Влияние функциональных групп модифицирующих хелатов на адсорбцию ароматических углеводородов поверхностью кремнезема
- Authors: Пахнутова E.A.1,2, Слижов Ю.Г.1
-
Affiliations:
- Томский государственный университет
- Тюменский индустриальный университет
- Issue: Vol 98, No 11 (2024)
- Pages: 139-147
- Section: PHYSICAL CHEMISTRY OF DISPERSED SYSTEMS AND SURFACE PHENOMENA
- Submitted: 19.03.2025
- Accepted: 19.03.2025
- Published: 15.11.2024
- URL: https://journal-vniispk.ru/0044-4537/article/view/284139
- DOI: https://doi.org/10.31857/S0044453724110162
- EDN: https://elibrary.ru/EYJYRW
- ID: 284139
Cite item
Full Text
Abstract
Получены адсорбенты на основе кремнезема Силипора 200, нековалентно модифицированные комплексными соединениями никеля (II) с ацетилацетоном, бензоилацетоном, ацетоуксусным эфиром. Исследовано взаимодействие паров ароматических соединений с поверхностью кремнезема методом газовой хроматографии: рассчитаны константы Генри, определены термодинамические характеристики адсорбции исследуемого класса соединений на основе хроматографических данных, вклады модифицирующих добавок в удерживание адсорбатов. Изучено влияние функциональных групп лиганда в хелатном комплексе на дифференциальную молярную теплоту адсорбции и изменение энтропии адсорбции. Показана возможность применения сорбентов для газохроматографического разделения сложных смесей органических соединений.
Full Text
Изучение свойств поверхности адсорбентов на основе неорганических оксидов и их модифицированных форм, применяемых в различных областях существующих сегодня научных технологий, является актуальной задачей, решаемой с использованием традиционных и современных физико-химических методов [1–3]. Такие материалы отличаются относительно высокой химической инертностью, термостабильностью, а их текстурные характеристики варьируются в широких диапазонах методами направленного синтеза [4].
Хелаты металлов: ацетилацетонаты, бензоилацетонаты, этилацетоацетаты применяются для получения однородных оксидных пленок на различных материалах, металлсодержащих покрытий, в качестве катализаторов полимеризации, микроудобрений [1–8] и т. д. Модифицирование поверхности SiO2 комплексными соединениями хелатного типа для получения газохроматографических сорбентов приводит к изменению пористой структуры кремнеземов, влияет на природу межмолекулярных взаимодействий “адсорбат-адсорбент”, а также способствует получению оптимальных для эффективного и селективного разделения значений термодинамических характеристик адсорбции [9].
Сорбционные и аналитические характеристики адсорбентов, применяемых в газовой хроматографии, в первую очередь, зависят от природы функциональных групп модификаторов. Изменение природы лиганда в составе комплексного соединения позволяет регулировать кислотно-основную природу поверхности [10] и хроматографические свойства полученных материалов, при этом способность хелатов принимать дополнительные донорные молекулы во внешнюю координационную сферу иона переходного металла дают преимущества перед неспецифичными и полимерными адсорбентами, повышая эффективность и экспрессность газохроматографического разделения [11, 12].
Цель данной работы – исследование влияния функциональных групп ацетилацетона, бензоилацетона, ацетоуксусного эфира в составе хелатного комплекса на характеристики адсорбции ароматических углеводородов поверхностью нековалентно модифицированного Силипора 200.
ЭКСПЕРИМЕНТАЛЬНАЯ ЧАСТЬ
Для получения газохроматографических адсорбентов использовали предварительно гидроксилированный кипячением в воде в присутствии HCl в течение 2 ч и сушкой при 150°C Силипор 200 – аморфный кремнезем, полученный поликонденсацией кремниевых кислот (фракция 0.16–0.20 мм).
Для модифицирования поверхности Силипора 200 использовали ацетилацетонат, бензоилацетонат и этиацетоацетат никеля.
Ацетилацетонат и этилацетоацетат получали взаимодействием растворенного в 20 мл H2O нитрата никеля (0.01 моль) при 45°С с ацетилацетоном (0.05 моль) и ацетоуксусным эфиром (0.05 моль) и 2 мл NH4OH (рН = 6–7). Осажденные комплексы фильтровали, промывали дистиллированной водой и перекристаллизовывали из этанола.
Бензоилацетонат никеля синтезировали путем смешения этанольных растворов (10 мл) 1 г нитрата никеля и 1.5 г бензоилацетона, предварительно полученного конденсацией ацетофенона с этилацетатом в присутствии металлического Na, согласно методике [3]. Далее в полученный раствор по каплям добавляли NH4OH до значения pH 7. Выпавший хелат промывали гексаном, растворяли в ацетоне для удаления избытка реагентов и фильтровали. В фильтрат добавляли дистиллированную воду, отделяя органический слой. Выпавшие кристаллы бензоилоцетоната никеля сушили в эксикаторе в течение нескольких часов. Схема получения хелатов представлена на рис. 1.
Рис. 1. Схема получения хелатов никеля.
Полученные хелатные комплексы наносили на поверхность Силипора 200 в количестве 5% от массы кремнезема постепенным испарением летучего растворителя (CHCl3) при комнатной температуре.
Для расчета удельных площадей поверхности полученных материалов использовали метод многоточечного измерения БЭТ по низкотемпературной адсорбции N2 (“Tristar 2030” (Micromeritics, USA) [13]. Образцы исходного и модифицированного Силипора 200 подвергали предварительной дегазации в вакууме при 423 К в течение 2 ч (погрешность метода ±10%). Методом BJH вычисляли размеры пор по данным десорбционной ветви изотермы адсорбции (p/p° → 0.99, где р° – давление насыщенных паров адсорбата, p/p° – относительное давление пара).
Содержание С, N и H в образцах хелатных комплексов ацетилацетона, бензоилацетона и ацетоуксусного эфиров определяли из площадей хроматографических пиков CO2, N2 и H2O, образующихся в результате высокотемпературного сжигания хелата (CHNS-элементный анализатор EURO EA 3000 (EuroVector), микровесы MSE3.6P-000-DM (Sartorius).
Методы КР- и ИК-спектроскопии (КР-спектрометр “Nicolet NXR9650”, ИК-фурье-спектрометре “Cary 600” (Agilent Technologies, приставка НПВО, материал призмы ZnSe, диапазон съемки 4000–200 см⁻¹), использовали для подтверждения структуры полученных комплексов и исследования способа их закрепления на поверхности Силипора 200.
Синхронный термический анализ применяли для оценки термостабильности хелатсодержащих сорбентов (STA 449 F1 “Jupiter (Netzsch Geratebau GmbH, Германия), сопряженный с квадрупольным масс-спектрометром QMS403 D Aeolos (Netzsch Geratebau GmbH, Германия). Для этого образец массой 5 мг подвергали нагреванию от 25 до 600°C со скоростью 10°C/мин в тиглях из Al2O₃ в воздушной и инертной (Ar) средах.
Газохроматографические исследования адсорбционных свойств поверхности исходного и модифицированного Силипора 200 по отношению к ароматическим углеводородам проводили на газовом хроматографе “Chrom 5” с пламенно-ионизационным детектором с использованием стеклянных насадочных колонок длиной 1.2 м и внутренним диаметром 3 мм. Хроматографирование сорбентов осуществляли в изотермическом режиме, в режиме программирования при температурах от 140 до 200°C с объемной скоростью газа-носителя (гелий) 30 мл/мин, используя ввод проб адсорбатов (0.05 мкл) в виде паровоздушных смесей, мертвое время удерживания определяли по метану.
Термодинамические характеристики адсорбции ароматических углеводородов q̅dif,1 и пределяли, рассчитывая удельные удерживаемые объемы адсорбатов, отнесенных к единице поверхности сорбента (константы Генри адсорбции):
где К1,С – константа адсорбции, q̅dif,1 = –ΔU̅– изменение внутренней энергии при адсорбции, – изменение стандартной дифференциальной молярной энтропии, где – стандартная (Г=1 мкмоль/м²) дифференциальная энтропия адсорбированного вещества, – стандартная энтропия адсорбата в газовой фазе при концентрации С=1 мкмоль/см3.
Вклад модифицирующей добавки в удерживание адсорбатов (δ,%) рассчитывали:
,
где и – удельные объемы удерживания ароматических углеводородов на модифицированном и исходном кремнеземе соответственно [14].
Для всех органических соединений погрешность определения –удельных удерживаемых объемов, q̅dif,1 и на исследованных Силипорах не превышает 10%.
ОБСУЖДЕНИЕ РЕЗУЛЬТАТОВ
Для оценки адсорбционной способности хелатсодержащих сорбентов определены площади удельной поверхности, а также объем и размеры пор (табл. 1).
Таблица 1. Текстурные характеристики исследуемых адсорбентов
Адсорбент | Sуд, м²/г | V, см3/г | d, нм | СБЭТ | Кг |
Силипор 200 | 184 | 0.91 | 17 | 130 | 28 |
Силипор 200 + ацетилацетонат никеля | 173 | 0.71 | 16 | 123 | 24 |
Силипор 200 + этилацетоацетат никеля | 169 | 0.70 | 15 | 121 | 22 |
Силипор 200 + бензоилацетонат никеля | 171 | 0.71 | 16 | 123 | 23 |
Примечание. Относительная погрешность Sуд – Δ ±10%, V – суммарный объем пор, d – средний размер пор.
При нанесении модифицирующих хелатных комплексов на поверхность исследуемого Силипора 200 наблюдается сокращение удельной площади поверхности, снижение величин константы БЭТ (СБЭТ) и константы Генри (Kг), которые характеризует силу взаимодействий поверхности сорбента с молекулами адсорбатов. При этом параметры объемов и средних размеров пор изменяются незначительно.
Рис. 2. Изотерма адсорбции–десорбции N₂ и дифференциальные кривые распределения пор по размерам для Силипора 200.
Изотермы десорбции N2 исследуемого кремнезема Силипора 200 (рис. 2), характеризующиеся одной петлей гистерезиса, ветви которой вертикальны и параллельны друг другу в области p/p0= 0.75–0.95 (тип Н1), описывают пористые сорбенты с однородной структурой, состоящие из четко определенных цилиндрических каналов пор или агломератов одинаковых сфер [13].
По результатам элементного и термогравиметрического анализа полученных модификаторов поверхности установлено, что состав хелатов соответствует формуле NiL2 с двумя молекулами воды во внешней координационной сфере иона никеля (табл. 2).
Таблица 2. Результаты термического (Т – температура начала разложения), термогравиметрического и элементного анализов (найдено/вычислено мас. %)
Адсорбент | Термический | HCNS-анализ | Термогравиметрический | |
Т, °C | С | Н | Ni | |
Силипор 200 + ацетилацетонат никеля | 300 | 36.1/36.0 | 5.6/5.5 | 27.6/28.3 |
Силипор 200 + этилацетоацетат никеля | 210 | 47.4/47.6 | 6.6/6.8 | 27.1/27.8 |
Силипор 200 + бензоилацетонат никеля | 220 | 54.2/54.5 | 7.8/7.9 | 28.2/28.5 |
Методами ИК- и КР-спектроскопии изучено строение хелатных комплексов никеля.
В области 1700–1000 см⁻¹ (рис. 3) проявляются валентные симметричные и ассиметричные колебания основных функциональных групп ацетилацетона, бензоилацетона и ацетоуксусного эфира: ν(С–О), ν(С=О), ν(С–С), ν(С=С), валентные ν(С–С), ν(С–Н) колебания фенильной группы бензоилацетона и деформационные колебания δ(С–Н) хелатного кольца комплексов. Карбонильная группа сопряженной системы νа(С=С–С=О) характеризуется в ИК-спектре колебаниями, зарегистрированными при 1598–1551 см⁻¹. Полосы поглощения в области 1515–1510 см⁻¹ соответствуют валентным колебаниям ν(О–С=С–С) β-дикарбонильного лиганда в енольной форме, координированного ионом никеля.
Рис. 3. ИК-спектры хелатных комплексов никеля.
Валентные колебания бензольного кольца в спектре бензоилацетоната никеля принадлежат области 1550–1440 см⁻¹. В результате бидентатной координации молекул β-дикарбонильных модификаторов атомами кислорода карбонильных групп к иону никеля происходит смещение полосы поглощения ν(С=О) в низкочастотную область. Полосы в 1399–1357 см⁻¹ соответствуют ν(СН3–С=О), ν(С=О), ν(С=C), δs(СH3) колебаниям. Деформационные колебания δ(С–Н) + ν(С–C) связей проявляются в диапазоне 1181–1178 см⁻¹. Полосы поглощений связей С–СН3, С–Н, деформационные колебания хелатных и фенильных колец относятся к области в ИК-спектре ниже 1000 см⁻¹: поглощение при 1109–1103 см⁻¹ определяется колебаниями δ(СН3), 963–957 см⁻¹ – плоскостными деформационными колебаниями С–Н-связи в ароматическом кольце, 772–759 см⁻¹ – внеплоскостными деформационными колебаниями С–Н.
Рис. 4. КР-спектры исследуемых соединений.
На рис. 4 представлены КР-спектры модификаторов поверхности исследуемого Силипора 200. В спектре ацетилацетона, бензоилацетона и ацетоуксусного эфира при 1288–1284 см⁻¹ проявляются валентные колебания связей ν(С–С=С), колебания метильной группы –CH₂– (кетонная форма молекул) и деформационные колебания группы –ОН (енольная форма) [15].
В комплексах никеля в этой области проявляются колебания хелатного кольца. Образование связи ν(Ме–О) соответствует появлению полосы в КР-спектрах при 408–410 см⁻¹ [16].
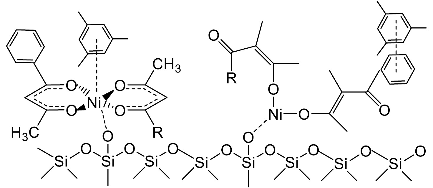
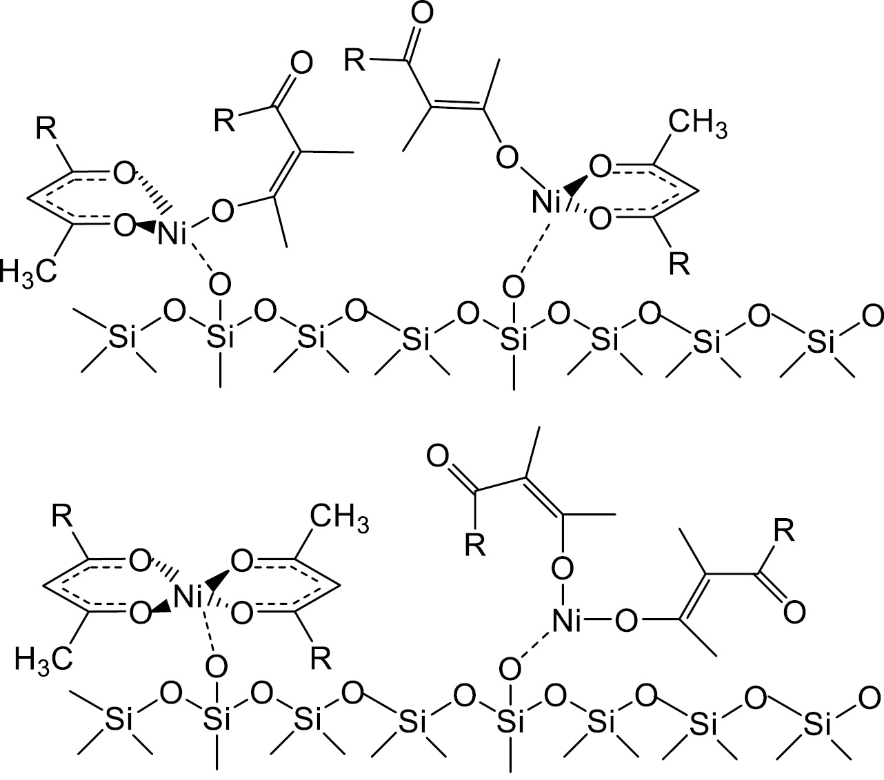
В результате модифицирования Силипора 200 комплексами ацетилацетона, бензоилацетона, ацетоуксусного эфира хелаты могут адсорбироваться на гидроксильных группах его поверхности за счет межмолекулярных взаимодействий, локализованы на стенках пор кремнезема или за счет образования связей Si–O- -Ni (рис. 5).
Рис. 5. Возможные центры адсорбции комплексов никеля на поверхности Силипора 200.
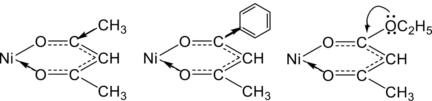
Исследование адсорбционных свойств поверхности кремнезема, расчет термодинамических характеристик проводили с применением ароматических углеводородов в качестве адсорбатов. На характеристики адсорбции влияет строение лиганда и распределение электронной плотности в молекуле модификатора (рис. 6), связанные с проявлением электронных эффектов, в частности, положительного индуктивного эффекта для метильной группы в ацетилацетонате, положительного мезомерного эффекта этокси-группы в этилацетоацетатном комплексе, а также электроотрицательным влиянием фенильного заместителя в бензоилацетонате никеля (II). Наличие 6π-электронной системы в бензоилацетонате обуславливает также дополнительную возможность специфических межмолекулярных взаимодействий с некоторыми сорбатами.
Рис. 6. Схема распределения электронной плотности в молекулах.
Таблица 3. Константы Генри адсорбции (К1,С) ароматических углеводородов на исходном Силипоре 200 (I) и модифицированном ацетилацетонатом никеля (II), бензоилацетонатом никеля (III), этилацетоацетатом никеля (IV) при 150°С
Соединение | К1,С (см³/м²) | |||
I | II | III | IV | |
Бензол | 0.18 | 0.13 | 0.16 | 0.14 |
Толуол | 0.28 | 0.21 | 0.26 | 0.23 |
Этилбензол | 0.34 | 0.25 | 0.32 | 0.28 |
п-Ксилол | 0.39 | 0.27 | 0.33 | 0.32 |
м-Ксилол | 0.43 | 0.35 | 0.42 | 0.38 |
о-Ксилол | 0.54 | 0.44 | 0.49 | 0.47 |
Мезитилен | 0.79 | 0.61 | 0.74 | 0.68 |
Псевдокумол | 0.88 | 0.64 | 0.78 | 0.75 |
п-Цимол | 1.11 | 0.93 | 1.10 | 0.98 |
Дурол | 1.22 | 1.05 | 1.18 | 1.12 |
Нафталин | 1.54 | 1.36 | 1.49 | 1.41 |
Дифенил | 1.77 | 1.47 | 1.68 | 1.54 |
Аценафтен | 3.15 | 2.99 | 3.58 | 3.20 |
Флуорен | 4.87 | 3.25 | 3.83 | 3.51 |
В табл. 3 представлены значения констант Генри адсорбции исследуемых соединений. Адсорбция ароматических углеводородов различного строения обусловлена дисперсионными взаимодействиями с поверхностью Силипора 200, а также донорно-акцепторными взаимодействиями π-электронов бензольного кольца и метиленового звена бензоилацетоната никеля (II) с гидроксильным покровом кремнезема.
В результате экранирования комплексами никеля ОН-групп поверхности, снижения концентрации остаточных силанолов, происходит уменьшение параметров удерживания адсорбатов. При этом наблюдается закономерное увеличение констант адсорбции К1,С (см3/м²) в ряду ацетилацетонат никеля < этилацетоацетат никеля < бензоилацетонат никеля. Ароматический заместитель в бензоилацетонате никеля способствует большему удерживанию производных бензола по сравнению с другими сорбентами, при этом с увеличением их молекулярной массы значения адсорбционных характеристик возрастают.
Рис. 7. Зависимости логарифма константы Генри адсорбции бензола (а) и нафталина (б) от обратной температуры на исходном Силипоре 200 (1) и модифицированном ацетилацетонатом никеля (2), бензоилацетонатом никеля (3), этилацетоацетатом никеля (4).
Таблица 4. Термодинамические характеристики адсорбции на исходном Силипоре 200 (I) и модифицированном ацетилацетонатом никеля (II), бензоилацетонатом никеля (III), этилацетоацетатом никеля (IV) при 150°С
Соединение | , кДж/моль | Дж/(моль К) | ||||||
I | II | III | IV | I | II | III | IV | |
Бензол | 24.3 | 20.1 | 23.7 | 22.6 | 66.1 | 64.3 | 65.9 | 64.8 |
Толуол | 25.4 | 22.3 | 24.7 | 23.2 | 76.5 | 73.9 | 75.7 | 74.2 |
Этилбензол | 26.6 | 22.7 | 25.9 | 24.4 | 79.7 | 74.3 | 79.2 | 76.1 |
п-Ксилол | 27.9 | 22.4 | 24.8 | 23.7 | 83.6 | 81.5 | 82.4 | 81.9 |
м-Ксилол | 26.8 | 23.7 | 25.9 | 25.5 | 88.1 | 86.4 | 87.8 | 87.0 |
о-Ксилол | 32.4 | 29.8 | 31.6 | 30.2 | 90.4 | 87.7 | 88.1 | 87.9 |
Мезитилен | 38.9 | 36.9 | 37.8 | 37.7 | 92.2 | 88.1 | 90.6 | 89.6 |
Псевдокумол | 39.8 | 38.0 | 39.1 | 38.9 | 100.8 | 96.3 | 99.4 | 97.7 |
п-Цимол | 43.4 | 40.5 | 42.6 | 41.3 | 111.2 | 108.8 | 110.2 | 109.3 |
Дурол | 47.9 | 45.8 | 46.7 | 46.0 | 116.4 | 113.2 | 115.8 | 114.6 |
Нафталин | 50.7 | 48.7 | 50.1 | 49.3 | 124.8 | 120.3 | 122.6 | 121.7 |
Дифенил | 52.4 | 49.3 | 51.9 | 50.6 | 128.1 | 125.1 | 127.3 | 126.6 |
Аценафтен | 90.6 | 87.1 | 88.4 | 87.9 | 178.3 | 172.4 | 175.2 | 173.2 |
Флуорен | 98.4 | 94.3 | 96.5 | 95.1 | 191.7 | 187.1 | 189.4 | 188.2 |
Представленные на рис. 7 зависимости констант адсорбции Генри бензола и нафталина для хелатсодержащих адсорбентов имеют линейный характер в исследованном интервале температур, что подтверждает отсутствие объемных фаз на поверхности и в порах Силипора 200, равномерное распределение модифицирующих комплексов. При изменении функциональных групп в составе модифицирующей добавки наблюдается увеличение силы дисперсионных и π–π-взаимодействий в ряду ацетилацетон < ацетоуксусный эфир < бензоилацетон. Максимальные значения констант адсорбции Генри характерны для аценафтена и флуорена. Порядок выхода изомерных ксилолов совпадает на всех исследуемых колонках и зависит от значений дипольных моментов адсорбатов: п-ксилол (µ = 0 D), м-ксилол (µ = 0.4 D), о-ксилол (µ = 0.55 D).
Согласно данным табл. 4 в результате модифицирования кремнезема происходит снижение адсорбционного потенциала в результате замены кислотно-основных центров Силипора молекулами хелата [21] и роста расстояния между поверхностью SiO2 и адсорбированной молекулой на величину, равную толщине монослоя комплекса. Для всех адсорбатов наблюдается уменьшение теплот адсорбции q̅dif,1 (разность составляет 3–5 кДж/моль по отношению к Силипору 200), что свидетельствует о наличии на хелатсодержащей поверхности промежутков между молекулами модификатора, по размерам приблизительно соответствующим молекулам ароматических соединений. Значения q̅dif,1 для хелатсодержащих материалов изменяются в ряду ацетилацетонат никеля < этилацетоацетат никеля < бензоилацетонат никеля.
Анализ ТХА показывает, что значения заметно различаются в ароматическом ряду для каждого хелатсодержащего Силипора. Например, для сорбента (III) значение бензола составляет 64.3 Дж/(моль·К), этилбензола – 79.7 Дж/(моль·К), мезитилена – 90.6 Дж/(моль·К), нафталина 122.6 Дж/(моль·К), что обеспечивает достаточно высокую селективность разделения этого класса соединений. Сорбент со слоем бензоилацетоната никеля показывает повышенные значения по сравнению с Силипором, модифицированным ацетилацетонатным и этилацетоацетатным комплексами никеля.
Таблица 5. Вклады δ% модификаторов кремнезема в удерживание ароматических углеводородов по сравнению с Силипором 200
Адсорбат | δ% | ||
Ацетилацетонат | Бензоилацетонат | Ацетоуксусный эфир | |
Бензол | 17 | 20 | 18 |
Толуол | 15 | 18 | 17 |
Этилбензол | 18 | 18 | 16 |
п-Ксилол | 16 | 17 | 15 |
м-Ксилол | 17 | 16 | 17 |
о-Ксилол | 16 | 15 | 15 |
Мезитилен | 21 | 27 | 23 |
Псевдокумол | 28 | 26 | 28 |
п-Цимол | 21 | 24 | 19 |
Дурол | 16 | 19 | 17 |
Нафталин | 19 | 22 | 21 |
Дифенил | 21 | 27 | 28 |
Аценафтен | 17 | 21 | 19 |
Флуорен | 32 | 38 | 38 |
В табл. 5 представлены значения вкладов δ% модифицирующих добавок в удерживание исследуемых адсорбатов. Положительные δ характеризуют π-взаимодействия ароматических соединений с хелатсодержащей поверхностью. Следует отметить, что строение и состав модификатора оказывает влияние на величину δ: для Силипора 200 с бензоилацетонатом никеля наблюдаются максимальные положительные значения вкладов в удерживание ароматических углеводородов за счет влияния фенильного кольца бензоилацетона. Также различия значений δ% обусловлены влиянием энтропийной и энергетической составляющей в величину удельных удерживаемых объемов адсорбатов и зависят от их молекулярной массы, геометрического строения и поляризуемости [16–18].
Рис. 8. Возможные варианты взаимодействия ароматических адсорбатов с поверхностью хелатсодержащих сорбентов.
На рис. 8 приведены предполагаемые варианты взаимодействия ароматических углеводородов с поверхностью модифицированного Силипора 200.
Согласно полученным хроматографическим данным особое влияние на термодинамику адсорбции исследуемых веществ оказывает фенильный заместитель в структуре хелата. На сорбенте с бензоилацетонатом никеля наблюдаются максимальные параметры удерживания тестовых соединений [19–21]. Донорный ароматический заместитель в составе бензоилацетоната никеля способствует селективному разделению сложных смесей ароматических углеводородов (рис. 9).
Рис. 9. Хроматограмма смеси алкилзамещенных и полиароматичских углеводородов на насадочной колонке, заполненной Силипором 200, модифицированным бензоилацетонатом никеля, в режиме программирования температуры от 150 до 250°C (скорость нагрева 10°C/мин): 1 – бензол, 2 – толуол, 3 – этилбензол, 4 – п-ксилол, 5 – м-ксилол, 6 – о-ксилол, 7 – мезитилен, 8 – псевдокумол, 9 – п-цимол, 10 – дурол, 11 – нафталин, 12 –дифенил, 13 – аценафтен, 14 – флуорен.
Таким образом, для полученных нековалентно модифицированных сорбентов на основе Силипора 200 определены площади удельной поверхности, размеры и объемы пор, термическая стабильность. Установлено, что на адсорбционные свойства хелатсодержащей поверхности оказывают влияние функциональные группы комплексов. При варьировании заместителей хелатного кольца в ряду –CH3 – -OC2H5 – -C6H5 наблюдается рост констант Генри, теплоты и энтропии адсорбции изученных ароматических соединений. Силипор 200 со слоем бензоилацетоната может успешно применяться для разделения сложных смесей ароматических соединений.
***
Работа выполнена в рамках государственного задания Минобрнауки России (проект № 0721-2020-0037).
About the authors
E. A. Пахнутова
Томский государственный университет; Тюменский индустриальный университет
Author for correspondence.
Email: pakhnutovae@mail.ru
Russian Federation, Томск; Тобольск
Ю. Г. Слижов
Томский государственный университет
Email: pakhnutovae@mail.ru
Russian Federation, Томск
References
- Лисичкин Г.В. Химия привитых поверхностных соединений. М.: Физматлит, 2003. 592 с.
- Rogachev A.Y., Mironov A.V., Troyanov S.I.et al // J. of Molecular Structure. 2006. V. 789. P. 187.
- Фаустова Ж.В., Слижов Ю.Г., Матвеева Т.Н. // Журн. прикл. химии. 2020. Т. 93. № 8. С. 1170.
- Tayyari S.F., Emampour J.S., Vakili M., et al. // J. of Molecular Structure. 2006. Т. 794. С. 204.
- Онучак Л.А., Бурматнова Т.С., Спиряева Е.А. и др. // Журн. физ. химии. 2012. Т. 86. № 8. С. 1424. (Onuchak L.A., Burmatnova T.S., Spiryaeva E.A. et al. // Russ. J. Phys. Chem. A. 2012. V. 86. № 8. P. 1308).
- Rodinkov O.V., Vagner E.A., Bugaichenko A.S., Moskvin L.N. // J. of Analytical Chemistry. 2019. V. 9. P. 877.
- Askurava A.S., Sinyaeva L.A., Belanova N.A., et al. // Rus. J. of Phys. Chem. A. 2017. V.91. № 6. P. 1121.
- Ларионов О. Г, Петренко В.В., Платонова Н.П., и др.// Журн. физ. химии. 1991. Т. 65. С. 1671.
- Рощина Т.М., Шония Н.К.// Там же. 2019. Т. 93. № 10. С. 1529. (Roshchina T.M., Shoniya N.K. //Russ. J. Phys. Chem. A. 2019. Т. 93. № 10. С. 193).
- Яшкин С.Н., Яшкина Е.А., Светлов Д.А., Мурашов Б.А. // Журн. физ. химии. Т. 93. № 12. С. 1851.
- Авгуль Н.Н., Киселев А.В., Пошкус Д.П. Адсорбция газов и паров на однородных поверхностях. М.: Химия, 1975. 384 с.
- Пахнутова Е.А., Слижов Ю.Г. // Сорбционные и хроматографические процессы. 2016. Т. 16. № 4. С. 280–289.
- Минакова Т.С. Адсорбционные процессы на поверхности твердых тел. Учебное пособие. Томск: Изд-во Том. ун-та, 2007. 284 с.
- Рощина Т.М., Жирякова М.В., Тифлова Л.А., Ермилов А.Ю. Практикум по физической химии. Методическое пособие для студентов МГУ. Москва, 2010. 91 с.
- Харланов А.Н., Шилина М.И. Инфракрасная спектроскопия для исследования адсорбционных, кислотных и основных свойств поверхности гетерогенных катализаторов. Учебное пособие. М.: Моск. Гос. Ун-т им. М.В. Ломоносова, 2011. 110 с.
- Belova N.V., Sliznev V.V., Sliznev D. // J. of Molecular Structure. 2017. V. 1132. P. 34.
- Кириллова Е.А., Козьминых В.О., Козьминых Е.Н. // Башкирский хим. журн. 2010. Т. 17. № 3. С. 72–75.
- Permana Y., Shimazu Sh., Ichikuni N., Uematsu T. // Catalysis Communications. 2005. V. 6. P. 426.
- Gus′kov V. Yu., Sukhareva D.A., Salikhova G.R. et al. // Russ. J. Phys. Chem. A. 2017. V. 91. № 7. P. 1319.
- Сухарева Д.А., Гуськов В.Ю., Кудашева Ф.Х., и др.// Сорбц. и хром. процессы. 2016. Т. 16, № 2.С. 183.
- Пахнутова Е.А., Слижов Ю.Г. // Неорган. материалы. 2015. Т. 51. № 6. С. 634. (Pakhnutova E.A., Slizhov Y.G. // Inorg. Materials. 2015. Т. 51. № 6. С. 572–577).
Supplementary files











