Фазообразование, полиморфизм, оптические свойства и проводимость соединений и твердых растворов на основе Nd₂WO₆
- Авторы: Балдин Е.Д.1, Лысков Н.В.2,3, Рассулов В.А.4, Шляхтина А.В.1
-
Учреждения:
- Федеральный исследовательский центр химической физики им. Н. Н. Семёнова РАН
- Федеральный исследовательский центр проблем химической физики и медицинской химии РАН
- Национальный исследовательский университет “Высшая школа экономики”
- ФГБУ “ВИМС им. Н. М. Федоровского”
- Выпуск: Том 98, № 11 (2024)
- Страницы: 99-107
- Раздел: СТРОЕНИЕ ВЕЩЕСТВА И КВАНТОВАЯ ХИМИЯ
- Статья получена: 19.03.2025
- Статья одобрена: 19.03.2025
- Статья опубликована: 15.11.2024
- URL: https://journal-vniispk.ru/0044-4537/article/view/284080
- DOI: https://doi.org/10.31857/S0044453724110114
- EDN: https://elibrary.ru/EZCOBH
- ID: 284080
Цитировать
Аннотация
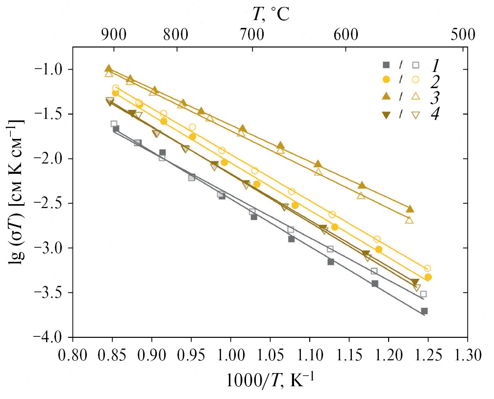
Исследовано фазообразование вольфрамата неодима Nd₂WO₆ из механически активированных оксидов в широком температурном интервале: 25–1600°C. Определены условия образования различных полиморфных модификаций: низкотемпературных ромбических β-Nd₂WO₆ и δ-Nd₂WO₆ (P212121 (№ 19)); высокотемпературной моноклинной Nd₂WO₆ (пр. гр. C12/c1 (№ 15)). Оптические спектры поглощения исследованы для полиморфной керамики номинального состава Nd₂WO₆. Обнаружены различия в спектрах δ-Nd₂WO₆ и моноклинного Nd₂WO₆. У обеих модификаций вольфрамата неодима δ-Nd₂WO₆ и моноклинного Nd₂WO₆ наблюдалась протонная составляющая проводимости с энергией активацией 1.05 и 1.06 эВ соответственно. Однако, для Ca-содержащего твердого раствора с моноклинной структурой (Nd₁₋ₓCaₓ)₂WO₆–δ (x = 0.01), у которого общая проводимость возрастает по сравнению с чистым моноклинным Nd₂WO₆, преобладает дырочная проводимость на воздухе.
Ключевые слова
Полный текст
Об авторах
Е. Д. Балдин
Федеральный исследовательский центр химической физики им. Н. Н. Семёнова РАН
Автор, ответственный за переписку.
Email: baldin.ed16@physics.msu.ru
Россия, Москва
Н. В. Лысков
Федеральный исследовательский центр проблем химической физики и медицинской химии РАН; Национальный исследовательский университет “Высшая школа экономики”
Email: baldin@chph.ras.ru
Россия, Москва; Черноголовка
В. А. Рассулов
ФГБУ “ВИМС им. Н. М. Федоровского”
Email: baldin@chph.ras.ru
Россия, Москва
А. В. Шляхтина
Федеральный исследовательский центр химической физики им. Н. Н. Семёнова РАН
Email: baldin@chph.ras.ru
Россия, Москва
Список литературы
- Pautonnier А., Coste S., Barré M., Lacorre P. // Progress in Solid State Chemistry. 2023. V. 69. P. 100382. https://doi.org/10.1016/j.progsolidstchem.2022.100382
- Chang L.L.Y., Phillips B. // Inorg. Chem. 1964. V. 3. P. 1792.
- Chang L.L.Y., Scroger M.G., Phillips B. // J. Inorg. Nucl. Chem. 1966. V. 28. P. 1179. https://doi.org/10.1016/0022-1902(66)80443-8
- Popov V.V., Menushenkov A.P., Yastrebtsev A.A. et al. // Solid State Sciences 2021. V. 112. P. 106518. https://doi.org/10.1016/j.solidstatesciences.2020.106518
- Morozov V.A., Raskina M.V., Lazoryak B.I. et al. // Chem. Mater. 2014 V. 26 (24). P. 7124–7136. https://doi.org/10.1021/cm503720s.
- Wu C., Ma L., Zhu, Y. et al. // Catalysts. 2022. V. 12. P. 926 doi: 10.3390/catal12080926.
- Партин Г.С. Электропроводность флюоритоподобных сложных оксидов в системе La6WO12─La10W2O21 и Pr6WO12─Pr10W2O21. Магистерская диссертация. Екатеринбург 2015.
- Shlyakhtina A.V., Avdeev M., Lyskov N.V. et al. // Dalton Trans. 2020. V. 49. P. 2833. DOI https://doi.org/10.1039/C9DT04724G
- Shlyakhtina A.V., Baldin E.D., Vorobieva G.A. et al. // International J. of Hydrogen Energy. 2023. V. 48 (59). P. 22671. https://doi.org/10.1016/j.ijhydene.2023.03.259
- Partin G.S., Korona D.V., Neiman A. Ya., Belova K.G. // Russ. J. Electrochem 2015. V. 51. P. 381. https://doi.org/10.1134/S1023193515050092
- Chambrier M.-H., Kodjikian S., Ibberson R.M., Goutenoire, F. // J. of Solid State Chemistry 2009. V. 182. P. 209. https://doi.org/10.1016/j.jssc.2008.09.010
- Efremov V.A., Tyulin A.V., Trunov V.K. // Soviet Physics Crystallography (translated from Kristallografiya) 1984. V. 29. P. 398.
- Allix M., Chambrier M.-H., Véron, E. et al. // Cryst. Growth Des. 2011. V. 11. P. 5105. https://doi.org/10.1021/cg201010y
- Carlier T., Chambrier M.-H., Anthony Ferri A. et al. // ACS Appl. Mater. Interfaces 2015. V.7 (44). P. 24409. https://doi.org/10.1021/acsami.5b01776
- Carlier T., Chambrier M.-H., Da Costa A. et al. // Chem. Mater. 2020 V. 32. P. 7188. https://dx.doi.org/10.1021/acs.chemmater.0c01405
- Yanovskii V.K., Voronkova V.I. // Solid State Physics. 1977. V. 19. P. 3318.
- Jayalekshmy N.L., Thomas J.K., Solomon S. // Bull. Mater. Sci. 2019. V. 42:178. https://doi.org/10.1007/s12034-019-1887-0
- Chen Y.-C., Weng M.-Z. // J. of the Ceramic Society of Japan. 2016. V. 124(1). P. 98. http://dx.doi.org/10.2109/jcersj2.15155
- Kaczmarek S.M., Tomaszewicz E., Moszyński D. et al. // Materials Chemistry and Physics 2010. V. 124. P. 646. https://doi.org/10.1016/j.matchemphys.2010.07.028
- Yanovskii V.K., Voronkova V.I. // Inorganic Materials (translated from Neorganicheskie Materialy) 1975. V. 11. P. 73.
- Yoshimura M., Sibieude F., Rouanet A., Foex M. // Rev Int Hautes Temp Refract. 1975. V. 12(3). P. 215.
- Li Q., Thangadurai V. // J. of Power Sources 2011. V. 196. P. 169. https://doi.org/10.1016/j.jpowsour.2010.06.055
- Morkhova Y.A., Orlova E.I., Kabanov A.A. et al. // Solid State Ionics. 2023. V. 400. P. 116337. https://doi.org/10.1016/j.ssi.2023.116337
- Shlyakhtina A., Lyskov N., Chernyak S. et al. // IEEE International Symposium on Applications of Feeroelectric, ISAF 2021, International Symposium on Integrated Functionalities, ISIF 2021 and Piezoresponse Force Microscopy Workshop, PFM 2021 – Proceedings 9477315. https://ieeexplore.ieee.org/document/9477315
- Shlyakhtina A.V., Lyskov N.V., Baldin, E. D et al. // Ceramics International. 2023. V. 50. P. 704. https://doi.org/10.1016/j.ceramint.2023.10.149
- Yoshimura M., Rouanet A // Mat. Res. Bull. 1976. V. 11. P. 151. https://doi.org/10.1016/0025-5408(76)90070-2
- Momma K., Izumi F. // J. Appl. Crystallogr.2011. V. 44. P. 1272. http://dx.doi.org/10.1107/S0021889811038970
- Baldin E.D., Gorshkov N.V., Vorobieva, G.A. et al. // Energies. 2023. V. 16(15). P. 5637. https://doi.org/10.3390/en16155637
- Shannon R.D. // Acta Crystallographica. 1976. V. A32. P. 155.
- Shehu A. Structural analysis and its implications for oxide ion conductivity of lanthanide zirconate pyrochlores. PhD thesis. School of Biological and Chemical Sciences Queen Mary University of London. 2018
- Shlyakhtina A.V., Lyskov N.V., Konysheva E. Yu. et al. // J. Solid State Electrochem. 2020. V 24 (7). P. 1475. https://doi.org/10.1007/s10008-020-04574-6
- Korona D.V., Partin G.S., Neiman A.Y. // Russ. J. Electrochem. 2015. V. 51. P. 925. https://doi.org/10.1134/S1023193515100067
Дополнительные файлы









