Термохимия растворения тетра-3-карбоксифталоцианина меди в водных растворах КОН при 298.15 К
- Авторы: Крутов П.Д.1, Майзлиш В.Е.1, Крутова О.Н.1, Черников В.В.1, Базанов М.И.1, Киптикова Е.Е.1
-
Учреждения:
- Ивановский государственный химико-технологический университет
- Выпуск: Том 98, № 10 (2024)
- Страницы: 49–52
- Раздел: ФИЗИЧЕСКАЯ ХИМИЯ РАСТВОРОВ
- Статья получена: 08.03.2025
- Статья одобрена: 08.03.2025
- Статья опубликована: 11.10.2024
- URL: https://journal-vniispk.ru/0044-4537/article/view/282854
- DOI: https://doi.org/10.31857/S0044453724100072
- EDN: https://elibrary.ru/NLZRMD
- ID: 282854
Цитировать
Полный текст
Аннотация
Получен комплекс тетра-3-карбоксифталоцианина с медью, не растворимый в воде. Тепловые эффекты растворения кристаллического тетра-3-карбоксиметаллофталоцианина в водных растворах различной концентрации КОН (от 0.002 до 0.02 моль/л) при 298.15 К определяли прямым калориметрическим методом. Измерения проводились в калориметре с изотермической оболочкой, электрической градуировкой при Т = (293.15–308.15) ± 0.01К и Р = 100.5 ± 0.7 кПа и автоматической регистрацией температуры. Рассчитаны стандартные энтальпии образования продуктов диссоциации комплекса тетра-3-карбоксифталоцианина с медью в водном растворе. Значения тепловых эффектов ступенчатой диссоциации, были рассчитаны с помощью компьютерной программы HEAT.
Ключевые слова
Полный текст
Фталоцианины (Pc) – класс органических соединений, уникальные физико-химические свойства которых исследуются вомногих областях современной науки. Незамещенные фталоцианины нерастворимы в большинстве растворителей, за исключением некоторых полярных апротонных растворителей при повышенной температуре и концентрированной серной кислоты. Растворимость в различных средах достигается путем введения заместителей в макроцикл или с помощью аксиальных лигандов, связанных с атомом металла. Одним из направлений модификации Рс является введение различных заместителей в бензольные кольца соединений [1–6]. Введение в качестве заместителей ионогенных групп (карбокси-, сульфо-, фосфонатных) позволяет получать соединения, растворимые в водных средах, что исключительно важно для применения в медицине, в частности в фотодинамической и каталитической терапии онкологических заболеваний. Наличие карбоксильных заместителей предоставляет удобную возможность для дальнейшей функциализации молекулы, в том числе для получения коньюгатов комплексов фталоцианинов с природными или синтетическими молекулами [7–9]. Перспективной, но малоизученной областью является применение фталоцианинов в качестве экологически безопасных смазочных материалов так называемых присадок “структурного действия”. Это как твердые слоистые и пластичные смазки, так и композиционные металлические покрытия [10–12].
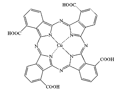
В данной работе в качестве объекта исследования был выбран комплекс тетра-3-карбоксифталоцианина с медью (Н4Р):
Хотя тетра-3-карбоксиметаллофталоцианины широко известны, однако термохимия их растворения в водных растворах щелочей не изучена.
Целью данной работы было определение стандартных энтальпий образования комплексов тетра-3-карбоксифталоцианина меди и продуктов его диссоциации в водном растворе по тепловым эффектам растворения препарата в воде и в водных растворах КОН при 298.15 К.
Экспериментальная часть
Синтез тетра-3-карбоксифталоцианин меди (Н4Р) осуществляли методом “мочевинного сплавления” согласно методике (Kt – катализатор, молибдат аммония):
Тщательно растертую смесь 1.000 г (4.8 ммоль) тримеллитовой кислоты, 1.560 г (26 ммоль) мочевины, 0.130 г (2.4 ммоль) хлорида аммония, 0.016 г (0.1 ммоль) молибдата аммония и 0.400 г (2.0 ммоль) моногидрата ацетата меди помещали в кварцевую пробирку выдерживали при температуре 473.15–493.15 K в течение 5 ч. После охлаждения темно-синий остаток растирали и промывали 5%-ным раствором соляной кислоты до бесцветных фильтратов, а затем водой до нейтральной среды. Продукт кипятили в 5%-ном спиртовом растворе щелочи 12 ч, фильтровали, осадок растворяли в воде и снова фильтровали. Фильтрат подкисляли соляной кислотой до выпадения осадка, который промывали водой до нейтральной среды и отсутствия в промывных водах ионов хлора, сушили под вакуумом при температуре 373.15–383.15 K. Синтезированный комплекс очищали переосаждением из концентрированной серной кислоты с последующей экстракцией примесей ацетоном и этанолом в аппарате Сокслета.
Выход: 0.370 г (41%). C36N8H16O8Cu ИК-спектр, ν, см–1: 1697 (СООН). Электронный спектр поглощения, Н2SO4, λmax, нм: 717; MALDI–TOF–MS, m/z: 750.69 вычислено 752.12. Результаты элементарного анализа комплексов тетра-3-карбоксифталоцианина меди представлены в табл. 1. Элементный анализ в пределах ±0.4% от расчетного значения необходим для подтверждения 95% чистоты образца и подтверждения изомерной чистоты.
Таблица 1. Результаты элементарного анализа комплексов тетра-3-карбоксифталоцианина меди
Комплекс | С | H | N |
Найдено % | 57.1 | 2.2 | 14.6 |
Вычислено % | 57.5 | 2.1 | 14.9 |
Измерения проводились в калориметре с изотермической оболочкой, снабженном реакционным сосудом объемом 60 см3, электрической градуировкой при Т = (293.15–308.15) ± 0.01 К и Р = 100.5 ± 0.7 кПа и автоматической регистрацией температуры [13]. Работу установки проверяли по интегральной энтальпии растворения кристаллического хлорида калия в воде и считали годной для измерения, если определяемое в ней значение ∆solН(∞Н2О)=17.25±0.06 кДж/моль отличалось от нормативного ∆solН(∞Н2О)=17.22±0.04 кДж/моль на 0.3% [14]. Доверительный интервал среднего значения ∆H рассчитывали с вероятностью 0.95.
Обсуждение результатов
Значения стандартных энтальпий образования тетра-3-карбоксиметаллофталоцианина рассчитаны с использованием аддитивного группового метода, основанного на групповой систематике с классификацией фрагментов типа Бенсона, учитывающей влияние первичного окружения атомов [15–17]. Для тетра-3-карбоксифталоцианина меди величина энтальпии образования составила: ΔfН◦(кр.) = –3239.4±2.9 кДж/моль.
Процесс растворения в растворе КОН можно представить следующей схемой:
(1)
Графическая экстраполяция теплот растворения исследуемого соединения в растворах гидроксида калия к нулевой ионной силе представлена на рис. 1. Экспериментальные данные в табл. 2.
Таблица 2. Энтальпия растворения тетра-3-карбоксифталоцианина меди в растворе КОН при различных концентрациях и T = 298.15 K
m, г | CKOH, моль/л | –ΔsolH, кДж/моль |
0.0011 0.0011 0.0013 | 0.00205 | 80.13±0.36 80.22±0.37 80.28±0.38 |
0.0020 0.0020 0.0020 | 0.00511 | 81.35 ±0.36 81.44 ±0.38 81.34 ±0.35 |
0.0031 0.0033 0.0031 | 0.01866 | 84.34±0.38 84.33±0.38 84.35±0.36 |
Рис. 1. Графическое определение теплового эффекта растворения тетра-3-карбоксифталоцианина меди в растворе KOH при бесконечном разведении.
Используя значения стандартных энтальпий образования гидроксид-иона ΔfH°(OH–, р-р, H2O, ст.с., 298.15K) = –230.04 ±0.08 кДж/моль и воды в водном растворе ΔfH°(H2O, ж, 298.15 К) = –285.83±0.04 кДж/моль, рекомендованные справочником [18], была рассчитана стандартная энтальпия образования депротонированного Р4– аниона
(2)
Стандартные энтальпии образования частиц HР3–, H2Р2–, H3Р–, H4Р в водном растворе рассчитывали по уравнению:
(3)
Значения ∆disН(H4Р, 298.15 К); ∆disН(H3Р–, 298.15 К), ∆disН(H2Р2–, 298.15 К), ∆disН(HР3–, 298.15 К), были рассчитаны с помощью компьютерной программы HEAT [19, 20] табл. 3.
Таблица 3. Энтальпии ступенчатой диссоциации тетра-3-карбоксифталоцианина меди при температуре 298.15 К (кДж/моль)
Процесс | ∆rНdis | рКi |
H4Р→H3Р– +H+ | 50.3±1.8 | 4.51±0.35 |
H3Р–→H2Р2– +H+ | 112.5±1.7 | 6.03±0.35 |
H2Р2–→HР3– +H+ | 139.4±1.9 | 9.41±0.35 |
HР3–→Р4– +H+ | 223.1±1.9 | 11.24±0.35 |
Термодинамические характеристики растворения фталоцианина позволят нам получить много полезной информации о состоянии Pc в растворах. Значения стандартной энтальпии образования Pc в водном растворе получены в данной работе впервые. Они являются ключевыми величинами в термохимии Pc и открывают возможность проведения строгих термодинамических расчетов в системах с Pc. Приведенные значения термодинамических характеристик существенно пополнят банк термохимических данных для фталоцианинов. Полученные значения представлены в табл. 4.
Таблица 4. Стандартные энтальпии образования тетра-3-карбоксифталоцианина меди и продуктов его диссоциации в водном растворе (кДж/моль)
Частицы | Состояние | –∆fH°(298.15К) |
H4Р H3Р– H2Р2– HР3– Р4– | кр. р-р., Н2О, ст. с., гип. недис. р-р., Н2О, ст. с., гип. недис р-р., Н2О, ст. с., гип. недис. р-р., Н2О, ст. с., гип. недис. р-р, Н2О, ст. с. | 3239.4±2.9 3017.2±2.9 3067.5±2.9 3179.9±2.9 3319.4±2.9 3542.5±2.9 |
Вариациями центрального иона и строения заместителей в молекуле Pc удается изменять ее термодинамические свойства, что подтверждается, в частности, данными по теплотам растворения тетра-3-карбоксифталоцианина меди в растворе КОН ∆rН(1)= –79.86±0.4кДж/моль и тетра-4-карбоксифталоцианина меди ∆rН(1)= –78.33±0.4 кДж/моль [21], замена центрального иона металла на цинк делает это различие еще более заметным ∆rН(1)= –59.64 ±0.4кДж/моль [22]. Измерения проводили в тех же концентрационных условиях. Особенно большое значение имеет определение термодинамической устойчивости отдельных изомеров.
Работа выполнена в Научно-исследовательском институте термодинамики и кинетики химических процессов Ивановского государственного химико-технологического университета в рамках Государственного задания (базовая часть), проект № FZZW-2023-0008. Исследование выполнено с использованием ресурсов Центра коллективного пользования научным оборудованием ИГХТУ (при поддержке Министерства науки и высшего образования РФ, грант № 075-15-2021-671).
Об авторах
П. Д. Крутов
Ивановский государственный химико-технологический университет
Автор, ответственный за переписку.
Email: kdvkonkpd@yandex.ru
Россия, Иваново
В. Е. Майзлиш
Ивановский государственный химико-технологический университет
Email: kdvkonkpd@yandex.ru
Россия, Иваново
О. Н. Крутова
Ивановский государственный химико-технологический университет
Email: kdvkonkpd@yandex.ru
Россия, Иваново
В. В. Черников
Ивановский государственный химико-технологический университет
Email: kdvkonkpd@yandex.ru
Россия, Иваново
М. И. Базанов
Ивановский государственный химико-технологический университет
Email: kdvkonkpd@yandex.ru
Россия, Иваново
Е. Е. Киптикова
Ивановский государственный химико-технологический университет
Email: kdvkonkpd@yandex.ru
Россия, Иваново
Список литературы
- Potlog T., Furtuna V., Rotaru C., et al. // Intern. J. of Industrial Electronics and Electrical Engineering. 2018. V.6(1). P. 40.
- Berezin D.B., Makarov V.V., Znoyko S.A., et al. //Mendeleev Commun. 2020. V. 30. P. 621. https://doi.org/10.1016/j.mencom.2020.09.023
- Лебедева Н.Ш., Юрина Е.С., Губарев Ю.А., Майзлиш В.Е. //Биоорган. химия. 2016. T. 42(1). P. 36. https://doi.org/10.7868/S0132342315050140
- Mashazi P.N., Westbroek P., Ozoemena K.I., Nyokong T. //Electrochimica Acta. 2007. T. 53. P. 1858–1869. https://doi.org/10.1016/j.electacta.2007.08.044
- Masilela N., Nyokong T. // Dyes and Pigments.2010. T.84. P. 242. https://doi.org/10.1016/j.dyepig.2009.09.011
- Weber J.H., Busch D.H. //Inorg. Chem. 1965. T. 4(4). P. 469. https://doi.org/10.1021/ic50026a007
- Kobayashi N., Ohya T., Sato M., Nakajima Sh. // Inorg. Chem. 1993. V. 32. P. 1803.
- Sergeyev S., Debever O., Pouzet E., Geerts Y.H. // J. Mater. Chem. 2007. V. 17. P. 3002.
- Li X., Sinks L.E., Rybtchinski B., Wasielewski M.R. // J. Am. Chem. Soc. 2004. V. 126. P. 10810.
- Шапошников Г.П., Кулинич В.П., Майзлиш В.Е. Модифицированные фталоцианины и их структурные аналоги. /Под ред. О.И. Койфмана. М.: Красанд, 2012. 480 с.
- Islam Z.U., Tahir M., Syed W.A., et al. // Energies. 2020. V. 13(4). P. 962. https://doi.org/10.3390/en130409621
- Koifman O.I. //Macroheterocycles. 2020. V.13(4). P. 311. https://doi.org/10.6060/mhc200814k
- Lytkin A.I., Chernikov V.V., Krutova O.N., Skvortsov I.A. // J. Therm. Anal. Calorim. 2017. T. 130. P. 457. https://doi.org/10.1007/s10973017–6134.
- Wadsö I., Goldberg R.N. // Pure Appl. Chem. 2001. V. 73. P. 1625. https://doi.org/10.1351/pac200173101625
- Тахистов А.В., Пономарев Д.А. Органическая масс-спектрометрия. С.-Петербург: ВВМ, 2002. С. 346.
- Закиров Д.Р., Базанов М.И., Волков А.В., и др. //Журн. физ. химии. 2000. T.74. № 10. P. 1726.
- Закиров Д.Р., Базанов М.И., Волков А.В., Семейкин А.С. // Там же. 2001. T.75. № 12. P. 2114.
- Термические константы веществ. / Спр. под ред. В.П. Глушко Вып. III. М.: ВИНИТИ. 1965–1971.
- Бородин В.А., Васильев В.П., Козловский Е.В. // Математические задачи химической термодинамики. Новосибирск: Наука, 1985. С. 219.
- Tyunina E. Yu., Krutova O.N., Lytkin A.I. // Thermochimica Acta. 2020. T. 690 P. 178704. https://doi.org/10.1016/j.tca.2020.178704.
- Крутова О.Н., Майзлиш В.Е., Черников В.В., и др. // Журн. физ. химии. 2023. Т. 97. № 6. С. 794. https://doi.org/10.31857/S0044453723060134.
- Крутова О.Н., Майзлиш В.Е., Лыткин А.И., и др.// Там же. 2023. Т. 97. № 2. С. 199. https://doi.org/10.31857/S0044453723020115
Дополнительные файлы






