Термодинамика сорбции производных хинолина, 1,2,3,4-тетрагидрохинолина и пиридазино[4,5-с]хинолина в условиях ОФ ВЭЖХ
- Авторы: Капитонов А.В.1, Рыжкин С.А.1, Курбатова С.В.1, Земцова М.Н.2
-
Учреждения:
- Самарский национальный исследовательский университет им. академика С. П. Королева
- Самарский государственный технический университет
- Выпуск: Том 98, № 12 (2024)
- Страницы: 139-148
- Раздел: ФИЗИЧЕСКАЯ ХИМИЯ ПРОЦЕССОВ РАЗДЕЛЕНИЯ. ХРОМАТОГРАФИЯ
- Статья получена: 30.03.2025
- Статья одобрена: 30.03.2025
- Статья опубликована: 15.12.2024
- URL: https://journal-vniispk.ru/0044-4537/article/view/285656
- DOI: https://doi.org/10.31857/S0044453724120206
- EDN: https://elibrary.ru/ENDPEW
- ID: 285656
Цитировать
Аннотация
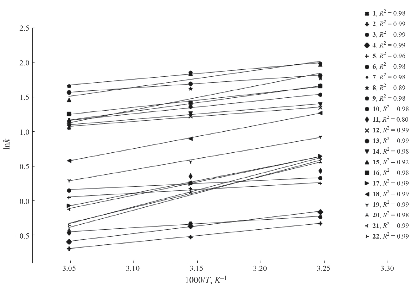
Проанализированы температурные зависимости характеристик удерживания некоторых производных хинолина, 1,2,3,4-тетрагидрохинолина и пиридазино[4,5-с]хинолина в условиях обращенно-фазовой высокоэффективной жидкостной хроматографии на октадецилсиликагеле. Рассчитаны значения термодинамических характеристик сорбции этих соединений. Проанализировано изменение значений энтальпии сорбции в зависимости от содержания ацетонитрила в водноацетонитрильном элюенте.
Ключевые слова
Полный текст
Об авторах
А. В. Капитонов
Самарский национальный исследовательский университет им. академика С. П. Королева
Email: curbatsv@gmail.com
Россия, Самара, 443086
С. А. Рыжкин
Самарский национальный исследовательский университет им. академика С. П. Королева
Email: curbatsv@gmail.com
Россия, Самара, 443086
С. В. Курбатова
Самарский национальный исследовательский университет им. академика С. П. Королева
Автор, ответственный за переписку.
Email: curbatsv@gmail.com
Россия, Самара, 443086
М. Н. Земцова
Самарский государственный технический университет
Email: curbatsv@gmail.com
Россия, Самара, 443100
Список литературы
- Снайдер Л.Р, Киркленд Д.Д., Долан Д.У. Введение в современную жидкостную хроматографию. М.: Техносфера, 2020. 960 с
- Киселев А.В. Межмолекулярные взаимодействия в адсорбции и хроматографии. М.: Высш. школа, 1986. 360 с.
- Knox J., Kaliszan R. // J. Chromatogr. 1985. V. 349. P. 211. DOI: https://doi.org/10.1016/S0021-9673(01)83779-1
- Jiang P., Lucy Ch. A. // J. Chromatogr. A. 2016. V.1437. P. 176. DOI: https://doi.org/10.1016/j.chroma.2016.02.014
- Сайфутдинов Б.Р., Пимерзин А.А. // Журн. физ. химии. 2013. Т. 87. № 4. С. 545. DOI: http://dx.doi.org/10.7868/S0044453713120248. [Saifutdinov B.R., Pimerzin A.A. // Rus. J. of Phys. Chem. A. 2013. V. 87. № 4. P. 529].
- Шатц В.Д., Сахартова О.В. Высокоэффективная жидкостная хроматография. Рига: Зинатне, 1988. 390 с.
- Ядрова А.А., Шафигулин Р.В., Буланова А.В., и др. // Журн. физ. химии. 2018. Т. 92. № 8. С. 1296–1307. doi: 10.7868/S0044453718080150. [Yadrova A.A., Shafigulin R.V., Bulanova A.V., et al. // Rus. J. of Phys.Chemistry A. 2018. V. 92. № 8. P. 1572].
- Терней А. Современная органическая химия. Москва: Мир, 1981. Т. 1. 678 с.
- Андреев В.П. //Химия гетероцикл. соединений. 2010. № 2. С. 227. DOI: https://doi.org/10.1007/2802
- Джилкрист Т. Химия гетероциклических соединений. Москва: Мир, 1996. 463 с.
- Bolliet D., Pool C.F. Analyst. 1998. V. 123. P. 295. DOI: https://doi.org/10.1039/a705617f.
- Jandera P., Krupczyn´ska K., Vynˇuchalová K., Buszewski B. //J. Chromatogr. A. 2010. V. 1217. P. 6052. DOI: https://doi.org/10.1016/j.chroma.2010.07.019
- Сайфутдинов Б.Р., Буряк А.К. // Журн. физ. химии. 2019. Т. 93. № 9. С. 1392. DOI: http://dx.doi.org/10.1134/S004445371909022X. [Sayfutdinov B.R., Buryak A.K.// Rus. J. of Phys. Chem. A. 2019. V. 93. № 9. P. 1796.].
- Привалова И.Ю., Соколова И.В. // Журн. структур. химии. 1984. Т. 25. № 6. С. 24.
- Некрасова Н.А., Курбатова С.В. // Там же. 2017. Т. 58. № 4. С. 798. doi: 10.15372/JSC20170418. [Nekrasova N.A., Kurbatova S.V. // Ibid. 2017. Т. 58. № 4. С. 767.]
- Рыжкин С.А., Капитонов А.В., Финкельштейн Е.Е. и др. // Сорбц. и хроматогр. процессы. 2023. Т. 23. № 5. С. 887. https://doi.org/10.17308/sorp-chrom.2023.23/11723
- Ланин С.Н., Рычкова С.А., Виноградов А.Е., и др.// Изв. АН. Сер. хим. 2016. № 1. С. 110. doi: 10.1007/s11172-016-1272-8. [Lanin S.N., Rychkova S.A., Vinogradov A.E., Lanina K.S., Shatalov I.A. //Rus. Chem. Bulletin. 2016. V. 65. № 1. P. 110].
- Сайфутдинов Б.Р. // Физикохимия поверхности и защита материалов. 2016. Т. 52. № 6. С. 586. DOI: https://doi.org/10.1134/S0036024410040266. [Saifutdinov B.R. // Protection of Metals and Physical Chemistry of Surfaces. 2016. V. 52. № 6. P. 586].
- Vailaya A., Horva´th C. // J. Chromatogr. A. 1998. V. 829. P. 1. DOI: https://doi.org/10.1016/s0021-9673(98)00727-4
- Scholten A.B., Claessens H.A., de Haan J.W., Cramers C.A. //J. Chromatogr. A. 1997. V.759. P. 37. DOI: https://doi.org/10.1016/S0021-9673(96)00765-0
- Kim H.S., Lee D.W. // J. Chromatogr. A. 1996. V. 722. P. 69. DOI: https://doi.org/10.1016/0021-9673(95)00687-7
- Сайфутдинов Б.Р. // Изв. АН. Сер. хим. 2014. № 12. С. 2609. [Saifutdinov B.R. //Rus. Chemical Bulletin. 2014. V. 63. № 12. P. 2609].
- Сайфутдинов Б.Р., Курбатова С.В., Емельянова Н.С. // Журн. физ. химии. 2010. Т. 84. № 4. С. 760. DOI: https://doi.org/10.1134/S0036024410040266. [Saifutdinov B.R., Kurbatova S.V., Emel’yanova N.S. // Rus. J. of Phys. Chem. A. 2010. V. 84. № 4. P. 760].
- Киреев В.А. Методы практических расчетов в термодинамике химических реакций. М.: Химия, 1970. 520 с.
Дополнительные файлы





























