей камере не превышал 0.5 K. Объем рабочей камеры нуль-манометра определялся как разница между весом манометра, заполненного водой, и пустого, с точностью 0.05 см3.Точность определения массы образца составляла 0.05 мг. Предварительно взвешенный образец загружали в рабочую камеру нуль-манометра, которую затем вакуумировали (1.3 Па) при комнатной температуре в течение получаса; после этого нуль-манометр отсоединяли от вакуумной системы с помощью газовой горелки и помещали в установку. Измерения давления регистрировались после достижения равновесия при заданной температуре. Время, необходимое для достижения равновесия, составляло 1–2 ч. Критерием достижения равновесия было совпадение давлений, полученных при одинаковой температуре как при нагревании, так и при охлаждении.
ОБСУЖДЕНИЕ РЕЗУЛЬТАТОВ
Были проведены шесть тензиметрических экспериментов с (I)*5C3H7NO в широком интервале давлений (60 ≤ p, Па ≤ 19770), температур (305 ≤ T, K ≤ 459) и концентраций ДМФА (C3H7NO) (0.0730 ≤ mДМФА /V, г дм–3 ≤ 0.7319). Условия проведения экспериментов приведены в табл. 2. Здесь m – масса образца (I)*5C3H7NO, помещенного в манометр, mДМФА – масса диметилформамида, содержащегося в навеске.
Таблица 2. Условия проведения тензиметрических экспериментов: m – масса образца (I)*5C3H7NO, mДМФА – масса диметилформамида, содержащегося в навеске, V – объем манометра
Эксперимент | m, г | mДМФА, г | V, см3 | mДМФА/V, г дм–3 |
1 | 0.0369 | 0.007340 | 10.03 | 0.7319 |
2 | 0.0293 | 0.005828 | 13.73 | 0.4245 |
3 | 0.0163 | 0.003242 | 24.69 | 0.1313 |
4 | 0.0320 | 0.006365 | 24.74 | 0.2573 |
4а | 44.23 | 0.1439 | ||
5 | 0.0159 | 0.003163 | 5.86 | 0.5397 |
5а | 39.22 | 0.0806 | ||
6 | 0.0154 | 0.003063 | 4.69 | 0.6531 |
6а | 42.00 | 0.0730 |
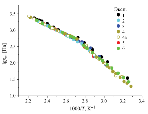
Экспериментальные данные представлены на рис. 1 в виде зяависимости lgpэ(1/T). Поскольку в ранее проведенных экспериментах [10] найдена температура разложения металлорганического каркаса [Zn4(dmf)(ur)2(ndc)4], нагрев выше T = 461 K не проводился.
Рис. 1. Зависимости измеренного давления пара ДМФА от температуры в координатах lgpэ–1000/T в экспериментах 1–6.
Для получения данных по ненасыщенному пару в экспериментах 4, 5 и 6 были изготовлены рабочие камеры с двумя отсеками, соединенными тонкой стеклянной перегородкой. В отсек с меньшим объемом загружалась навеска вещества и боек для разбивания перегородки, оба отсека вакуумировались, отсоединялись от вакуума при помощи газовой горелки и нуль-манометр помещался в печь установки. Первый цикл нагрев-охлаждение осуществлялся в маленьком объеме манометра, перед вторым нагревом перегородка между отсеками вскрывалась с помощью бойка и эксперимент продолжался в большом объеме (см. табл. 2 и рис. 1, эксперименты 4а, 5а и 6а). В экспериментах 5а и 6а получены данные по ненасыщенному пару (когда весь ДМФА, содержащийся в навеске, вышел в газовую фазу), из которых рассчитан состав исходного соединения, он соответствовал химической формуле (I)*5C3H7NO (рис. 2). В эксперименте 4а объем оказался недостаточным для выхода в ненасыщенный пар, здесь измерен только насыщенный пар, но в большем, чем в эксперименте 4, объеме.
Рис. 2. Отношение количества молей ДМФА в газовой фазе к 1 молю металлоорганического полимера (I) в исходной навеске.
Как видно из рис. 1 в отличие от предыдущих экспериментов с бензолом, водой [10] и ферроценом [11], здесь имеется зависимость давления не только от температуры, но и от концентрации исследуемого образца (m/V). Такая зависимость характерна для твердых растворов. В системах (I)*Гость, изученных нами ранее [10, 11] она обнаружена впервые. На рис. 3 показаны экспериментальные данные по насыщенному пару, приведенные к единой концентрации (m/V = 0.4245 г дм–3). Теперь они лежат на одной прямой, демонстрируя моновариантное равновесие. Экспериментальное давление (pэ) отнормировано на состав (I)*C3H7NO (pn = pэ/5) для проведения сравнения с результатами изученных ранее систем (I)*Гость [10, 11]. Из рис. 3 видно, что десорбция ДМФА из координационного полимера (I) в изученном интервале температур, подобно десорбции воды [10], проходит в 2 стадии. Возможно, эти процессы связаны с искажением структуры (I) при нагревании. Для понимания этого явления необходимо исследовать структуру твердой фазы в условиях тензиметрического эксперимента.
Рис. 3. Экспериментальные данные по насыщенному пару ДМФА (lgpn–1000/T), приведенные к единой концентрации (m/V = 0.4245 г дм–3) и начальному составу (I)*C3H7NO.
Из приведенных данных (рис. 3) рассчитаны термодинамические характеристики процессов перехода ДМФА из металлоорганического каркаса (I) в газовую фазу:
Обработка данных проводилась методом наименьших квадратов с использованием целевой функции, основанной на принципе максимального правдоподобия, подробно описанной в нашей работе [16, 17]. Искомыми значениями были энтальпии и энтропии процессов при средних температурах в исследуемых интервалах, поскольку данные о теплоемкостях неизвестны.
Результаты обработки с погрешностями для 95% доверительного интервала представлены в табл. 3. Здесь же даны литературные данные по испарению ДМФА [18]. Как видно из таблицы, они существенно отличаются от термодинамических характеристик процессов I и II.
Таблица 3. Температурная зависимость давления насыщенного пара ln(p/p°) ± 2σ = A – B/T, где p° – стандартное давление 101325 Па, σ2 – дисперсия рассчитанного давления, энтальпии (ΔпрH°Tср) и энтропии (ΔпрS°Tср) процессов I, II и испарение ДМФА при средних температурах из исследуемых интервалов (ΔT)
Процесс | ΔT, K | ln(p/p°) = f(T), σ2 = f(T) | ΔпрH°Tср, кДж моль–1 | ΔпрS °Tср, Дж К–1 моль–1 |
I | 296–373 | 9.184–5349.76/Т 8137.71/T2–28.182/T+0.02445 | 44.5 ± 1.5 | 76.4 ± 2.6 |
II | 373–453 | 3.535–3270.09/Т 394.70/T2–1.8896/T+0.00227 | 27.2 ± 0.3 | 29.4 ± 0.8 |
Испарение ДМФА [18] | 318–423 | 12.017–5108.55/T | 42.5 ± 0.5 | 99.9± 1.3 |
Отклонения экспериментальных данных от рассчитанных по уравнениям из табл. 3 приведены на рис. 4. Из рисунка видно, что для процессов I и II разброс точек носит случайный характер, а отклонения не превышают предельно допустимых значений, рассчитанных из погрешностей измерений температуры, давления и концентрации, что указывает на отсутствие систематических ошибок в экспериментах.
Рис. 4. Отклонения экспериментальных давлений pn(эксперимент) от рассчитанных по уравнениям из табл. 3 pn(расчет).
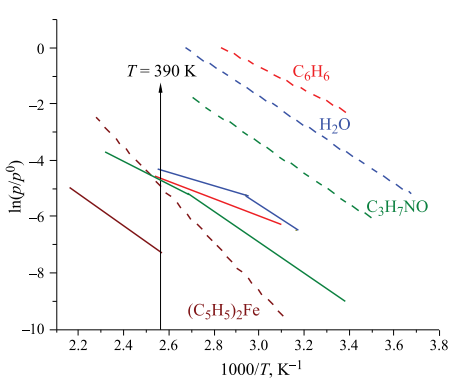
С привлечением ранее полученных данных проведено сравнение давлений для процесса перехода гостей (ДМФА, бензола, воды и ферроцена) из каркаса хозяина (I) в газовую фазу. Графическое изображение в координатах ln(p/p°) – 1000/T показано на рис. 5 (сплошные линии), здесь же приведены литературные данные по сублимации ферроцена [19], испарению бензола, воды [20] и ДМФА [18] (пунктирные линии).
Рис. 5. Температурные зависимости давления насыщенного пара Гостя над комплексами (I)*Гость (сплошные линии) по сравнению с чистыми соединениями (пунктирные линии).
В процессах десорбции из металлорганичекого каркаса (I) летучесть гостей возрастает в последовательности (C5H5)2Fe < C3H7NO < C6H6 < H2O и, следовательно, в этой же последовательности уменьшается сила связи (I) с молекулами гостей. Количественные величины для этой последовательности рассчитаны ниже.
Предполагая, что энергия связи – это изменение энергии Гиббса в процессе связывания одного моля гостя одним молем каркаса (процесс обратный изученному нами):
были рассчитаны ∆пр2G0Т при T = 390 K, поскольку эта температура входит во все исследованные интервалы (рис. 5). Результаты расчета приведены в табл. 4.
Таблица 4. Изменения энергии Гиббса в процессе связывания газообразного гостя металлоорганическим каркасом (I) при T = 390 K
Гость | H2O | C6H6 | (C5H5)2Fe | C3H7NO |
–∆пр2G° | 14.2 ± 1.3 | 15.1 ± 1.1 | 26.5 ± 1.5 | 15.7 ± 0.4 |
Как видно из табл. 4, процесс образования соединений [(I)*Гость]тв является термодинамически выгодным, а его величина указывает на физическую адсорбцию гостей на полимере.
ЗАКЛЮЧЕНИЕ
Процесс перехода диметилформамида в газовую фазу из комплекса состава [Zn4(dmf)(ndc)4(ur)2]*5C3H7NO подробно изучен методом статической тензиметрии с мембранными нуль-манометрами. Синтез исходного соединения в сухой камере и методика заполнения нуль-манометров исключили содержание воды в исследуемом образце. Полученные результаты подтверждают, что изученное соединение является твердым раствором и десорбция ДМФА из координационного полимера [Zn4(dmf)(ndc)4(ur)2]*5C3H7NO происходит двумя энергетически разными путями. Из экспериментальных данных рассчитана летучесть диметилформамида (ln (p/p°)) и термодинамические параметры изученных процессов (∆прH0Тср, ∆прS0Тср). Проведено сравнение полученной информации с изученными ранее процессами сорбции на [Zn4(dmf)(ur)2(ndc)4] воды, бензола и ферроцена, рассчитана энергия связи гостей с данным координационным полимером. Количественная данные о процессах сорбции гостей на [Zn4(dmf)(ur)2(ndc)4], полученные в работе, могут быть использованы для синтеза функциональных материалов с заданными свойствами.
Исследование выполнено при поддержке Министерства науки и высшего образования Российской Федерации (проект № 121031700314-5).
Авторы заявляют об отсутствии конфликта интересов.
About the authors
Л. Н. Зеленина
Институт неорганической химии им. А. В. Николаева Сибирского отделения РАН
Author for correspondence.
Email: zelenina@niic.nsc.ru
Russian Federation, 630090, Новосибирск
Т. П. Чусова
Институт неорганической химии им. А. В. Николаева Сибирского отделения РАН
Email: zelenina@niic.nsc.ru
Russian Federation, 630090, Новосибирск
С. А. Сапченко
Институт неорганической химии им. А. В. Николаева Сибирского отделения РАН
Email: zelenina@niic.nsc.ru
Russian Federation, 630090, Новосибирск
Н. В. Гельфонд
Институт неорганической химии им. А. В. Николаева Сибирского отделения РАН
Email: zelenina@niic.nsc.ru
Russian Federation, 630090, Новосибирск
References
- Heravi M., Ghavidel M., Mohammadkhani L. //. RSC Adv. 2018. V. 8, P. 27832 https://doi.org/10.1039/C8RA04985H.
- Bipp H., Kieczka H. // Formamides. Ullmann’s Encyclopedia of Industrial Chemistry. Wiley-VCH Verlag GmbH & Co. 2011. V. 16. https://doi.org/10.1002/14356007.a12_001.pub2.
- Kleiner D. // Drugs and Toxins. Macsween’s Pathology of the Liver (Seventh edition). Elsevier. 2018. V. 673–779. 1043 p.
- Senoh H, Katagiri T, Arito H, et al. // J. Occup Health. 2003. V. 45. № 6. P. 365 https://doi.org/10.1539/joh.45.365.
- Wang J.D., Lai M.Y., Chen J.S., et al. // Arch Environ Health. 1991. V. 46. № 3. P. 161 https://doi.org/10.1080/00039896.1991.9937444.
- Ye C.-S., Lin C., Fang X.-L. // Fluid Phase Equilibria. 2009. V. 278. P. 85 https://doi.org/10.1016/j.fluid.2009.01.006.
- Ye C.-S., Wang H.-X., Huang G.-Q., Qiu T. // Chemical Engineering Research and Design. 2013. V. 91. P. 2713 https://doi.org/10.1016/j.cherd.2013.04.025.
- Tsai W.-T., Chang C.-Y., Lee H.-C. // Journal of Environmental Science and Health. Part A: Environmental Science and Engineering and Toxicology. 1996. V. 31. P. 995 https://doi.org/10.1080/10934529609376402.
- Sapchenko S.A., Samsonenko D.G., Dybtsev D.N., et al.// Dalton Trans. 2011. V. 40. P. 2196. https://doi.org/10.1039/C0DT00999G.
- Zelenina L.N., Chusova T.P., Sapchenko S.A., et al.// JCT. 2013. V. 67. Р. 128. http://dx.doi.org/10.1016/j.jct.2013.07.021.
- Зеленина Л.Н., Чусова Т.П., Сапченко С.А. и др. // ЖНХ. 2023. Т. 68. № 2. С. 174. (Zelenina L.N., Chusova T.P., Sapchenko S.A, Gelfond N.V. // Rus. J. of Inorg. Chem. 2023. V. 68. p. 140.) doi: 10.31857/S0044457X22601274.
- Суворов А.В. Термодинамическая химия парообразного состояния. Л.: Химия, 1970, С. 46.
- Zelenina L.N., Chusova T.P., Vasilyeva I.G. // JCT. 2013. V. 57. P. 101. http://dx.doi.org/10.1016/j.jct.2012.08.005.
- Zelenina L.N., Chusova T.P., Isakov A.V., et al.// JCT. 2020. 141. P. 105958. https://doi.org/10.1016/j.jct.2019.105958.
- Zelenina L.N., Chusova T.P., Isakov A.V., et al.// JCT. 2021. V. 158. P. 106424 https://doi.org/10.1016/j.jct.2021.106424.
- Титов В.А., Коковин Г.А. в сб. Математические методы в химической термодинамике. Новосибирск: Наука, 1980. С. 98.
- Зеленина Л.Н., Чусова Т.П. // ЖОХ. 2021. Т. 91. № 10. С. 1541 (Zelenina L.N., Chusova T.P. // Rus. J. of General Chem. 2021. V. 91. P. 1984.) doi: 10.31857/S0044460X21100097.
- Блудилина В.И., Баев А.К., Матвеев В.К., и др. // Журн.физ.химии. 1979. Т. 53. С. 1052.
- Fulem M., Růžička K., Červinka C., et al.// JCT. 2013. V. 57 P. 530. http://dx.doi.org/10.1016/j.jct.2012.07.023.
- Гурвич Л.В. // Вест. АН СССР. 1983. 3. С. 54. [L.V. Gurvich. IVTANTHERMO Automated data system on thermodynamic properties of substances, Nauka, Moscow, 1983 (in Russian).]
Supplementary files







