Saturated vapor pressures and enthalpies of vaporization of malic acid esters
- Authors: Yamshchikova Y.F.1, Portnova S.V.1, Krasnykh E.L.1
-
Affiliations:
- Samara State Technical University
- Issue: Vol 99, No 1 (2025)
- Pages: 23-31
- Section: CHEMICAL THERMODYNAMICS AND THERMOCHEMISTRY
- Submitted: 16.04.2025
- Accepted: 16.04.2025
- Published: 17.04.2025
- URL: https://journal-vniispk.ru/0044-4537/article/view/287850
- DOI: https://doi.org/10.31857/S0044453725010026
- EDN: https://elibrary.ru/EIXTNJ
- ID: 287850
Cite item
Full Text
Abstract
The saturated vapor pressures of malic acid diesters and linear С1-С5 alcohols are determined using the transpiration method in the temperature range of 303–369 K. The enthalpies of vaporization of esters at 298.2 K are determined on the basis of the obtained data. Correlations of the enthalpies of vaporization from Kovats indices and number of carbon atoms are obtained. The contributions of the hydroxyl group and intermolecular hydrogen bonds to are estimated. The author’s QSPR method for calculating the values of the enthalpies of vaporization of esters of hydroxy acids is modified.
Full Text
Яблочная кислота – это дикарбоновая гидроксикислота, которая имеет широкий спектр применения. Яблочная кислота в основном используется в пищевой промышленности в качестве регулятора кислотности и вкусовой добавки [1–3]. Полимеры на основе яблочной кислоты находят применение в медицине в качестве хирургических нитей и имплантатов [4–8]. В фармацевтической химии данная кислота используется в изготовлении наносистем для доставки лекарств [9, 10]. Также яблочная кислота и ее эфиры применяются в качестве эффективных “зеленых” растворителей [11, 12].
Яблочную кислоту можно получать нефтехимическим и ферментативным путем. Традиционно кислоту получают химическим методом путем гидратации малеинового ангидрида в условиях высокой температуры и давления. Так как в последние десятилетия все больше внимания уделяется переходу к “зеленой” химии, то предпочтительнее производство с помощью биотехнологий на основе возобновляемого субстрата [13, 14]. При этом, биотехнологический процесс должен быть экономически конкурентоспособным, что является наиболее важным фактором коммерциализации процесса. Министерство энергетики США оценивает яблочную кислоту как один из двенадцати перспективных прекурсоров, которые могут быть произведены в больших количествах из биомассы [15]. Данные об объеме рынка яблочной кислоты колеблются от 60 000 до 200 000 тонн в год [13, 16]. При постоянно растущем спросе прогнозируется, что в ближайшие годы производство увеличится еще на 150 000 тонн в год [13]. В рамках развития “зеленой” химии, такой метод составит конкуренцию нефтехимическому методу производства малеинового ангидрида, объем которого в 2023 году оценивается в 3.2 млн тонн [17].
В настоящее время на стоимость яблочной кислоты, получаемой по биотехнологическому методу, более 50% приходится на выделение продукта [18]. Применение реакционно-дистилляционных процессов с получением сложных эфиров яблочной кислоты позволит снизить стоимость продукции [19, 20]. Соответственно, для проектирования технологии блока дистилляции, требуются прецизионные данные по давлениям насыщенных паров и энтальпиям испарения эфиров.
Имеющиеся литературные данные по сложным эфирам яблочной кислоты представлены только работой [21], в которой представлены коэффициенты уравнения Антуана для метилового и этилового эфиров.
Данная работа продолжает наши исследования по определению термодинамических и физико-химических свойств сложных эфиров природных гидроксикислот [22–24].
ЭКСПЕРИМЕНТАЛЬНАЯ ЧАСТЬ
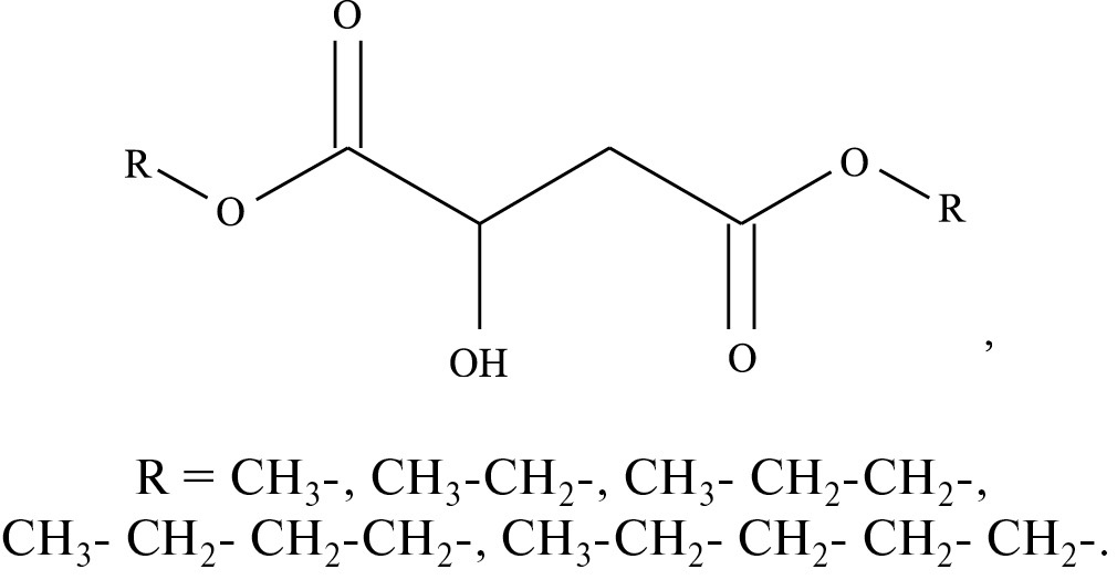
Образцы сложных эфиров были получены путем этерификации яблочной кислоты соответствующим спиртом. Методика синтеза описана в работе [24]. Были синтезированы эфиры следующей структуры (рис. 1).
Рис. 1. Структура сложных диэфиров яблочной кислоты.
Чистоту образцов определяли методом газожидкостной хроматографии с помощью хроматографа Кристалл-2000М оснащенным пламенно-ионизационным детектором, капиллярной колонкой размером 100 м×0.2 мм×0.5 мкм с привитой неподвижной жидкой фазой DB-1. Содержание воды в эфирах определяли ГЖХ с детектором по теплопроводности и насадочной колонкой с фазой Chromosorb HP 10% длиной 1 м. Ни в одном из образцов эфиров воды обнаружено не было. Чистота полученных эфиров представлена в табл. 1.
Таблица 1. Характеристики образцов полученных сложных эфиров яблочной кислоты
Эфир | CAS RN | Чистота эфиров (ГЖХ), мас. |
Диметилмалат | 1587-15-1 | 0.999 |
Диэтилмалат | 7554-12-3 | 0.999 |
Ди-н-пропилмалат | 1587-17-3 | 0.998 |
Ди-н-бутилмалат | 1587-18-4 | 0.998 |
Ди-н-пентилмалат | – | 0.997 |
Давления насыщенных паров исследуемых эфиров были определены методом переноса и на основе полученных давлений были рассчитаны значения энтальпий испарения эфиров. Методика эксперимента и расчетов представлена в работах [23, 25, 26].
ОБСУЖДЕНИЕ РЕЗУЛЬТАТОВ
Давления насыщенных паров и энтальпии испарения
Полученные значения давлений насыщенных паров, значения DvapHo (298.15 K) и значения изменения теплоемкости перехода “газ-жидкость” () представлены в табл. 2, а на рис. 2 и 3 представлены зависимости логарифмов давлений насыщенных паров (полученных в данной работе и литературных данных [21]) от обратной температуры для диметил- и диэтилмалатов.
Таблица 2. Результаты определения давлений насыщенных паров сложных эфиров яблочной кислоты
Т, K | m, мг | V(He), дм3 | Ta, K | Расход He, дм3 ч–1 | p, Па | u(p), Па | кДж/моль |
Диметилмалат: DvapHo (298.15 K) = (74.4±1.3) (кДж моль–1) | |||||||
303.5 | 1.64 | 10.714 | 301.2 | 10.71 | 2.36 | 0.08 | 73.66 |
305.5 | 1.80 | 9.424 | 298.2 | 9.42 | 2.92 | 0.10 | 73.39 |
307.7 | 2.66 | 10.209 | 298.2 | 9.42 | 3.99 | 0.12 | 73.09 |
309.5 | 2.52 | 8.434 | 300.7 | 7.23 | 4.61 | 0.14 | 72.85 |
311.6 | 1.80 | 5.497 | 298.2 | 9.42 | 5.00 | 0.15 | 72.56 |
313.6 | 1.90 | 4.712 | 298.2 | 9.42 | 6.17 | 0.18 | 72.29 |
315.4 | 2.42 | 4.819 | 300.7 | 7.23 | 7.73 | 0.22 | 72.05 |
317.5 | 1.77 | 3.141 | 298.2 | 9.42 | 8.59 | 0.24 | 71.76 |
319.5 | 2.25 | 3.273 | 297.7 | 3.27 | 10.47 | 0.29 | 71.49 |
321.3 | 2.08 | 2.626 | 300.2 | 3.50 | 12.16 | 0.33 | 71.25 |
323.5 | 2.96 | 2.922 | 298.2 | 5.84 | 15.50 | 0.41 | 70.95 |
325.5 | 2.45 | 2.182 | 297.2 | 3.27 | 17.12 | 0.45 | 70.68 |
327.2 | 2.71 | 2.043 | 300.2 | 3.50 | 20.45 | 0.54 | 70.45 |
329.5 | 2.94 | 1.948 | 299.2 | 5.84 | 23.16 | 0.60 | 70.14 |
331.4 | 2.32 | 1.364 | 298.2 | 3.27 | 25.98 | 0.67 | 69.88 |
333.1 | 2.33 | 1.167 | 299.7 | 3.50 | 30.64 | 0.79 | 69.65 |
335.4 | 2.61 | 1.071 | 299.2 | 5.84 | 37.36 | 0.96 | 69.34 |
337.4 | 2.20 | 0.818 | 298.2 | 3.27 | 41.02 | 1.05 | 69.07 |
339.4 | 2.10 | 0.655 | 298.2 | 3.27 | 49.00 | 1.25 | 68.79 |
341.4 | 2.17 | 0.584 | 299.7 | 3.50 | 57.17 | 1.45 | 68.52 |
343.3 | 2.41 | 0.545 | 298.2 | 3.27 | 67.69 | 1.72 | 68.27 |
Диэтилмалат: DvapHo (298.15 K) = (76.4±1.1) (кДж моль–1) | |||||||
313.4 | 3.11 | 10.714 | 296.2 | 8.57 | 3.77 | 0.12 | 74.27 |
315.4 | 3.25 | 9.286 | 295.7 | 8.57 | 4.54 | 0.14 | 73.98 |
317.3 | 2.18 | 5.385 | 296.7 | 4.62 | 5.27 | 0.16 | 73.72 |
319.3 | 3.07 | 6.371 | 296.2 | 6.95 | 6.25 | 0.18 | 73.43 |
321.3 | 3.21 | 5.429 | 295.7 | 8.57 | 7.65 | 0.22 | 73.15 |
323.2 | 2.93 | 4.231 | 296.2 | 4.62 | 8.98 | 0.25 | 72.88 |
325.2 | 3.35 | 4.054 | 296.2 | 6.95 | 10.70 | 0.29 | 72.60 |
327.2 | 3.39 | 3.286 | 295.7 | 8.57 | 13.34 | 0.36 | 72.32 |
329.1 | 3.02 | 2.692 | 296.2 | 4.62 | 14.54 | 0.39 | 72.05 |
331.1 | 3.21 | 2.500 | 296.2 | 3.75 | 16.61 | 0.44 | 71.77 |
333.5 | 3.58 | 2.206 | 294.7 | 5.29 | 20.91 | 0.55 | 71.43 |
335.0 | 2.96 | 1.692 | 296.2 | 4.62 | 22.62 | 0.59 | 71.22 |
337.1 | 2.98 | 1.563 | 296.2 | 3.75 | 24.67 | 0.64 | 70.92 |
339.4 | 3.15 | 1.324 | 295.2 | 5.29 | 30.74 | 0.79 | 70.60 |
340.9 | 4.26 | 1.538 | 296.2 | 4.62 | 35.84 | 0.92 | 70.38 |
343.0 | 3.03 | 1.000 | 295.7 | 3.75 | 39.17 | 1.00 | 70.09 |
345.4 | 3.42 | 0.882 | 295.2 | 5.29 | 49.99 | 1.27 | 69.75 |
346.8 | 6.53 | 1.538 | 296.2 | 4.62 | 54.92 | 1.40 | 69.55 |
348.9 | 3.17 | 0.625 | 295.2 | 3.75 | 65.39 | 1.66 | 69.25 |
351.3 | 5.07 | 0.882 | 295.7 | 5.29 | 74.24 | 1.88 | 68.92 |
353.3 | 21.72 | 3.333 | 295.2 | 8.33 | 84.08 | 2.13 | 68.63 |
Таблица 2. Продолжение
Т, K | m, мг | V(He), дм3 | Ta, K | Расход, дм3 ч–1 | p, Па | u(p), Па | кДж/моль |
Ди-н-пропилмалат: DvapHo (298.15 K) = (82.1±1.5) (кДж моль–1) | |||||||
313.4 | 0.77 | 10.345 | 298.2 | 10.34 | 0.84 | 0.05 | 79.77 |
315.6 | 1.22 | 12.069 | 297.7 | 10.34 | 1.14 | 0.05 | 79.44 |
317.5 | 1.77 | 14.655 | 298.2 | 10.34 | 1.37 | 0.06 | 79.16 |
319.5 | 1.32 | 8.780 | 294.2 | 8.78 | 1.68 | 0.07 | 78.86 |
321.3 | 1.79 | 10.588 | 296.7 | 10.59 | 1.91 | 0.07 | 78.58 |
323.3 | 1.89 | 9.643 | 296.2 | 6.43 | 2.21 | 0.08 | 78.28 |
325.5 | 1.66 | 6.585 | 295.2 | 8.78 | 2.83 | 0.10 | 77.95 |
327.2 | 1.80 | 6.176 | 296.7 | 10.59 | 3.29 | 0.11 | 77.70 |
329.2 | 1.57 | 4.286 | 296.2 | 6.43 | 4.13 | 0.13 | 77.39 |
331.4 | 1.91 | 4.390 | 295.2 | 8.78 | 4.90 | 0.15 | 77.06 |
333.4 | 1.82 | 3.763 | 296.2 | 6.45 | 5.45 | 0.16 | 76.76 |
335.4 | 1.97 | 3.220 | 296.2 | 8.78 | 6.90 | 0.20 | 76.46 |
337.4 | 1.84 | 2.634 | 296.2 | 8.78 | 7.87 | 0.22 | 76.16 |
339.4 | 1.81 | 2.151 | 296.2 | 6.45 | 9.48 | 0.26 | 75.86 |
341.3 | 1.77 | 1.902 | 296.2 | 8.78 | 10.47 | 0.29 | 75.57 |
343.3 | 4.70 | 4.348 | 296.7 | 6.52 | 12.21 | 0.33 | 75.27 |
344.8 | 1.78 | 1.493 | 296.2 | 4.48 | 13.46 | 0.36 | 75.04 |
347.3 | 1.63 | 1.183 | 296.2 | 6.45 | 15.50 | 0.41 | 74.67 |
349.2 | 3.74 | 2.174 | 296.2 | 6.52 | 19.39 | 0.51 | 74.38 |
350.8 | 1.63 | 0.896 | 296.2 | 4.48 | 20.57 | 0.54 | 74.14 |
353.2 | 2.44 | 1.087 | 296.2 | 6.52 | 25.36 | 0.66 | 73.78 |
Ди-н-бутилмалат: DvapHo (298.15 K) = (89.7±1.9) (кДж моль–1) | |||||||
323.5 | 1.18 | 19.091 | 296.2 | 10.91 | 0.62 | 0.02 | 85.57 |
325.3 | 1.05 | 14.754 | 298.2 | 9.84 | 0.72 | 0.02 | 85.28 |
327.3 | 0.98 | 13.793 | 291.2 | 10.35 | 0.70 | 0.02 | 84.96 |
329.5 | 1.49 | 16.071 | 292.2 | 10.71 | 0.92 | 0.03 | 84.61 |
331.2 | 1.50 | 12.500 | 295.2 | 10.71 | 1.20 | 0.03 | 84.33 |
331.5 | 1.55 | 14.285 | 292.2 | 10.71 | 1.07 | 0.03 | 84.28 |
333.2 | 1.26 | 10.056 | 292.2 | 10.06 | 1.24 | 0.03 | 84.01 |
335.5 | 1.47 | 8.928 | 292.2 | 10.71 | 1.63 | 0.04 | 83.64 |
337.1 | 1.73 | 8.929 | 295.2 | 10.71 | 1.93 | 0.05 | 83.38 |
339.2 | 1.47 | 6.704 | 292.2 | 10.06 | 2.17 | 0.06 | 83.04 |
341.3 | 1.65 | 6.364 | 296.2 | 10.91 | 2.60 | 0.07 | 82.70 |
343.3 | 1.71 | 5.556 | 294.2 | 8.33 | 3.05 | 0.08 | 82.38 |
345.1 | 2.00 | 5.555 | 291.2 | 7.41 | 3.55 | 0.09 | 82.09 |
347.4 | 1.82 | 4.018 | 293.2 | 8.04 | 4.50 | 0.11 | 81.72 |
349.3 | 1.88 | 3.472 | 295.2 | 8.33 | 5.40 | 0.14 | 81.41 |
349.3 | 1.94 | 3.571 | 292.2 | 10.71 | 5.36 | 0.14 | 81.41 |
351.2 | 1.57 | 2.459 | 298.2 | 9.84 | 6.44 | 0.16 | 81.11 |
353.2 | 1.78 | 2.425 | 297.2 | 4.16 | 7.35 | 0.19 | 80.79 |
355.2 | 2.00 | 2.222 | 295.2 | 6.67 | 8.99 | 0.23 | 80.46 |
356.7 | 1.70 | 1.705 | 295.2 | 5.11 | 9.94 | 0.25 | 80.22 |
359.1 | 1.53 | 1.386 | 297.2 | 4.16 | 11.11 | 0.28 | 79.83 |
Таблица 2. Окончание
Т, K | m, мг | V(He), дм3 | Ta, K | Расход, дм3 ч–1 | p, Па | u(p), Па | кДж/моль |
359.2 | 1.82 | 1.607 | 293.2 | 8.04 | 11.23 | 0.28 | 79.82 |
361.2 | 2.46 | 1.786 | 293.2 | 10.71 | 13.61 | 0.34 | 79.50 |
363.2 | 2.08 | 1.339 | 293.2 | 8.04 | 15.34 | 0.39 | 79.17 |
Ди-н-пентилмалат: DvapHo (298.15 K) = (98.0±1.0) (кДж моль–1) | |||||||
329.5 | 0.41 | 17.419 | 298.2 | 11.61 | 0.21 | 0.03 | 92.60 |
331.5 | 0.39 | 14.423 | 298.7 | 11.54 | 0.25 | 0.03 | 92.25 |
333.5 | 0.48 | 13.548 | 298.2 | 11.61 | 0.32 | 0.03 | 91.91 |
335.4 | 0.49 | 11.538 | 298.7 | 11.54 | 0.38 | 0.03 | 91.58 |
337.4 | 0.48 | 9.615 | 298.7 | 11.54 | 0.45 | 0.04 | 91.23 |
339.4 | 0.23 | 3.982 | 298.2 | 7.96 | 0.53 | 0.04 | 90.89 |
341.4 | 0.50 | 6.731 | 299.2 | 11.54 | 0.67 | 0.04 | 90.54 |
343.4 | 0.51 | 5.769 | 299.2 | 11.54 | 0.80 | 0.05 | 90.20 |
345.3 | 0.55 | 5.310 | 298.2 | 7.96 | 0.94 | 0.05 | 89.87 |
347.3 | 0.49 | 3.846 | 299.2 | 11.54 | 1.14 | 0.05 | 89.53 |
348.9 | 0.54 | 3.723 | 299.2 | 6.57 | 1.32 | 0.06 | 89.25 |
351.2 | 0.61 | 3.319 | 298.2 | 7.96 | 1.67 | 0.07 | 88.85 |
353.3 | 0.41 | 1.923 | 299.2 | 11.54 | 1.92 | 0.07 | 88.49 |
354.8 | 0.56 | 2.299 | 299.2 | 6.57 | 2.20 | 0.08 | 88.23 |
357.1 | 0.59 | 1.991 | 298.7 | 7.96 | 2.69 | 0.09 | 87.84 |
359.2 | 0.57 | 1.685 | 299.2 | 6.74 | 3.06 | 0.10 | 87.48 |
360.7 | 0.57 | 1.423 | 299.2 | 6.57 | 3.64 | 0.12 | 87.22 |
363.1 | 0.71 | 1.434 | 298.7 | 6.62 | 4.45 | 0.14 | 86.80 |
365.1 | 0.63 | 1.124 | 299.2 | 6.74 | 5.05 | 0.15 | 86.46 |
367.1 | 0.70 | 1.124 | 299.2 | 6.74 | 5.68 | 0.17 | 86.11 |
369.1 | 0.83 | 1.095 | 299.2 | 6.57 | 6.91 | 0.20 | 85.77 |
Обозначения: Т–температура исследования (u(T) = 0.1 K), m – масса перенесенного вещества, сконденсированного при T = 228.2 K; V(He) –объем гелия (u(V) = 0.005 дм3) пошедшего на перенос m (u(m) = 0.0001 г) образца; Ta – температура измерения расхода гелия; p –давление насыщенного пара при температуре T; u(p) – погрешность, определенная по уравнению u(p) = 0.025 + 0.025(p), р, Па. Методика расчета погрешности для T, V, p, m приведена в работе [27].
Как видно из рис. 2 и 3, полученные нами давления насыщенных паров диметил- и диэтилмалатов немного ниже литературных значений. Это может быть связано с тем, что в работе [21] приведены только данные по коэффициентам уравнения Антуана, но нет данных по чистоте образцов и методе определения давлений. При этом рассчитанные из значений давлений насыщенных паров значения DvapHo (298.15 K) с учетом погрешности сопоставимы между собой (74.4±1.3 кДж моль–1 и 75.1 кДж моль–1 для диметилмалата, 76.4±1.1 кДж моль–1 и 78.1 кДж моль–1 для диэтилмалата).
Рис. 2. Сравнение давлений насыщенных паров для диметилмалата: • – данная работа; ○ – [21].
Рис. 3. Сравнение давлений насыщенных паров для диэтилмалата: • – данная работа; ○ – [21].
Для проверки внутренней согласованности экспериментальных результатов по DvapHo (298.15 K), были проведены корреляции значений DvapHo (298.15 K) с числом атомов углерода в спиртовом фрагменте и с индексами Ковача [22, 23, 28] (рис. 4). Как видно из графика, значение DvapHo (298.15 K) диметилмалата выпадает из линейной зависимости. Такое же поведение характерно и для диметилсукцината (рис. 4) [29, 30]. Этот факт может быть обусловлен различиями меж- и внутримолекулярных водородных связей в жидкой и газовой фазах, энтропийным фактором [22, 23] и высоким дипольным моментом алифатических эфиров [31].
Рис. 4. Зависимости значений DvapHo (298.15 K) от числа углеродных атомов спиртового фрагмента.
В целом корреляция значений DvapHo (298.15 K) от числа углеродных атомов спиртового фрагмента (nС) при nС≥2 описывается уравнением:
(1)
Корреляция значений DvapHo (298.15 K) от индексов Ковача (Jx) на неполярной фазе DB-1 и при Т=503.15 K [24] описывается уравнением:
(2)
Коэффициенты регрессии (R2) в полученных уравнениях (1) и (2) показывают хорошую согласованность полученных результатов. Кроме того, эти уравнения могут быть использованы для расчета DvapHo (298.15 K) при nC>5.
В работах [22, 23] было показано, что в сложных эфирах гликолевой и молочной кислот существуют внутри- и межмолекулярные водородные связи, обусловленные наличием в молекулах эфиров гидроксильной группы. Логично предположить, что такие же взаимодействия будут характерны и для диалкилмалатов. Вклад гидроксильной группы и межмолекулярных водородных связей в DvapHo (298.15 K) эфиров гидроксикарбоновых кислот оценивали с помощью экспериментальных значений энтальпии испарения и концепции гомоморфных соединений [32, 33]. В качестве гомоморфных гомологов использовали сложные эфиры алкилацетатов, алкилпропионатов и диалкилсукцинатов соответственно для алкилгликолатов, алкиллактатов и диалкилмалатов. Значения DvapHo (298.15 K) для гомоморфных соединений были взяты из базы данных термодинамического исследовательского центра Национального института стандартов и технологий NIST ChemistryWebBook [34]. Отклонения значений DvapHo (298.15 K) эфиров гидроксикарбоновых кислот и их гомоморфных аналогов представлены в табл. 3.
Таблица 3. Отклонения (Δ) значений DvapHo (298.15 K) эфиров гидроксикарбоновых кислот и их гомоморфных аналогов (в кДж моль–1).
nС | Δ | nС | Δ |
DvapHo (298.15 K) (HO-CH2-CO2-(CH2)n-H) – DvapHo (298.15 K) (CH3-CO2-(CH2)n-H) | |||
1 | 19.2 | 5 | 16.4 |
2 | 20.1 | 6 | 18.8 |
3 | 20.2 | 8 | 16.9 |
4 | 20.7 | ||
(CH3-CH2(OH)-CO2-(CH2)n-H) – (CH3-CH3-CO2-(CH2)n-H) | |||
1 | 16.2 | 3 | 12.6 |
2 | 15.0 | 4 | |
DvapHo (298.15 K) (H-(CH2)n-CO2-CH(OH)- CH2-CO2-(CH2)n-H) – DvapHo (298.15 K) (H-(CH2)n-CO2-CH2- CH2-CO2-(CH2)n-H) | |||
1 | 13.4 | 4 | 10.6 |
2 | 11.3 | 5 | 9.3 |
3 | 11.1 | ||
Анализ данных представленных в табл. 3 показывает, что вклад в DvapHo (298.15 K) гидроксильной группы и энергии водородных связей уменьшается с увеличением длины спиртового остатка. При этом, вклад гидроксильной группы и энергии водородных связей уменьшается в следующей последовательности: гликолаты – лактаты – малаты. Это можно объяснить тем, что заместители у гидроксильной группы экранируют гидроксильную группу и соответственно уменьшают энергию водородных связей. В случае алкилгликолатов экранирование происходит с одной стороны молекулы, а в случае алкиллактатов и диалкилмалатов с двух (рис. 5). При этом заместители у диалкилмалатов имеют больший размер, чем метильный заместитель у алкиллактатов и, соответственно, экранирование гидроксильной группы происходит значительнее.
Рис. 5. Расположение заместителей относительно –OH-группы в молекулах алкилгликолатов, алкиллактатов и диалкилмалатов.
В связи с вышесказанным, потребовалась корректировка авторского QSPR-метода прогнозирования DvapHo (298.15 K) и [25, 26]. Были внесены изменения, касающиеся влияния заместителей на величину энергии водородных связей, расположенных рядом с гидроксильной группой и получено уравнение:
(3)
где 11.3 – вклад энергии водородных связей от ОН-группы, – суммарный индекс алкана, соответствующий заместителю возле гидроксильной группы (например, для заместителя -COOCH2CH3 это пропан, для заместителя -CH2COOCH2CH3 бутан) [25], 1.316 и 0.220 оптимизационные параметры. В результате итоговое уравнение для расчета значений DvapHo (298.15 K) стало выглядеть следующим образом:
(4)
где 0c, 1c, 2c, 3c – индексы связанности; cmm – вклад межмолекулярных взаимодействий; cb – вклад водородных связей.
Результаты расчета модифицированным QSPR-методом представлены в табл. 4, из которой видна хорошая сходимость экспериментальных и расчетных данных. Погрешность расчета не превышает 5%.
Работа выполнена при поддержке базовой части государственного задания № 0778-2020-0005.
About the authors
Yu. F. Yamshchikova
Samara State Technical University
Email: kinterm@samgtu.ru
Russian Federation, Samara
S. V. Portnova
Samara State Technical University
Email: kinterm@samgtu.ru
Russian Federation, Samara
E. L. Krasnykh
Samara State Technical University
Author for correspondence.
Email: kinterm@samgtu.ru
Russian Federation, Samara
References
- Vinoth Kumar R., Pakshirajan K., Pugazhenthi G. Malic and Succinic Acid, in: Platf. Chem. Biorefinery, Elsevier, 2016. Р. 159. https://doi.org/10.1016/B978-0-12-802980-0.00009-2
- Martínez-Zepeda D.L., Meza-González B., Álvarez-Hernández M.L. et al. // Dyes Pigments. 2021. V. 188 P. 109239. https://doi.org/10.1016/j.dyepig.2021.109239
- Li Z.-J., Hong P.-H., Da Y.-Y. et al. // Metab. Eng. 2018. V. 48. Р. 25. https://doi.org/10.1016/j.ymben.2018.05.010
- Lee J.A., Ahn J.H., Lee S.Y. Organic Acids: Succinic and Malic Acids, in: Compr. Biotechnol., Elsevier, 2019. Р. 172. https://doi.org/10.1016/B978-0-444-64046-8.00159-2
- Kaminský J., Horáčková F., Biačková N. et al. // J. Phys. Chem. B. 2021. V. 125. Р. 11350. https://doi.org/10.1021/acs.jpcb.1c05480
- Kuz’mina N.S., Prokhorova A.A., Portnova S.V., Krasnykh E.L. // Polym. Sci. Ser. B. 2022. V. 64. Р. 636. https://doi.org/10.1134/S156009042270052X
- Li Y., Miao Y., Yang L. et al. // Chem. Eng. J. 2023. V. 455. P. 140572. https://doi.org/10.1016/j.cej.2022.140572
- Yang R., Wang B., Li M. et al. // Ind. Crops Prod. 2019. V. 136. Р. 121. https://doi.org/10.1016/j.indcrop.2019.04.073
- Ljubimova J.Y., Fujita M., Ljubimov A.V. et al. // Nanomed. 2008. V. 3. Р. 247. https://doi.org/10.2217/17435889.3.2.247
- Loyer P., Cammas-Marion S. // J. Drug Target. 2014. V. 22. Р. 556. https://doi.org/10.3109/1061186X.2014.936871
- Nguyen H.V.D., De Vries R., Stoyanov S.D. // ACS Sustainable Chem. Eng. 2020. V. 8. Р. 14166. https://doi.org/10.1021/acssuschemeng.0c04982
- Yan Y., An H., Liu Y. et al. // Int. J. Biol. Macromol. 2023. V. 242. P. 125056. https://doi.org/10.1016/j.ijbiomac.2023.125056
- Xi Y., Fan F., Zhang X. // Green Carbon. 2023. V. 1. Р. 118. https://doi.org/10.1016/j.greenca.2023.10.005
- Jiang Y., Ye X., Zheng T. et al. // Chin. J. Chem. Eng. 2021. V. 30. Р. 105. https://doi.org/10.1016/j.cjche.2020.10.017
- Werpy T., Petersen G. Top Value Added Chemicals from Biomass: Volume I – Results of Screening for Potential Candidates from Sugars and Synthesis Gas, 2004. 77 p. https://doi.org/10.2172/15008859
- Kövilein A., Kubisch C., Cai L., Ochsenreither K. // J. Chem. Technol. Biotechnol. 2020. V. 95. Р. 513. https://doi.org/10.1002/jctb.6269
- Liu J., Xie Z., Shin H. et al. // J. Biotechnol. 2017. V. 253. Р. 1. https://doi.org/10.1016/j.jbiotec.2017.05.011
- Dai Z., Zhou H., Zhang S. et al. // Bioresour. Technol. 2018. V. 258. Р. 345. https://doi.org/10.1016/j.biortech.2018.03.001
- Su C.-Y., Yu C.-C., Chien I.-L., Ward J.D. // Ind. Eng. Chem. Res. 2013. V. 52. Р. 11070. https://doi.org/10.1021/ie303192x
- Li Q.-Z., Jiang X.-L., Feng X.-J. et al. // J. Microbiol. Biotechnol. 2016. V. 26. Р. 1. https://doi.org/10.4014/jmb.1505.05049
- Stephenson R.M., Malanowski S. Handbook of the Thermodynamics of Organic Compounds, Springer Netherlands, Dordrecht, 1987. https://doi.org/10.1007/978-94-009-3173-2
- Emel’yanenko V.N., Yermalayeu A.V., Portnova S.V. et al. // J. Chem. Thermodyn. 2019. V. 128. Р. 55–67. https://doi.org/10.1016/j.jct.2018.07.029
- Portnova S.V., Yamshchikova Y.F., Krasnykh E.L. et al. // J. Chem. Eng. Data. 2020. V. 65. Р. 2566–2577. https://doi.org/10.1021/acs.jced.9b01195
- Portnova S.V., Yamshchikova Yu.F., Krasnykh E.L. // Russ. J. Phys. Chem. A. 2019. V. 93. Р. 577–583. https://doi.org/10.1134/S0036024419020213
- Krasnykh E.L., Portnova S.V. // J. Struct. Chem. 2017. V. 58. Р. 706. https://doi.org/10.1134/S0022476617040096
- Krasnykh E.L., Portnova S.V. // Ibid. 2016. V. 57. Р. 437. https://doi.org/10.1134/S0022476616030033
- Verevkin S.P., Sazonova A.Yu., Emel’yanenko V.N. et al. // J. Chem. Eng. Data. 2015. V. 60. Р. 89–103. https://doi.org/10.1021/je500784s
- Portnova S.V., Kuzmina N.S., Yamshchikova Y.F., Krasnykh E.L. // Ibid. 2022. V. 67. Р. 2323. https://doi.org/10.1021/acs.jced.2c00267
- Lipp S.V., Krasnykh E.L., Verevkin S.P. // J. Chem. Eng. Data. 2011. V. 56. Р. 800. https://doi.org/10.1021/je100231g
- Portnova S.V., Krasnykh E.L., Levanova S.V. // Russ. J. Phys. Chem. A. 2016. V. 90. Р. 990. https://doi.org/10.1134/S0036024416050253
- Verevkin S.P., Kozlova S.A., Emel’yanenko V.N. et al. // J. Chem. Eng. Data. 2006. V. 51. Р. 1896. https://doi.org/10.1021/je0602418
- Verevkin S.P. // J. Chem. Eng. Data. 2017. V. 52. Р. 301. https://doi.org/10.1021/je060419q
- Roganov G.N., Pisarev P.N., Emel’yanenko V.N., Verevkin S.P. // J. Chem. Eng. Data. 2005. V. 50. Р. 1114. https://doi.org/10.1021/je049561m
- Linstrom P. // NIST Standard Reference Database 1997. V. 69. https://doi.org/10.18434/T4D303
Supplementary files







