Физикохимия процессов сольватации/ассоциации в системе водорослевая целлюлоза/наноцеллюлоза–ДМАА/LICL
- Авторы: Боголицын К.Г.1,2, Паршина А.Э.1, Поломарчук Д.А.1
-
Учреждения:
- Северный (Арктический) федеральный университет им. М. В. Ломоносова
- Федеральный исследовательский центр комплексного изучения Арктики им. Н. П. Лаверова УрО РАН
- Выпуск: Том 98, № 11 (2024)
- Страницы: 116-124
- Раздел: ФИЗИЧЕСКАЯ ХИМИЯ НАНОКЛАСТЕРОВ, СУПРАМОЛЕКУЛЯРНЫХ СТРУКТУР И НАНОМАТЕРИАЛОВ
- Статья получена: 19.03.2025
- Статья одобрена: 19.03.2025
- Статья опубликована: 15.11.2024
- URL: https://journal-vniispk.ru/0044-4537/article/view/284135
- DOI: https://doi.org/10.31857/S0044453724110138
- EDN: https://elibrary.ru/EYQFLZ
- ID: 284135
Цитировать
Полный текст
Аннотация
В данной работе проведено реологическое исследование процесса сольватации водорослевой целлюлозы и наноцеллюлозы в среде диметилацетамида с добавкой хлорида лития как одного из приоритетных прямых растворителей. Установлено, что водорослевая целлюлоза в растворе способна образовывать пространственные структуры – катионные комплексы с диметилацетамидом, стабилизированные анионами хлора. Энергия активации данного процесса составляет 29.4–42.8 кДж/моль. Зависимости вязкости от концентрации указывают на наличие ассоциационных взаимодействий, наиболее интенсивно проявляющихся при концентрации целлюлозы/наноцеллюлозы в растворе >1.5%. Методом ротационной вискозиметрии определено, что растворы водорослевой целлюлозы/наноцеллюлозы с концентрацией 2.0% обладают псевдопластичными свойствами. Реология полученных растворов делает их перспективным исходным сырьем для создания нетканых материалов, гидро/аэрогелей биомедицинского назначения.
Ключевые слова
Полный текст
В современном мире растет спрос на полифункциональные материалы с широким спектром применения, среди которых особенно выделяется целлюлоза – самый распространенный биополимер на планете. Являясь основным структурным компонентом клеточной стенки каждого растения, она обеспечивает механическую прочность и эластичность растительным тканям. Помимо лигноуглеводных наземных объектов, целлюлоза содержится в клеточных стенках морских растений, в том числе макроводорослей [1–5], которые являются перспективным альтернативным источником целлюлозных материалов, учитывая особенности их роста и воспроизводства сырьевой базы. Существенным преимуществом морских макрофитов является отсутствие лигнина, что позволяет в процессе выделения использовать более мягкие окислители и получить конечные продукты высокой чистоты [6]. Как и в наземных растениях, целлюлоза является ключевым структурообразующим компонентом клеточной стенки водорослей [7], которая может быть представлена в виде целлюлозного каркаса, помещенного в аморфную матрицу, состоящую из альгинатов и фукоиданов [8]. С химической точки зрения целлюлоза представляет собой нерастворимый в воде гомополимер из звеньев глюкопиранозы, соединенных ацетальными связями β-1–4 [7, 9]. Целлюлоза обладает ярко выраженной гидрофильной и гидрофобной природой из-за присутствия как экваториальных гидроксильных групп, так и аксиальных атомов водорода, что придает ей стабильность благодаря компланарной ориентации отдельных глюкопиранозных колец [10, 11].
Биосинтез целлюлозы осуществляется терминальными мембранными комплексами целлюлозосинтазы [12]. Размер и форма микрофибрилл, кристалличность и внутримикрофибриллярные ассоциации напрямую связаны с особенностями организации терминальных комплексов. Их типичная геометрия у высших растений соответствует гексагональной структуре, обычно известной как структура розеток. Для водорослей характерны более разнообразные варианты организации терминальных комплексов: розеточное, одно- и многорядное [13–15]. После биосинтеза полимерные цепочки целлюлозы агрегируют в полукристаллические микрофибриллы благодаря меж- и внутримолекулярным водородным связям и силам Ван-дер-Ваальса. Микрофибриллы состоят из 24–36 цепочек целлюлозы, в зависимости от количества каталитически активных ферментов целлюлозосинтазы [9].
Волокна целлюлозы характеризуются наличием кристаллических (ориентированных, упорядоченных) и аморфных областей [7]. Для целлюлозы, как кристаллизующегося полимера, характерно явление полиморфизма, то есть способности образовывать кристаллиты с различными параметрами элементарной ячейки. Согласно принятым представлениям, нативная целлюлоза относится к структурной модификации “целлюлоза I” [16], в которой выделяют две кристаллические фазы: α и β. В целлюлозах, полученных из примитивных организмов (бактерии, водоросли), преобладает низкосимметричная фаза Iα, тогда как в целлюлозах, полученных из высших растений – фаза Iβ. Однако, здесь нет строгой дифференциации – все целлюлозы в разных пропорциях содержат обе модификации [17]. Сосуществование двух полиморфов с различной стабильностью будет влиять на реакционную способность нативной целлюлозы. Так как Iα фаза метастабильна, ее реакционная способность выше, чем у Iβ. Следовательно, участки цепей с Iα кристаллитами будут областями первичной реакции [16].
Благодаря нетоксичности, биосовместимости, высокой прочности и жесткости, способности к биодеградации и легкой обрабатываемости, формируется высокий рыночный спрос на целлюлозу и материалы на ее основе. Растворы целлюлозы имеют важное практическое значение при получении различных изделий, таких как искусственные волокна, пленки, клеи, лаки и другие материалы. С исследовательской точки зрения растворы целлюлозы позволяют охарактеризовать такие фундаментальные свойства, как молекулярная масса, полидисперсность, физическая структура макромолекул (форма, гибкость), надмолекулярная структура и др. Среди относительно большого числа растворителей целлюлозы можно выделить систему N, N-диметилацетамида (ДМАА) с добавлением LiCl – удобный прямой растворитель, позволяющий получать стабильные растворы [18]. Целью исследования является физикохимическая характеристика процессов сольватации/ассоциации в системе водорослевая целлюлоза-ДМАА/LiCl для создания научных основ новых способов получения полифункциональных материалов.
ЭКСПЕРИМЕНТАЛЬНАЯ ЧАСТЬ
Характеристика объектов исследования. Водорослевая целлюлоза (ВЦ) и наноцеллюлоза (ВНЦ) выделены из арктических бурых водорослей вида Saccharina latissima, отобранных в акватории о. Большой Соловецкий (Белое море) по разработанной авторами схеме (рис. 1). Характеристики полученных целлюлозных материалов приведены в табл. 1.
Рис. 1. Схема получения водорослевой целлюлозы и наноцеллюлозы.
Таблица 1. Общая характеристика объектов исследования
Показатель | Водорослевая | Водорослевая |
Степень полимеризации, ед | 555 | 200 |
Степень кристалличности, % | 56 | 69 |
Iα/Iβ, %/% | 99.3/0.7 | 96.8/3.19 |
Размер частиц (длина), мкм | 365 | 0.394 |
Удельная площадь поверхности, м²/г | 6.87 | 7.08 |
Объем пор, см3/г | 0.022 | 0.023 |
Средний диаметр пор, нм | 9.09 | 13.18 |
Растворение водорослевой целлюлозы и наноцеллюлозы. Полученную целлюлозу (наноцеллюлозу) растворяли горячим способом с использованием системы ДМАА/LiCl с содержанием LiCl 8%. В кипящий ДМАА вносили навеску целлюлозы (наноцеллюлозы) и выдерживали 30 минут при периодическом перемешивании. После стадии набухания и активации целлюлозной матрицы убирали нагрев и вносили LiCl. Колбу со смесью помещали на перемешивающее устройство без нагрева и выдерживали до полного растворения при комнатной температуре (~6–12 ч). Готовые растворы содержали 0.1, 0.2, 0.7, 1.0, 1.5, 2.0, 3.0% целлюлозы/наноцеллюлозы.
Определение плотности растворов водорослевой целлюлозы и наноцеллюлозы. Плотность определяли пикнометрическим способом. В предварительно взвешенный пикнометр загружали раствор, термостатировали его при 25° в течение 30 мин и затем взвешивали. Плотность (г/см3) рассчитывали по формуле:
,
где m1 – масса пустого пикнометра, г, m2 – масса пикнометра с пробой, г, V – объем пикнометра, мл.
Определение вязкости растворов. Капиллярная вискозиметрия. Вязкость растворов целлюлозы (наноцеллюлозы) определяли вискозиметрически в термостате при температурах 25, 30, 40, 50, 60°. Для анализа использовали капиллярные вискозиметры типа ВПЖ-2 с диаметрами капилляра 0.49–3.35 мм. Кинематическую вязкость (ν, мм² /с) рассчитывали по формуле:
,
где k – константа вискозиметра, t – время истечения, с.
Динамическую вязкость (η, мПа с) рассчитывали по формуле:
,
где ρ – плотность, г/см3.
Ротационная вискозиметрия. Исследования изменения вязкостного показателя (напряжение сдвига) при варьировании нагрузки (скорость сдвига) проводили с использованием ротационного вискозиметра Fungilab Premium (Fungilab, Испания) с набором коаксиальных шпинделей ТL 5–7. Для выполнения измерения вязкости задавали скорость вращения на панели прибора для попадания значений момента в диапазон 10–90%.
ОБСУЖДЕНИЕ РЕЗУЛЬТАТОВ
Сольватационные взаимодействия в системе целлюлоза-ДМАА/LiCl. Растворитель целлюлозы может выступать в качестве донора электронов при взаимодействии с водородом гидроксильных групп целлюлозы, а также как акцептора в связях с атомами кислорода. Как следствие, эффективный растворитель (растворяющая система) должен сочетать и донорные, и акцепторные свойства, а во избежание стерических затруднений его молекулы должны иметь оптимальные размеры [19]. Ключевой фактор растворения – преодоление энергии когезии полимера, то есть сил взаимодействия между макромолекулами. Для полного растворения должно соблюдаться основное правило – сродство растворителя к полимеру. Большое значение при растворении полимеров имеет энергетический фактор взаимодействия с растворителем. Так, полярные кристаллические полимеры растворяются только в средах, энергия взаимодействия с которыми больше, чем энергия меж- и внутримолекулярных взаимодействий.
Растворению полимера всегда предшествует набухание. Сначала молекулы растворителя проникают в межмолекулярные пространства, затем они нарушают межмолекулярные связи, раздвигают цепи полимера, изменяют его структуру, увеличивая объем системы. При этом растворитель энергетически взаимодействует с полимером, т. е. происходит процесс сольватации, а затем сольватированные макромолекулы отрываются от массы полимера и переходят в раствор. Целлюлоза, как полярный аморфно-кристаллический полимер, растворяется только в высоко полярных растворителях, причем иногда вступает с ними в химическое взаимодействие. В целом, данный биополимер растворяется с трудом и в очень ограниченном числе растворителей, что объясняется сильным межмолекулярным взаимодействием (высокой энергией когезии) и высокой степенью кристалличности [20].
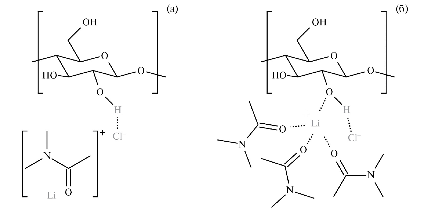
Основными растворителями, используемыми в настоящее время, служат комплексные соединения металлов, которые, по мнению большинства исследователей, вступают с целлюлозой в химическое взаимодействие, в результате которого образуется комплексный катион (поликатион). В такой системе происходит возникновение водородных связей между -ОН группами целлюлозы и гидроксилами комплексного основания с частичным выделением аммиака. N, N-диметилацетамид (ДМАА) с добавкой LiCl является классической системой прямого растворения целлюлозы и играет важную роль в истории науки и технологии целлюлозы, широко применяется для ее анализа, гомогенной модификации и производства целлюлозных материалов [18, 21–26]. В работах [27–29] показано, что в системе ДМАА/LiCl соль находится в ионизированном состоянии в форме ионной пары Li+-Cl–. Ключевую роль здесь играют анионы хлора, которые разрушают систему водородных связей целлюлозы, формируя новые О···Cl– [30]. Катионы лития в свою очередь тесно ассоциированы с карбонильным кислородом молекул диметилацетамида, образуя катионный комплекс Li+(ДМАА)x. Предложены два механизма растворения целлюлозы в ДМАА/LiCl, и оба предполагают существование катионов Li+ в растворах целлюлоза-ДМАА/LiCl (рис. 2) [31].
Рис. 2. Механизм растворения целлюлозы в ДМАА/LiCl, предложенный a) МакКормиком и др. [32]N-dimethylacetamide (DMAc, б) Моргенштерном и др. [33].
МакКормик и соавторы [32] выдвинули гипотезу, что макрокатионный комплекс Li+(ДМАА)x ассоциируется с Cl–, а между атомами Li+ и кислорода целлюлозы нет прямого взаимодействия. Скорость, с которой целлюлоза растворяется, по-видимому, сильно зависит от количества межмолекулярных водородных связей, присутствующих в исходном образце. Разрушение водородных связей, чему способствует предварительное набухание и/или нагревание, резко увеличивает скорость растворения. Моргенштерн и соавторы [33] также взяли за основу формирование макрокатиона Li+(ДМАА)x, но в котором одна молекула ДМАА во внутренней координационной сфере Li+ заменяется одной гидроксильной группой целлюлозы при растворении целлюлозы. Образование макрокатиона Li+(ДМАА)x подтверждается данными термодинамических исследований, ЯМР13C, кристаллографии [27, 29, 30, 32]. С другими катионами диметилацетамид не образует подобных ассоциатов. Так, например, методом ядерного магнитного резонанса установлено, что добавка ZnCl2 не вызывает химического сдвига карбонильного углерода ДМАА, который наблюдается только в присутствии LiCl. Неспособность других солей лития, таких как LiBr и LiI, вызывать растворение целлюлозы в ДМАА, по-видимому, указывает на важную связующую роль, которую играет хлорид-анион, и, вероятно, исключает предположение о связывании катиона с гидроксильным кислородом (рис. 2б) [32].
Таким образом, комплексный сольвент на основе диметилацетамида с добавкой хлорида лития является прямым растворителем целлюлозы, в котором она способна сохранять свои структурно-функциональные особенности. Приготовленные образцы растворов остаются стабильными в течение длительного времени хранения. Совокупность этих факторов обуславливает приоритетность используемого растворителя для детальной характеристики системы меж- и внутримолекулярных связей водорослевой целлюлозы и наноцеллюлозы, формирующих структуру раствора и определяющих взаимодействия в системе целлюлоза–полярный растворитель.
Вязкость полимерных целлюлозных систем. Одним из универсальных методов исследования структурных особенностей полимерных систем в жидком состоянии является вискозиметрия. Природа вязкости обусловлена наличием взаимодействий молекул полимера между собой, а также с растворителем. На показатель вязкости будет оказывать влияние целый ряд внешних факторов, среди которых ключевыми будут концентрация и температура. Концентрация определяет интенсивность межмолекулярных взаимодействий в растворе, а температура является наиболее простым и эффективным способом сообщения системе энергии для исследования структурных перегруппировок. Таким образом, оценка вязкостных свойств растворов разной концентрации в температурном диапазоне позволит дать комплексную характеристику взаимодействиям в системах целлюлоза–целлюлоза и целлюлоза–растворитель.
Таблица 2. Динамическая вязкость (мПа с) и плотность (г/мл) растворов водорослевой целлюлозы (ВЦ) и наноцеллюлозы (ВНЦ) разной концентрации
С, % | Температура, °C | ρ, г/мл | ||||
25 | 30 | 40 | 50 | 60 | ||
Водорослевая целлюлоза | ||||||
0.1 | 7.6 | 6.4 | 4.7 | 3.7 | 3.0 | 0.9995 |
0.2 | 15.2 | 13.5 | 9.6 | 7.2 | 5.6 | 1.0038 |
0.7 | 27.3 | 22.4 | 15.8 | 9.6 | 8.8 | 1.0047 |
1.0 | 70.7 | 58.0 | 38.2 | 26.4 | 19.0 | 1.0076 |
1.5 | 145.9 | 119.1 | 77.8 | 53.2 | 38.2 | 1.0188 |
2.0 | 400.0 | 320.0 | 201.2 | 130.8 | 89.4 | 1.0167 |
3.0 | 4672.9 | 3625.6 | 2090.3 | 1238.8 | 771.8 | 1.0129 |
Водорослевая наноцеллюлоза | ||||||
0.1 | 7.2 | 5.9 | 4.4 | 3.4 | 2.8 | 0.9876 |
0.2 | 8.4 | 7.4 | 6.0 | 4.2 | 3.4 | 1.0115 |
0.7 | 17.6 | 15.3 | 10.8 | 8.1 | 6.2 | 1.0106 |
1.0 | 27.2 | 23.5 | 16.4 | 16.1 | 9.1 | 1.0122 |
1.5 | 54.0 | 45.0 | 30.5 | 21.6 | 15.6 | 1.0135 |
2.0 | 93.6 | 71.0 | 47.8 | 33.3 | 24.4 | 1.0142 |
3.0 | 458.8 | 364.4 | 224.3 | 145.2 | 94.1 | 1.0142 |
В данной статье приведены результаты исследования реологии растворов целлюлозы и наноцеллюлозы в диапазоне концентраций 0.1–3.0% в ДМАА/LiCl с использованием капиллярного вискозиметра Оствальда при температуре раствора от 25 до 60°C. Изотермы динамической вязкости растворов целлюлозы и наноцеллюлозы (табл. 2) имеют нелинейный вид с резким экспоненциальным возрастанием вязкости при концентрации целлюлозы и наноцеллюлозы >1.5%. Данное значение отделяет область разбавленных растворов, для которых характерно изменение вязкости в диапазоне от 3 до 71 мПас. Выше указанного концентрационного предела макромолекулы перестают быть “изолированными”, все более интенсивно вступают в межмолекулярные контакты, тем самым образуя ассоциаты разной степени устойчивости.
Подобное поведение растворов с ростом концентрации может быть обусловлено физическими взаимодействиями между макромолекулами, сольватацией молекул или изменением их формы [34]. Совокупность этих факторов указывает на то, что в области концентрированных растворов наблюдается активное формирование структуры между макромолекулами целлюлозы, в том числе с растворителем. Подобные флуктуационные ассоциаты, обычно, отличаются малой устойчивостью [35] и должны разрушаться под влиянием внешней энергии. Однако, как видно из результатов, с ростом температуры раствора продолжает сохраняться тенденция экспоненциального роста вязкости в концентрированных растворах. Это, по всей вероятности, должно указывать на формирование относительно устойчивых структур-ассоциатов водорослевой целлюлозы и наноцеллюлозы, стабилизированных водородными связями.
Разбавленные растворы ВЦ и ВНЦ обладают схожими показателями вязкости. Значительные различия начинают проявляться при концентрации выше 1.0%. Для концентрированных систем водорослевой целлюлозы наблюдается до 10 раз более высокие показатели вязкости, чем для растворов ВНЦ. Данный факт обусловлен, прежде всего, длиной макромолекулярной цепи полимера, или его степенью полимеризации. В результате кислотного гидролиза произошло удаление аморфных “связок” между кристаллитами, в результате чего длины макромолекул сократились практически в 3 раза (табл. 1). Короткие целлюлозные цепи ВНЦ в меньшей степени будут участвовать в формировании ассоциатов при равных с ВЦ концентрациях в растворе.
Растворы полимеров с более высокими молекулярными массами будут обладать более высокой вязкостью, так как даже для ламинарного потока разбавленных растворов, отдельные участки макромолекул будут находиться в слоях, движущихся с разными скоростями. В результате, молекулярные клубки испытывают действие момента сил, который заставляет их вращаться в потоке, что приводит к дополнительной затрате энергии и росту вязкости. Отдельные макромолекулы и их сегменты подвержены броуновскому движению, что в итоге придает высокомолекулярным соединениям вид сферических глобул, при столкновении которых (в особенности в концентрированных растворах) возникают молекулярные зацепления, образуются ассоциаты макромолекул, двигающиеся некоторое время как единое целое.
Таблица 3. Энергия активации течения Ea растворов водорослевой целлюлозы (ВЦ) и наноцеллюлозы (ВНЦ), кДж/моль
Концентрация | ВЦ | ВНЦ |
0.1 | 21.6±1.5 | 22.2±1.3 |
0.2 | 24.3±1.9 | 21.8±1.7 |
0.7 | 28.4±3.4 | 24.9±1.5 |
1.0 | 31.3±2.8 | 23.5±2.8 |
1.5 | 31.9±4.5 | 29.4±3.2 |
2.0 | 35.6±5.0 | 31.4±1.9 |
3.0 | 42.8±3.0 | 37.4±3.4 |
В растворах молекулы находятся в подвижном состоянии, совершая колебательные движения около некоторого равновесного положения. Если в результате флуктуации произойдет столкновение с другими молекулами, или же система получит энергию извне, то она перейдет в активное движение. Для этого необходимо, чтобы были разрушены связи с окружавшими ее молекулами или образовались связи с новыми. Для разрыва межмолекулярных связей требуется энергия Ea (энергия активации), выделяемая при образовании новых связей. Для определения энергетических параметров структурирования раствора целлюлозы в системе ДМАА/LiCl проведен расчет энергии активации течения (табл. 3) согласно уравнению:
,
где A′ – константа, Ea – энергия активации течения, R – универсальная газовая постоянная, T – температура.
Для вычисления Ea строили линеаризованные графики зависимости логарифма вязкости от обратной температуры (рис. 3).
Рис. 3. Логарифмическая зависимость динамической вязкости растворов водорослевой целлюлозы (ВЦ, слева) и наноцеллюлозы (ВНЦ, справа) от обратной температуры.
Значения энергии активации течения (21.6–42.8 и 22.2–37.4 кДж/моль для ВЦ и ВНЦ соответственно) свидетельствуют о том, что образование внутренней структуры в растворах как целлюлозы, так и наноцеллюлозы идет за счет формирования системы водородных связей, так как значения Ea не превышают 60 кДж/моль. Данные результаты подтверждают выдвинутое предположение об образовании прочных ассоциатов в концентрированных растворах водорослевой целлюлозы и наноцеллюлозы посредством формирования системы водородных связей.
Ротационная вискозиметрия. Результаты реологических исследований (скорость и напряжение сдвига) приведены на рис. 4, который представляет собой совокупность кривых течения растворов водорослевой целлюлозы в диапазоне концентраций от 0.1 до 2.0%. Раствор концентрации 3.0% по данным капиллярной вискозиметрии отличается избыточной вязкостью, что является ограничивающим условием для дальнейшего практического использования. Это определило сужение диапазона исследуемых концентраций растворов.
Рис. 4. Кривые течения растворов водорослевой целлюлозы.
Все графики характеризуются линейной зависимостью между параметрами напряжения и скорости сдвига, что указывает на ньютоновскую природу течения исследуемых растворов водорослевой целлюлозы в ДМАА/LiCl с концентрациями 0.1–2.0%, что согласуется с данными по микрокристаллической целлюлозе [36]. Отсутствие перегибов (линейность) на кривой течения может указывать на высокое сродство растворителя к полимеру, на его хорошую растворяющую способность. В таком случае макромолекулы целлюлозы находятся в хорошо диспергированном состоянии без присутствия первичных надмолекулярных структур [37]. В то же время необходимо отметить, что проведенные измерения параметров сдвига и вязкости не охватывают область воздействий малой интенсивности, которая является важной для более четкой классификации раствора как ньютоновской/неньютоновской жидкости. Внести ясность в категоризацию исследуемых растворов можно путем построения зависимостей вязкости от скорости сдвига (рис. 5).
Рис. 5. Графики зависимости кажущейся вязкости раствора водорослевой целлюлозы с концентрацией 2.0% от скорости сдвига при разных температурах.
Наиболее широкая выборка данных по зависимости скорость–напряжение сдвига получена для раствора с концентрацией 2.0% – предельная концентрация, оптимальная для последующего практического применения. Этот раствор был использован для оценки влияния температурного фактора на вязкость системы целлюлоза–ДМАА/LiCl. На полученных кривых наблюдаются две области: падения вязкости с ростом скорости до ~20 с–1 с последующим выходом на плато относительного постоянства показателя вязкости. Данная зависимость не является типичной для ньютоновских жидкостей. Исходя из общей классификации, раствор водорослевой целлюлозы с концентрацией 2.0% можно считать псевдопластичной жидкостью, для которой характерны три области на кривых вязкости и течения, соответствующие различному поведению системы [38]. В первой области (I) система ведет себя как ньютоновская – ее вязкость (наибольшая ньютоновская вязкость η0) остается постоянной при изменении скорости сдвига. Затем, по мере роста оказываемого воздействия, система переходит в ориентированное состояние (область II), для которого характерно резкое снижение вязкости до значения оптимума ориентирования, ниже которого падение уже невозможно при дальнейшем росте скорости сдвига (область III). Конечная вязкость такой системы называется наименьшей ньютоновской вязкостью η∞ [35].
В исследуемом случае наблюдается присутствие областей II и III (рис. 5), и отсутствие области I, что может указывать на быстрый переход к ориентированному состоянию раствора целлюлозы при внешнем воздействии, что наиболее характерно для неоднородных неньютоновских жидкостей, состоящих из крупных молекул со сложными пространственными структурами, вязкость которых будет зависеть от градиента скорости [39, 40]. Также необходимо отметить, что исследования не выполнялись при малых скоростях сдвига, что не дает возможности оценить значение наибольшей ньютоновской вязкости [35]. С ростом температуры (рис. 5) можно отметить уменьшение высоты перегиба (область II), что также должно быть связано с положительным влиянием температуры на установление режима ньютоновского течения, ориентирования молекул целлюлозы в растворе, обладающих наименьшей ньютоновской вязкостью: 0.200±0.006, 0.163±0.004 и 0.137±0.002 мПа с для температур 25, 30 и 35°C соответственно.
ЗАКЛЮЧЕНИЕ
- Анализ механизма и термодинамики сольватационно/ассоциационных процессов в системе “водорослевая целлюлоза (наноцеллюлоза) – ДМАА/LiCl” показал, что исследуемые природные полимеры образуют в растворах пространственную структуру засчет меж- и внутримолекулярных связей, а также взаимодействий с растворителем. Механизм сольватации включает образование катионного комплекса Li+(ДМАА)x, ассоциированного с анионами Cl–, посредством которого происходит связывание с функциональными группами целлюлозы.
- Энергия активации образования ассоциатов целлюлозы посредством формирования водородных связей находится в диапазоне 29.4–42.8 кДж/моль, что делает их растворы соответствующими требованиям для дальнейшего формирования материалов на основе регенерированной целлюлозы: гелей, пленок, волокон.
**
Исследование выполнено при финансовой поддержке Министерства науки и высшего образования, проект № FSRU-2023-004.
Об авторах
К. Г. Боголицын
Северный (Арктический) федеральный университет им. М. В. Ломоносова; Федеральный исследовательский центр комплексного изучения Арктики им. Н. П. Лаверова УрО РАН
Автор, ответственный за переписку.
Email: k.bogolitsin@narfu.ru
Россия, Архангельск; Архангельск
А. Э. Паршина
Северный (Арктический) федеральный университет им. М. В. Ломоносова
Email: k.bogolitsin@narfu.ru
Россия, Архангельск
Д. А. Поломарчук
Северный (Арктический) федеральный университет им. М. В. Ломоносова
Email: k.bogolitsin@narfu.ru
Россия, Архангельск
Список литературы
- Siddhanta A.K.., Prasad, K., Meena, R. et al. // Bioresour. Technol. 2009. V. 100. № 24. P. 6669. https://doi.org/10.1016/j.biortech.2009.07.047.
- Siddhanta A.K., Chhatbar M.U., Mehta G.K., et al. // J. Appl. Phycol. 2011. V. 23. № 5. P. 919. https://doi.org/10.1007/s10811-010-9599-2.
- Koyama M., Sugiyama J., Itoh T. // Cellulose. 1997. V. 4. № 2. P. 147. https://doi.org/10.1023/A:1018427604670.
- Chen Y.W., Lee H.V., Juan J.C., Phang S.-M. // Carbohydr. Polym. 2016. V. 151. P. 1210. https://doi.org/10.1016/j.carbpol.2016.06.083.
- Mihranyan A. // J. Appl. Polym. Sci. 2011. V. 119, № 4. P. 2499. https://doi.org/10.1002/app.32959.
- Halib N, Perrone F., M. Čemažar M., et al. // Materials (Basel). 2017. V. 10. № 8. P. 1. https://doi.org/10.3390/ma10080977.
- Zanchetta E., Damergi E., Patel B., et al. // Algal Res. 2021. V. 56. P. 102288. https://doi.org/10.1016/j.algal.2021.102288.
- The Physiology of Microalgae / Ed. Borowitzka M.A., Beardall J., Raven J.A. Cham: Springer International Publishing, 2016. P. 47.
- Li S, Bashline L., Lei L., et al. // Arab. B. 2014. V. 12. article e0169. https://doi.org/10.1199/tab.0169.
- McNamara J.T., Morgan J.L.W., Zimmer J. // Annu. Rev. Biochem. 2015. V. 84. P. 895. https://doi.org/10.1146/annurev-biochem-060614-033930.
- Gardner K.H., Blackwell J. // Biopolymers. 1974. V. 13, № 10. P. 1975. https://doi.org/10.1002/bip.1974.360131005.
- Tsekos I. // J. Phycol. 1999. V. 35. № 4. P. 635. https://doi.org/10.1046/j.1529-8817.1999.3540635.x.
- Roberts A.W., Roberts E.M., Delmer D.P. // Eukaryot. Cell. 2002. V. 1. № 6. P. 847. https://doi.org/10.1128/EC.1.6.847-855.2002.
- Chan W.S., Kwok A.C.M., Wong J.T.Y. // Front. Microbiol. 2019. V. 10. P. 1. https://doi.org/10.3389/fmicb.2019.00546.
- Roberts A.W., Roberts E. Cellulose: Molecular and Structural Biology. Springer, 2007. P. 17.
- Алешина Л.А. и др. Структура и физико-химические свойства целлюлоз и нанокомпозитов на их основе. Петрозаводск: Изд-во ПетрГУ, 2014. 240 с.
- Bogolitsyn K.G., Ovchinnikov D.V., Kaplitsin P.A. et al. // Chem. Nat. Compd. 2017. V. 53. № 3. P. 533. https://doi.org/10.1007/s10600-017-2039-7.
- Henniges U., Kostic M., Borgards A. et al. // Biomacromolecules. 2011. V. 12. № 4. P. 871. https://doi.org/10.1021/bm101555q.
- Азаров В.И., Буров А.В., Оболенская А.В. Химия древесины и синтетических полимеров. Санкт-Петербург: СПбЛТА, 1999. 628 с.
- Терентьева Э.П., Удовенко Н.К., Павлова Е.А. Химия древесины, целлюлозы и синтетических полимеров. Санкт-Петербург: СПбГТУРП, 2014. 53 с.
- Henniges U., Schiehser S., Rosenau T., Potthast A.// ACS Symp. Ser. 2010. V. 1033. P. 165. https://doi.org/10.1021/bk-2010-1033.ch009.
- Hasani M., Henniges U., Idström A. et al. // Carbohydr. Polym. 2013. V. 98, № 2. P. 1565. https://doi.org/10.1016/j.carbpol.2013.07.001.
- Aulin C., Ahola S., Josefsson P., et al. // Langmuir. 2009. V. 25. № 13. P. 7675. https://doi.org/10.1021/la900323n.
- Gindl W., Emsenhuber G., Maier G., Keckes J. // Biomacromolecules. 2009. V. 10. № 5. P. 1315. https://doi.org/10.1021/bm801508e.
- Hassan M.L., Moorefield C.N., Kishore Kotta, Newkome G.R.// Polymer. 2005. V. 46. № 21. P. 8947. https://doi.org/10.1016/j.polymer.2005.06.028.
- Ramos L.A., Morgado D.L., El Seoud O.A., et al. // Cellulose. 2011. V. 18. № 2. P. 385. https://doi.org/10.1007/s10570-011-9496-0.
- Rao C.P., Balaram P., Rao C.N.P. // J. Chem. Soc. Trans. 1980. V. 76. P. 1008.
- Waghorne W.E., Ward A.J. I., Clune T.G., Cox B.G. // J. Chem. Soc. Faraday Trans. 1 Phys. Chem. Condens. Phases. 1980. V. 76. P. 1131. https://doi.org/10.1039/f19807601131.
- Bello J., Haas D., Bello H.R. // Biochemistry. 1966. V. 5. № 8. P. 2539. https://doi.org/10.1021/bi00872a008.
- Balasubramanian D., Shaikh R. // Biopolymers. 1973. V. 12. № 7. P. 1639. https://doi.org/10.1002/bip.1973.360120715.
- Zhang C., Liu R., Xiang J. et al. // J. Phys. Chem. B. 2014. V. 118. № 31. P. 9507. https://doi.org/10.1021/jp506013c.
- McCormick C.L., Callais P.A., Hutchinson B.H. // Macromolecules. 1985. V. 18. № 12. P. 2394. https://doi.org/10.1021/ma00154a010.
- Morgenstern B., Kammer H.W., Berger B., et al. // Acta Polym. 1992. V. 43. № 6. P. 356. https://doi.org/10.1002/actp.1992.010430612.
- Yadav S., Shire S.J., Kalonia D.S. // J. Pharm. Sci. 2010. V. 99.№ 12. P. 4812. https://doi.org/10.1002/jps.
- Тагер А.А. Физико-химия полимеров. 4e изд. М.: Научный мир, 2007. 576 с.
- El Hamdaoui L., El Bouchti M., El Moussaouiti M. // Polym. Bull. 2018. V. 75. № 2. P. 769. https://doi.org/10.1007/s00289-017-2066-3.
- Тагер А.А. Физико-химия полимеров. М.: Химия, 1968. 536 с.
- Шрамм Г. Основы практической реологии и реометрии. Пер. с англ. М.: Колосс, 2003. 312 с.
- Уилкинсон У.Л. Неньютоновские жидкости. Гидромеханика, перемешивание и теплообмен. М.: Мир, 1964. 216 с.
- Астарита Д. Основы гидромеханики неньютоновских жидкостей. М.: Мир, 1978. 309 с.
Дополнительные файлы








