Фотокаталитическая деструкция цефтриаксона в водных растворах
- Авторы: Сизых М.Р.1, Батоева А.А.1, Алексеев К.Д.1
-
Учреждения:
- Байкальский институт природопользования СО РАН
- Выпуск: Том 98, № 11 (2024)
- Страницы: 79-86
- Раздел: ФИЗИЧЕСКАЯ ХИМИЯ РАСТВОРОВ
- Статья получена: 19.03.2025
- Статья одобрена: 19.03.2025
- Статья опубликована: 15.11.2024
- URL: https://journal-vniispk.ru/0044-4537/article/view/284048
- DOI: https://doi.org/10.31857/S0044453724110094
- EDN: https://elibrary.ru/EZEZII
- ID: 284048
Цитировать
Полный текст
Аннотация
Изучены кинетические закономерности деструкции цефалоспориновых антибиотиков, на примере цефтриаксона (ЦЕФ) в фотоинициированных окислительных системах, с использованием в качестве источника квазисолнечного излучения ксеноновой лампы (UV–Vis). Установлено, что по эффективности и скорости деструкции антибиотика рассмотренные окислительные системы можно выстроить в следующий ряд: {UV–Vis/Fe₂⁺/S₂O₈²⁻}>{Fe₂⁺/S₂O₈²⁻}>>{UV–Vis/S₂O₈²⁻}>{UV–Vis}. Оптимальные условия для окислительной деструкции ЦЕФ в системе {UV–Vis/Fe₂⁺/S₂O₈²⁻} реализуются при соотношениях [S₂O₈²⁻]:[ЦЕФ]=30:1 и [S₂O₈²⁻]:[Fe₂⁺]=1:0.1. Сделан вывод, что с увеличением температуры до 40°C начальная скорость реакции окисления ЦЕФ и эффективность возрастают. Кажущаяся энергия активации реакции окисления ЦЕФ в системе {UV–Vis/Fe₂⁺/S₂O₈²⁻} составила 45 кДж∙моль–1, что сопоставимо со значениями, полученными для антибиотиков цефалоспоринового ряда. С использованием ингибиторов радикальных реакций доказано, что при окислительной деструкции ЦЕФ в комбинированной системе {UV–Vis/Fe₂⁺/S₂O₈²⁻} реализуется мультирадикальный механизм с участием активных форм кислорода (АФК) – гидроксильных радикалов, сульфатных и супероксидных анион-радикалов. Отмечено, что полученные закономерности хорошо согласуются с результатами натурных исследований (“open-air”) с естественным солнечным излучением (Solar), при этом в системе {Solar/Fe₂⁺/S₂O₈²⁻} наблюдается существенная интенсификация процесса окисления ЦЕФ, обусловленная комбинированной активацией персульфата ионами железа, УФ-С (<300 нм) составляющей естественного солнечного излучения и термическим воздействием. Результаты свидетельствуют о перспективности использования комбинированной окислительной системы {Solar/Fe₂⁺/S₂O₈²⁻} для деструкции антибиотиков с целью снижения их поступления в окружающую среду.
Полный текст
Устойчивость к антибиотикам является сегодня одной из наиболее серьезных угроз для здоровья и продовольственной безопасности человечества, и по решению ВОЗ включена в десятку основных проблем здравоохранения, с которыми сталкивается современное мировое сообщество [1, 2]. Одной из причин ее развития является бесконтрольное применение лекарственных средств в медицине, ветеринарии и сельском хозяйстве. При этом 80% антибиотиков выводится из организмов в неизмененном виде и попадает с хозяйственно-бытовыми стоками на очистные сооружения [3]. Традиционно используемые методы очистки не позволяют полностью удалить антибиотики из воды [4], в результате происходит их накопление во всех объектах водных экосистем [5, 6]. Таким образом, разработка эффективных методов удаления антибиотиков из сточных вод является одной из основных задач для решения проблемы развития резистентности патогенных микроорганизмов [1, 7, 8]
Антибиотики в числе других лекарственных препаратов относят к органическим микрополлютантам или еще их называют “новыми загрязняющими веществами” (emerging contaminants) природных вод и вместе с активными компонентами, входящими в состав косметических и гигиенических средств, выделяют в группу PPCPs (Pharmaceuticals and Personal Care Products) [9, 10]. Изучается возможность использования для очистки стоков от микрополлютантов различных методов очистки (биологических, мембранных, химических и др.), однако для удаления PPCPs самыми перспективными являются усовершенствованные окислительные процессы (АОРs – “Advanced oxidation processes”) [10–12]. Они основаны на окислительной деструкции целевых соединений формирующимися в растворе in situ активными формами кислорода (АФК), чаще всего гидроксильными радикалами и/или сульфатными анион-радикалами. Причем сульфатные анион-радикалы SO4•– имеют ряд преимуществ – более высокие окислительно-восстановительный потенциал (E° = 2.44 В), время существования в растворе (40 мкс) и селективность [13]. А их прекурсоры – пероксомоносульфаты и пероксодисульфаты, являются твердыми сыпучими взрывобезопасными веществами с достаточно длительным сроком хранения.
Для образования в растворе сульфатных анион-радикалов, персульфаты подвергают химическому (ионы переходных металлов, бисульфиты, щелочи) или физическому воздействию (нагревание, УФ-облучение, кавитационное воздействие, СВЧ) [14, 15]. При этом лучшие результаты по эффективности удаления микрополлютантов из водных растворов получены при комбинированном воздействии.
При активации персульфатов ионами переходных металлов самыми предпочтительными, с экологической и экономической точек зрения, являются соединения железа, так как они широко распространены в природе и нормативы содержания Feобщ в водных объектах хозяйственно-питьевого и культурно-бытового назначения не являются жесткими (ПДКFe(общ) = 0.3 мг/л [16]).
Достаточно большой интерес исследователей сосредоточен на изучении фотоактивации пероксодисульфатов [17, 18]. При этом, учитывая, что максимум в спектре их поглощения наблюдается в диапазоне <300 нм, более эффективными являются ультрафиолетовые лампы, излучающие в УФ-С-диапазоне. В большинстве исследований используются ртутные лампы, однако учитывая общемировую тенденцию к уменьшению ртутного загрязнения, все большее внимание уделяется альтернативным источникам – эксилампам и УФ-светодиодам [13, 19–21]. Однако практическое применение фотохимических методов с использованием искусственных источников УФ-излучения может быть ограничено высокой стоимостью УФ-ламп и эксплуатационными расходами.
Целью данной работы являлось исследование кинетических закономерностей фотокаталитического окисления антибиотиков (на примере цефтриаксона) персульфатом при воздействии солнечного излучения.
ЭКСПЕРИМЕНТАЛЬНАЯ ЧАСТЬ
Исследования проводили на растворах цефтриаксона (C18H16N8O7S3Na2, 598 г·моль–1, ПАО “Биосинтез”, Россия) с концентрацией 33 мкМ, приготовленных на дистиллированной воде (рН 5.7±0.2). В экспериментах использовали: FeSO4×7H2O (≥99,5%, Scharlab S. L., Spain), K2S2O8, трихлорметан (хлороформ), метиловый и трет-бутиловый спирты (99%, АО “Химреактивснаб”, Россия).
Эксперименты проводили в проточном трубчатом фотореакторе с термостатированием. Объем обрабатываемого раствора составлял 400 мл, скорость потока 0.5 л/мин. Для имитации солнечного излучения использовали ксеноновую лампу HID4300 КН (“MaxLight”, South Korea) – источник оптического излучения с квазисолнечным спектром. Натурные исследования (“open-air”) проводили без термостатирования на экспериментальной установке с параболическим отражателем в г. Улан-Удэ (51°48'47.747" с. ш. 107°7'19.536" в. д.) в июле при интенсивности солнечного излучения в диапазоне УФ-A (315–400 нм) – 30–42 Вт/м², УФ-В (280–315 нм) – 1.8–2.6 Вт/м², УФ-C (200–280 нм) – 1.9–2.6 Вт/м². Скорость потока обрабатываемого раствора составляла 1 л/мин, объем – 1 л. При проведении экспериментов температура раствора постепенно увеличивалась и через 60 мин экспозиции достигала 40±2°C.
Изменение концентрации цефтриаксона (ЦЕФ) в растворе контролировали методом ВЭЖХ (Agilent 1260 Infinity с диодно-матричным УФ-детектором), колонка Zorbax SB-C18 4.6×150 мм). Объем пробы 70 мкл, температура колонки – 35°C, элюент – ацетонитрил и 0.1% раствор фосфорной кислоты (30:70). Скорость потока 0.3 мл/мин.
Эффективность процесса окисления оценивали по изменению концентрации цефтриаксона в обрабатываемом растворе по формуле:
где С0 и Сτ – исходная и в момент времени τ (мин) концентрация ЦЕФ, соответственно.
ОБСУЖДЕНИЕ РЕЗУЛЬТАТОВ
Сравнительная оценка окислительных систем
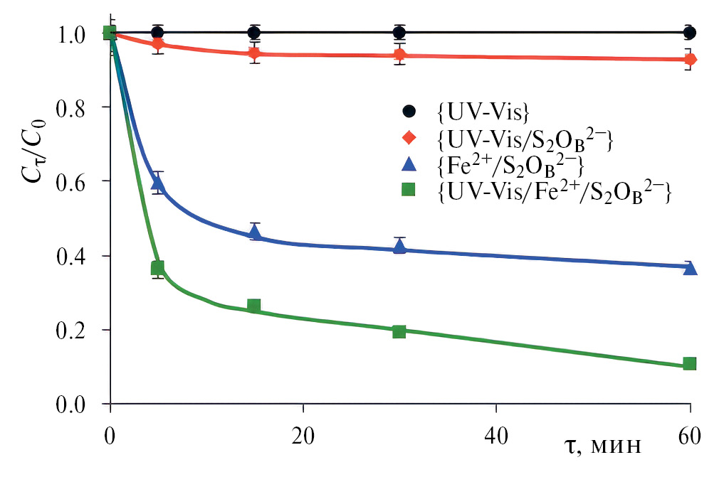
Цефтриаксон устойчив к излучению ксеноновой лампы. В диапазоне рН 3–9, эффективность удаления ЦЕФ не превысила 3% после 60 мин экспозиции. Добавление в обрабатываемый раствор персульфата с концентрацией 0.25–1.0 мМ повышает эффективность лишь до 7% (рис. 1). Использованная в экспериментах квазисолнечная лампа практически не дает световой поток <300 нм (рис. 2), поэтому прямое фоторазложение ЦЕФ (λmax=230 нм) и активация персульфата (λmax=192 нм) незначительны.
При введении в раствор Fe₂⁺процесс окислительной деструкции целевого соединения существенно интенсифицируется. Так, в комбинированной системе {UV–Vis/Fe₂⁺/S₂O₈²⁻} через 60 мин экспозиции эффективность окисления ЦЕФ возросла до 90% (рис. 1), а через 180 мин антибиотика в растворе не обнаружено.
Рис. 1. Кинетика окисления цефтриаксона в различных системах, [Fe₂⁺] = 0.1 мМ, [S₂O₈²⁻] = 1 мМ, Т=23°C.
Необходимо отметить, что в “темновых” условиях, в фентон-подобной системе {Fe₂⁺/S₂O₈²⁻}, несмотря на достаточно высокую начальную скорость, через 30 мин экспозиции процесс замедляется и через 60 мин эффективность окисления ЦЕФ составила 63% (рис. 1), вероятно вследствие выведения катализатора из раствора за счет образования комплексов с продуктами реакции.
По эффективности и начальной скорости реакции окисления ЦЕФ рассмотренные окислительные системы можно выстроить в следующий ряд: {UV–Vis/Fe₂⁺/S₂O₈²⁻}>{Fe₂⁺/S₂O₈²⁻}>>{UV–Vis/S₂O₈²⁻}>{UV–Vis}. В комбинированной системе {UV–Vis/Fe₂⁺/S₂O₈²⁻} наблюдался синергический эффект, о чем свидетельствует значение синергического индекса (j=1.3), рассчитанного по формуле:
где
φ – синергический индекс, Э – эффективность процесса окисления ЦЕФ при времени экспозиции 60 мин.
Введение железа в реакционную смесь приводит к уширению спектра поглощения раствора и увеличению его интенсивности в длинноволновой области (рис. 2).
Рис. 2. Спектры излучения квазисолнечной лампы и поглощения водных растворов индивидуальных веществ и их смеси, [Fe₂⁺] = 0.1 мМ, [S₂O₈²⁻] = 1 мМ.
Вероятно, происходит образование железосодержащих комплексов, выступающих в качестве фотосенсибилизаторов в процессе фотохимического окисления. Подобный эффект был установлен при окислении атразина и 4-хлорфенола в фентон-подобных системах, инициированных естественным солнечным излучением [22, 23].
Влияние концентрации реагирующих веществ на кинетику окислительной деструкции цефтриаксона в комбинированной системе {UV–Vis/Fe₂⁺/ S₂O₈²⁻}
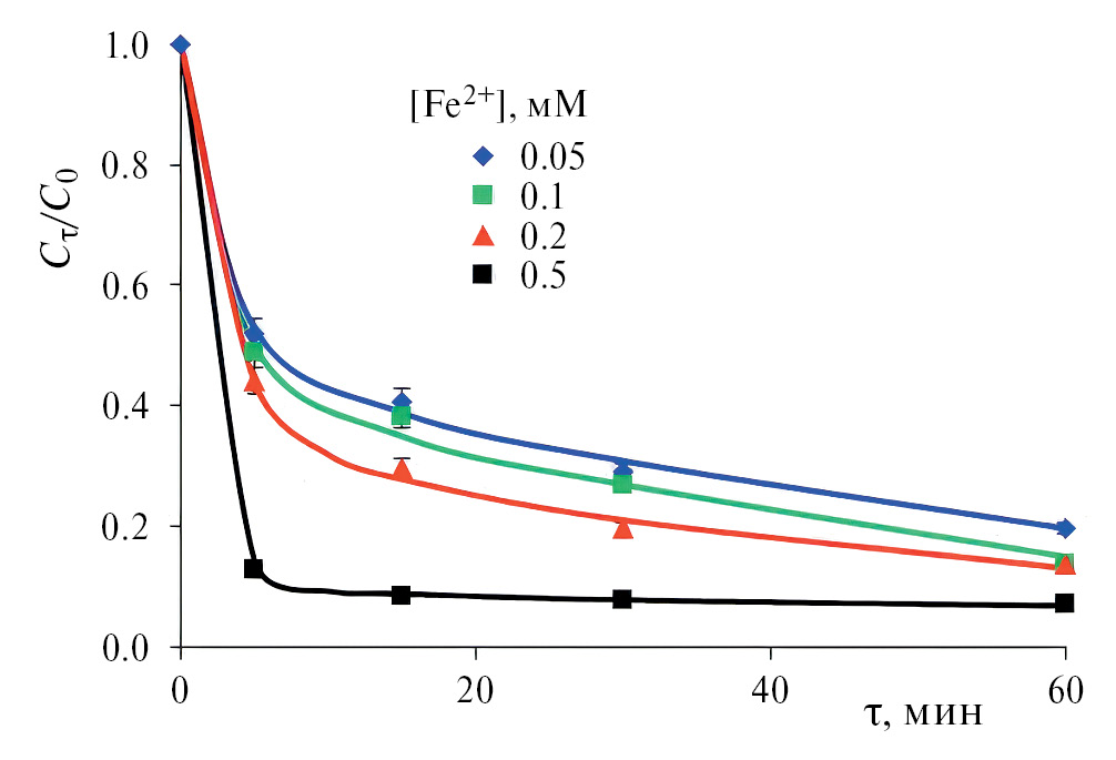
Существенное влияние на эффективность окисления органических соединений в фентон-подобной железо-персульфатной системе {Fe₂⁺/S₂O₈²⁻} оказывают концентрации Fe₂⁺и S₂O₈²⁻ и их соотношение. В ряде публикаций отмечалось, что максимальный выход активных форм кислорода (АФК) и оптимальные условия для окисления органических соединений реализуются при соотношении [S₂O₈²⁻]:[Fe₂⁺]=1:1 [24–27].
Рис. 3. Влияние концентрации Fe₂⁺на кинетику окисления цефтриаксона в комбинированной системе {UV–Vis/Fe₂⁺/S₂O₈²⁻}, [S₂O₈²⁻] = 0.5 мМ, Т=23°C.
Изучено влияние концентрации Fe₂⁺на кинетические закономерности окислительной деструкции ЦЕФ в комбинированной системе {UV–Vis/Fe₂⁺/S₂O₈²⁻} при постоянной концентрации окислителя [S₂O₈²⁻]=0.5 мМ и варьировании соотношения [S₂O₈²⁻]:[Fe₂⁺] от 1:0.1 до 1:1 (таблица 1, рис. 3). Экспериментально установлено, что даже при низкой концентрации [Fe₂⁺]=0.05 мМ, при соотношении [S₂O₈²⁻]:[Fe₂⁺]=1:0.1, эффективность деструкции достигает 80% при 60 мин экспозиции. При увеличении концентрации Fe₂⁺до 0.1 мМ, соотношение [S₂O₈²⁻]:[Fe₂⁺] =1:0.2, эффективность деструкции ЦЕФ возросла до 86%. Дальнейшее увеличение концентрации железа существенно не влияет на скорость и эффективность окислительного процесса.
Вероятно, в рассматриваемой нами комбинированной системе {UV–Vis/Fe₂⁺/S₂O₈²⁻} реализуется сопряженный радикально-цепной механизм, включающий наряду с процессами активации персульфата ионами Fe₂⁺(см. ниже (1) – (8) [13, 28, 29] фотовосстановление Fe³⁺из гидроксо- и органических комплексов (9), (10) [30–32], что позволяет повысить удельную каталитическую активность:
(1)
(2)
(3)
(4)
(5)
(6)
(7)
(8)
(9)
(10)
(11)
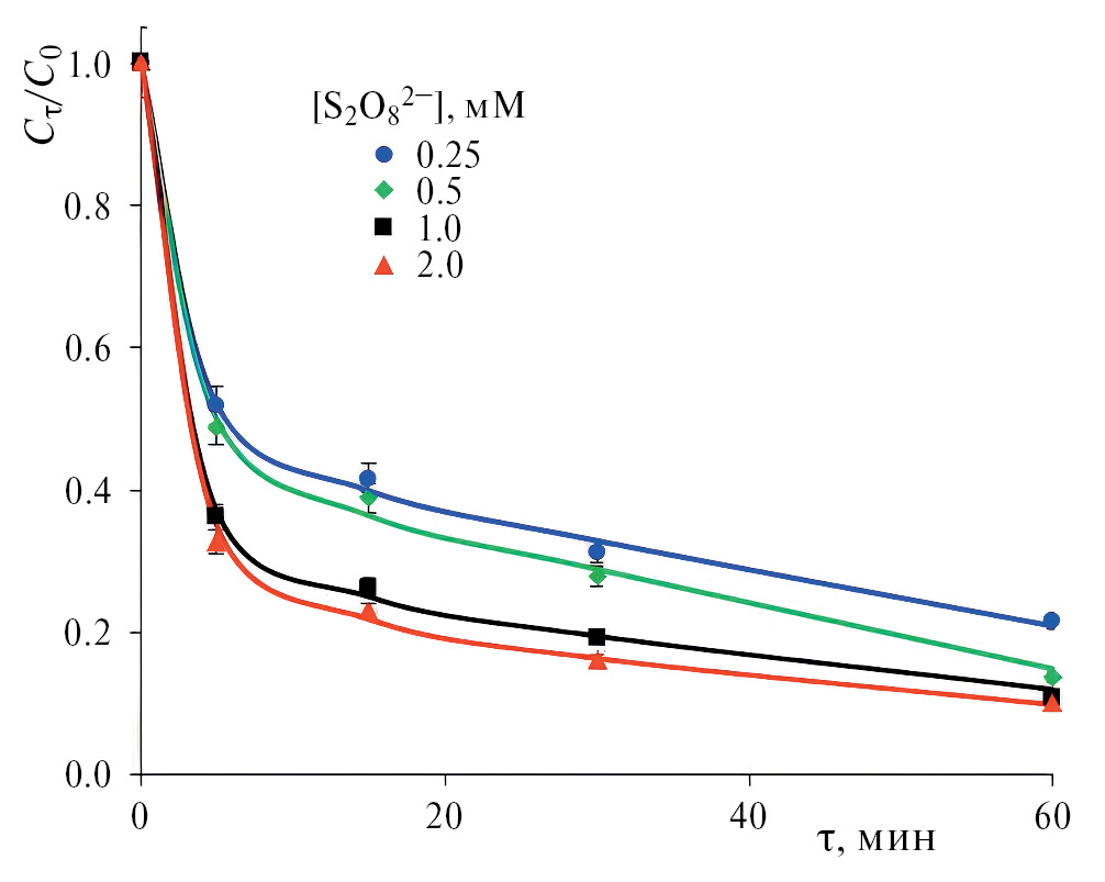
Изучено влияние концентрации S₂O₈²⁻ на кинетические закономерности окислительной деструкции ЦЕФ в комбинированной системе {UV–Vis/Fe₂⁺/S₂O₈²⁻} при постоянной концентрации [Fe₂⁺]=0.1 мМ и варьировании соотношения [S₂O₈²⁻]:[ЦЕФ] от 7.6:1 до 60:1 (табл. 1, рис. 4).
Рис. 4. Влияние концентрации окислителя на кинетику деструкции ЦЕФ в комбинированной системе {UV–Vis/Fe₂⁺/S₂O₈²⁻}, [Fe₂⁺] = 0.1 мМ, Т=23°C.
Установлено, что увеличение концентрации персульфата с 0.5 мМ до 1 мМ ([S₂O₈²⁻]:[ЦЕФ]=30:1) приводит к росту начальной скорости реакции окисления ЦЕФ в системе {UV–Vis/Fe₂⁺/S₂O₈²⁻} в 1.4 раза, эффективность конверсии при 60 мин экспозиции при этом повысилась на 11% (табл. 1, рис. 4). Дальнейшее увеличение концентрации окислителя не оказывает существенного влияния на кинетику окисления ЦЕФ в системе {UV–Vis/Fe₂⁺/S₂O₈²⁻}.
Таблица 1. Влияние концентраций Fe₂⁺и S₂O₈²⁻ на процесс окислительной деструкции цефтриаксона в комбинированной системе {UV–Vis/Fe₂⁺/S₂O₈²⁻} Т=23°C
[Fe₂⁺], мМ | [S₂O₈²⁻], мМ | W0, мкМ/мин | τ1/2, мин | Э*, % |
0 | 1.0 | 0.43 | >60 | 7 |
0.1 | 0 | 0.39 | >60 | 15 |
0.1 | 0.25 | 3.54 | 6.9 | 79 |
0.1 | 0.5 | 3.58 | 4.7 | 86 |
0.1 | 1.0 | 4.66 | 3.9 | 90 |
0.1 | 2.0 | 4.92 | 3.7 | 90 |
0.05 | 0.5 | 4.34 | 5.5 | 80 |
0.2 | 0.5 | 3.86 | 4.5 | 86 |
0.5 | 0.5 | 5.69 | 2.9 | 93 |
1.0 | 1.0 | 5.98 | 2.9 | 98 |
2.0 | 2.0 | 6.14 | 2.7 | 99 |
0.1** | 1.0** | 2.78 | 10.0 | 63 |
Таким образом, оптимальные условия для окислительной деструкции ЦЕФ в системе {UV–Vis/Fe₂⁺/S₂O₈²⁻} реализуются при соотношениях [S₂O₈²⁻]:[ЦЕФ]=30:1 и [S₂O₈²⁻]:[Fe₂⁺]=1:0.1.
Выявление роли радикальных процессов в окислительной деструкции цефтриаксона в комбинированной системе {UV–Vis/Fe₂⁺/S₂O₈²⁻}
В фентон-подобной железо-персульфатной системе {UV–Vis/Fe₂⁺/S₂O₈²⁻} в окислительной деструкции органических соединений участвуют формирующиеся in situ АФК – сульфатные анион-радикалы SO4•– и гидроксильные радикалы •OH (1) – (10). Кроме того, в растворе могут формироваться супероксидные анион-радикалы – O2•–(E0=2.4 В) [14, 30]. Так, Пан и др. [31], экспериментально доказали, что образующиеся в растворе коллоидные частицы [Fe(OH)3]m при фото-воздействии ксеноновой лампы выступают в качестве фотосенсибилизаторов в процессах генерирования супероксидных радикалов:
(12)
(13)
(14)
(15)
Для оценки вклада АФК – SO4•–, •OH и O2•–, в окислительную деструкцию ЦЕФ в системе {UV–Vis/Fe₂⁺/S₂O₈²⁻} проведены эксперименты с использованием ингибиторов радикальных реакций (рис. 5). Константы скорости взаимодействия метанола с SO4•– и •OH имеют относительно близкие значения (kMeOH/•OH = = 9.7×108 М–1с–1 и kMeOH/SO₄•– =1.1×107 М–1с–1 [32], поэтому он будет реагировать с ними практически одновременно. Константа скорости взаимодействия трет-бутанола с •OH на три порядка выше чем с SO4•–(kt-BtOH/•OH = (3.8–7.6)×108 М–1с–1 и kt-BtOH/SO₄•– =(4.0–9.1)×105 М–1с–1 [33]), поэтому с гидроксильными радикалами он будет реагировать в первую очередь. Учитывая, что константы скорости взаимодействия антибиотиков цефалоспоринового ряда с SO4•– и •OH составляют ≈ 109 М–1с–1 [34, 35], соединения – “ловушки” необходимо брать в большом избытке. Установлено, что при концентрации спиртов 100 мМ, эффективность конверсии ЦЕФ в присутствии метанола снизилась на 37%, а в присутствии трет-бутанола – на 24%, что позволяет утверждать, что в процессе окисления ЦЕФ в системе {UV–Vis/Fe₂⁺/S₂O₈²⁻} принимают участие как SO4•–, так и HO• радикалы. Дальнейшее увеличение концентрации трет-бутанола (до 500 мМ) привело к снижению эффективности конверсии еще на 10% и практически достигло значений, полученных в присутствии метанола. Так как при увеличении концентрации метанола подобного эффекта не наблюдалось, то можно предположить, что это произошло вследствие взаимодействия трет-бутанола с сульфатными анион-радикалами, что также является подтверждением их генерирования в растворе [32, 33].
В качестве “ловушки” супероксидного анион-радикала в фентоновских и фентон-подобных системах широко используют трихлорметан [30, 36, 37], так как константа скорости его взаимодействия с O₂•⁻на четыре порядка выше чем с HO• радикалами (kCHCl₃/O₂•– = 3×1010 М–1с–1, kCHCl₃/•OH = 5×106 М–1с–1 [37]). Установлено, что в присутствии трихлорметана скорость реакции окисления ЦЕФ в системе {UV–Vis/Fe₂⁺/S₂O₈²⁻} снижается, что приводит к уменьшению эффективности процесса на 12% (рис. 5).
Рис. 5. Влияние ингибиторов радикальных реакций на окисление цефтриаксона в комбинированной системе {UV–Vis/Fe₂⁺/S₂O₈²⁻}, [S₂O₈²⁻] = 1мМ, [Fe₂⁺] = 0.1 мМ, Т=23°C.
Полученные результаты свидетельствуют о реализации в процессе окислительной деструкции ЦЕФ в комбинированной системе {UV–Vis/Fe₂⁺/S₂O₈²⁻} мультирадикального механизма с участием гидроксильных радикалов, сульфатных и супероксидных анион-радикалов.
Влияние температуры на окислительную деструкцию цефтриаксона в комбинированной системе {UV–Vis/Fe₂⁺/S₂O₈²⁻}
Известно, что повышение температуры раствора интенсифицирует процесс окисления органических соединений персульфатом, как за счет роста коэффициента диффузии микрополлютантов в растворе, так и за счет увеличения скорости образования сульфатных анион-радикалов в результате термической активации [32, 38]. При реализации фотопроцессов с использованием естественного солнечного излучения (Solar–процессов) происходит самопроизвольное нагревание раствора до 40–45°C, поэтому изучение влияния температуры на кинетику окисления целевых соединений особенно важно.
Рис. 6. Влияние температуры на окисление цефтриаксона в комбинированной системе {UV–Vis/Fe₂⁺/S₂O₈²⁻}, [S₂O₈²⁻] = 1 мМ, [Fe₂⁺] = 0.1 мМ.
Рис. 7. Кинетика окисления цефтриаксона при естественном солнечном облучении, [Fe₂⁺] = 0.1 мМ, [S₂O₈²⁻] = 1 мМ.
Экспериментально установлено, что с увеличением температуры с 20°C до 40°C начальная скорость реакции окисления ЦЕФ увеличилась в 1.7 раза (с 2.52 мкМ/мин до 4.23 мкМ/мин), эффективность конверсии – с 73% до 98% (рис. 6). Кажущаяся энергия активации, рассчитанная методом начальных скоростей, составила 45 кДж∙моль–1, что сопоставимо со значениями, полученными для антибиотиков цефалоспоринового ряда [38, 39].
Окислительная деструкция цефтриаксона в комбинированной системе {Solar/Fe₂⁺/S₂O₈²⁻}
Результаты по окислительной деструкции цефтриаксона в системе {UV–Vis/Fe₂⁺/S₂O₈²⁻}, с использованием в качестве источника излучения ксеноновой лампы с квазисолнечным спектром, хорошо согласуются с результатами натурных исследований (“open-air”) при воздействии естественного солнечного излучения {Solar/Fe₂⁺/S₂O₈²⁻}. Экспериментально установлено, что ЦЕФ на солнечном свету разлагается медленно, за 120 мин экспозиции его концентрация в растворе снизилась на 35% (рис. 7). При добавлении персульфата, в системе {Solar/S₂O₈²⁻}, реализуется процесс окислительной деструкции ЦЕФ, начальная скорость реакции возрастает с 0.3 мкМ/мин до 0.8 мкМ/мин, эффективность удаления целевого соединения увеличивается с 35 до 75% при 120 мин экспозиции. В системе {Solar/Fe₂⁺/S₂O₈²⁻} наблюдается существенное увеличение начальной скорости реакции окисления ЦЕФ (в 5.5 раз), и уже через 30 мин экспозиции достигается 90%-ная конверсия ЦЕФ, а через 120 мин – 98%-ная. Существенная интенсификация процесса окисления ЦЕФ в системе {Solar/Fe₂⁺/S₂O₈²⁻} обусловлена повышением ее общего окислительного потенциала при комбинированной активации персульфата ионами железа, УФ-С (<300 нм) составляющей естественного солнечного излучения и термическим воздействием.
Полученные результаты свидетельствуют о перспективности использования комбинированной окислительной системы {Solar/Fe₂⁺/S₂O₈²⁻} для деструкции антибиотиков с целью снижения их поступления в окружающую среду.
***
Исследование выполнено в рамках государственного задания Федерального государственного бюджетного учреждения науки Байкальского института природопользования Сибирского отделения Российской академии наук FWSU-2021-0006, с использованием оборудования ЦКП БИП СО РАН (Улан-Удэ).
Об авторах
М. Р. Сизых
Байкальский институт природопользования СО РАН
Автор, ответственный за переписку.
Email: marisyz@mail.ru
Россия, Улан-Удэ
А. А. Батоева
Байкальский институт природопользования СО РАН
Email: marisyz@mail.ru
Россия, Улан-Удэ
К. Д. Алексеев
Байкальский институт природопользования СО РАН
Email: marisyz@mail.ru
Россия, Улан-Удэ
Список литературы
- Nandana B., John S., Velmaiel K.E., et al.// J. Environ. Chem. Eng. 2024. V. 12. № 1. 111567. doi: 10.1016/j.jece.2023.111567
- Устойчивость к антибиотикам. Всемирная организация здравоохранения. https://www.who.int/ru/news-room/fact-sheets/detail/antibiotic-resistance.
- Silva V., Louros V.L., Silva C.P., et al. // Chemosphere. 2024. V. 348. 140723. doi: 10.1016/j.chemosphere.2023.140723
- Zhang L., Zhu Z., Zhao M., et al. // Sci. Total Environ. 2023. V. 899. 165681. doi: 10.1016/j.scitotenv.2023.165681
- Ekwanzala M.D., Lehutso R.F., Kasonga T.K., et al. // Antibiotics. 2020. V. 9. № 7. 431. doi: 10.3390/antibiotics9070431
- Dias I.M., Mourão L.C., Andrade L.A., et al. // Water Res. 2023. V. 234. 119826. doi: 10.1016/j.watres.2023.119826
- Lamba M., Sreekrishnan T.R., Ahammad S.Z. // J. Environ. Chem. Eng. 2020. V. 8. № 1. 102088. doi: 10.1016/j.jece.2017.12.041
- Tavares R.D.S., Tacão M., Figueiredo A.S., et al.// Water Res. 2020. V. 184. 116079. doi: 10.1016/j.watres.2020.116079
- Shanmuganathan R., Sibtain Kadri M., Mathimani T., et al.// Chemosphere. 2023. V. 332. 138812. doi: 10.1016/j.chemosphere.2023.138812
- Hoang N.T., Manh T.D., Tram N.C.T., et al. // J. Environ. Chem. Eng. 2024. V. 12. № 1. 111846. doi: 10.1016/j.jece.2023.111846
- Huang A., Yan M., Lin J., et al. // Int. J. Environ. Res. Public Health. 2021. V. 18. № 9. 4909. doi: 10.3390/ijerph18094909
- Ahmed M.B., Zhou J.L., Ngo H.H., et al./ J. Hazard. Mater. 2017. V. 323. P. 274–298. doi: 10.1016/j.jhazmat.2016.04.045
- Brillas E. // J. Environ. Chem. Eng. 2023. V. 11. № 6. 111303. doi: 10.1016/j.jece.2023.111303
- Dong C., Fang W., Yi Q., Zhang J. // Chemosphere. 2022. V. 308. 136205. doi: 10.1016/j.chemosphere.2022.136205
- Wang B., Wang Y. // Sci. Total Environ. 2022. V. 831. 154906. doi: 10.1016/j.scitotenv.2022.154906
- СанПиН 1.2.3685–21 “Гигиенические нормативы и требования к обеспечению безопасности и (или) безвредности для человека факторов среды обитания”/Постановление Роспотребнадзора от 28.01.2021 г. № 2. https://www.rospotrebnadzor.ru/files/news/GN_sreda%20_obita. // 2021.
- Pirsaheb M., Hossaini H., Janjani H. // Desalin. Water Treat. 2019. V. 165. P. 382–395. doi: 10.5004/dwt.2019.24559
- Zhang Y., Zhao Y.-G., Maqbool F., Hu Y. // J. Water Process Eng. 2022. V. 45. 102496. doi: 10.1016/j.jwpe.2021.102496
- Welch D., Buonanno M., Grilj V., et al.// Sci. Rep. 2018. V. 8. № 1. 2752. doi: 10.1038/s41598-018-21058-w
- Xu J., Huang C.-H. // Environ. Sci. Technol. Lett. 2023. V.10. P. 543–548. doi: 10.1021/acs.estlett.3c00313
- Matafonova G., Batoev V. // Water Res. 2018. V. 132. P. 177–189. doi: 10.1016/j.watres.2017.12.079
- Krutzler T., Fallmann H., Maletzky P., et al.// Catal. Today. 1999. V. 54. № 2. P. 321–327. doi: 10.1016/S0920-5861(99)00193-5
- Khandarkhaeva M., Batoeva A., Aseev D., et al.// Ecotoxicol. Environ. Saf. 2017. V. 137. P. 35–41. doi: 10.1016/j.ecoenv.2016.11.013
- P. Anipsitakis G., Dionysiou D. // Appl. Catal. B. 2004. V. 54. P. 155–163. doi: 10.1016/j.apcatb.2004.05.025
- Matzek L.W., Carter K.E. // Chemosphere. 2016. V. 151. P. 178–188. doi: 10.1016/j.chemosphere.2016.02.055
- Zhu J.-P., Lin Y.-L., Zhang T.-Y., et al.// Chem. Eng. J. 2019. V. 367. P. 86–93. doi: 10.1016/j.cej.2019.02.120
- Bu L., Shi Z., Zhou S. // Sep. Purif. Technol. 2016. V. 169. P. 59–65. doi: 10.1016/j.seppur.2016.05.037
- Sang W., Xu X., Zhan C., et al.// J. Water Process Eng. 2022. V. 49. 103075. doi: 10.1016/j.jwpe.2022.103075
- Grčić I., Vujević D., Koprivanac N. // Chem. Eng. J. 2010. V. 157. № 1. P. 35–44. doi: 10.1016/j.cej.2009.10.042
- Li Y., Shi Y., Huang D., Wu Y., Dong W. // J. Hazard. Mater. 2021. V. 413. P. 125420. doi: 10.1016/j.jhazmat.2021.125420
- Pan M., Ding J., Duan L., Gao G. // Chemosphere. 2017. V. 167. P. 353–359. doi: 10.1016/j.chemosphere.2016.09.144
- Ioannidi A., Arvaniti O.S., Nika M.-C., et al.// Chemosphere. 2022. V. 287. 131952. doi: 10.1016/j.chemosphere.2021.131952
- Diao Z.H., Wei-Qian, Guo P.R., et al. // Chem. Eng. J. 2018. V. 349. P. 683–693. doi: 10.1016/j.cej.2018.05.132
- Wojnárovits L., Takács E. // Chemosphere. 2019. Vol. 220, P. 1014–1032. doi: 10.1016/j.chemosphere.2018.12.156
- Wojnárovits L., Tóth T., Takács E. // Crit. Rev. Environ. Sci. Technol. 2018. V. 48. № 6. P. 575–613. doi: 10.1080/10643389.2018.1463066
- Hwang S., Huling S.G., Ko S. // Chemosphere. 2010. V. 78. № 5. P. 563–568. doi: 10.1016/j.chemosphere.2009.11.005
- Cai H., Chen M., Li J., et al.// Mater. Sci. Semicond. Process. 2022. V. 143. 106502. doi: 10.1016/j.mssp.2022.106502
- Erdem H., Erdem M. // J. Environ. Chem. Eng. 2023. P. 111720. doi: 10.1016/j.jece.2023.111720
- Gutiérrez-Sánchez P., Álvarez-Torrellas S., Larriba M., et al. // J. Environ. Chem. Eng. 2023. V. 11. № 2. 109344. doi: 10.1016/j.jece.2023.109344
Дополнительные файлы










