Synthesizing metal-organic UiO-66 framework in microwave fields based on polyethylene terephthalate waste for adsorptive removal of tartrazine food dye from aqueous solutions
- Authors: Vergun V.V.1, Vedenyapina M.D.1, Kulaishin S.A.1, Chernyshev V.V.2,3, Tkachenko O.P.1, Nissenbaum V.D.1, Isaeva V.I.1
-
Affiliations:
- N. D. Zelinsky Institute of Organic Chemistry of Russian Academy of Sciences
- A. N. Frumkin Institute of Physical Chemistry and Electrochemistry of the Russian Academy of Sciences
- M. V. Lomonosov Moscow State University
- Issue: Vol 99, No 1 (2025)
- Pages: 97-106
- Section: PHYSICAL CHEMISTRY OF SOLUTIONS
- Submitted: 17.04.2025
- Accepted: 17.04.2025
- Published: 17.04.2025
- URL: https://journal-vniispk.ru/0044-4537/article/view/288137
- DOI: https://doi.org/10.31857/S0044453725010099
- EDN: https://elibrary.ru/EIIWJW
- ID: 288137
Cite item
Abstract
The sample of metal-organic UiO-66 framework (Zr6O4(OH)4bdc, bdc = benzene-1,4-dicarboxylate/terephthalate), which is a promising adsorbent of persistent organic pollutants from aqueous medium, is obtained by the original method in the medium of unconventional “green” solvent, triethylene glycol (TEG), under conditions of microwave activation of reaction mass at atmospheric pressure according to one-step approach. PET-UiO-66 material is synthesized using polymer waste, viz. recycled polyethylene terephthalate (PET), as a source of organic linker (terephthalic or benzene-1,4-dicarboxylic acid, H2bdc) for framework formation. Its adsorption activity is first studied in the adsorption removal of tartrazine food dye (E-102) from aqueous solutions. It is found that the kinetics of the adsorption process obeys the pseudo-second-order model, and its thermodynamics corresponds to the Langmuir model.
Full Text
В настоящее время серьезную угрозу для окружающей среды и тем самым для здоровья и жизни человека представляет накопление в ней разнообразных отходов, как промышленных, так и побочных продуктов повседневной деятельности [1]. Они присутствуют практически повсеместно, на городских свалках, в поверхностных и грунтовых водах, а также лесных массивах. С другой стороны, возрастает потребность в замене не возобновляемых источников сырья для получения важных продуктов и полупродуктов химической промышленности на возобновляемые аналоги. Для решения указанных проблем необходим комплексный подход, включающий переработку и рециклизацию отходов, а в случае опасных веществ и материалов – разложение или ликвидацию во избежание вторичного загрязнения [2, 3].
Особую угрозу представляет накопление полимерных отходов, поскольку при их медленном старении и деградации в естественных условиях, в первую очередь, под воздействием УФ-излучения, выделяются разнообразные токсичные вещества. При этом, как правило, полимерные отходы устойчивы к биоразложению, в отличие от органических отходов. Вследствие их постепенного фоторазложения под воздействием солнечного света образуются небольшие фрагменты (микропластик) – представляет смертельную опасность для живых организмов (рыбы, млекопитающие), которые могут употреблять его вместе с пищей [4, 5]. Наиболее распространенными полимерными отходами являются полиэфирные полимеры, такие как ПЭТ, полибутилентерефталат (PBT) и полилактид (PLA). В частности, ПЭТ является чрезвычайно устойчивым к разложению в естественных условиях.
Перспективным подходом к решению проблемы удаления полимерных отходов из окружающей среды является их переработка в продукты с добавленной стоимостью. Так, разработана технология их конверсии путем пиролиза и термической обработки (в том, числе, с применением катализаторов), c получением топлива и ценных химических полупродуктов, таких как кислоты, альдегиды и кетоны [6, 7]. Эта стратегия соответствуют принципам экономики замкнутого цикла, которая является более прогрессивной альтернативой традиционной линейной экономике.
Известны следующие стадии переработки отходов ПЭТ: первичный рециклинг, вторичный рециклинг (механическая или физическая переработка) и третичный (химическая переработка) [8], при этом химический способ деполимеризации признан наиболее перспективным подходом. В настоящее время исследуются пути дальнейшего повышения экологичности процессов переработки ПЭТ. Так, разработан способ его каталитической деполимеризации (гликолиза) с образованием бис(2-гидроксиэтил)терефталата в присутствие металл-азолатного каркаса MAF-6 среде диэтиленгликоля [9].
Помимо полимерных отходов серьезным источником загрязнения окружающей среды является накопление в сточных водах стойких органических загрязнителей (СОЗ), которые также практически не поддаются удалению химическими, фотолитическими и биологическими методами. Вследствие этого СОЗ могут содержаться в водопроводной воде в следовых количествах после систем фильтрации. К этим веществам относятся лекарственные препараты, органические красители и гербициды. Наиболее эффективным методом удаления СОЗ из водной среды является адсорбция на нанопористых материалах. Особый потенциал в этом отношении имеет относительно новый класс пористых координационных полимеров – металл-органические каркасы (МОК или MOF – metal-organic frameworks). По своей природе, они являются координационными полимерами, трехмерная структура которых образована ионами или малыми кластерами металлов, соединенных полидентатными органическими лигандами (линкерами) [10]. Уникальные физико-химические свойства МОК обеспечивают возможность их применения в газофазной [11] и жидкофазной адсорбции [12], (фото)катализе [13], электрохимии [14] и биомедицине [15].
К настоящему времени многие материалы МОК исследованы в процессах адсорбционного удаления СОЗ из воды [16]. К наиболее перспективным адсорбентам этого вида относятся материал UiO-66 (Zr6O4(OH)4bdc, bdc = бензол-1,4-дикарбоксилат/терефталат) [17] и его аналог NH2-UiO-66 с аминотерефталатными (2-аминобензол-1,4-дикарбоксилатными (abdc)) линкерами [18]. Эти носители отличаются повышенной химической стабильностью при значениях pH среды, варьируемых в широком диапазоне. Адсорбенты (NH2)-UiO-66 продемонстрировали эффективность в процессах удаления СОЗ различного вида [19, 20], а также неорганических частиц [21] из воды.
Терефталевая кислота является источником органического линкера для построения структуры многочисленных материалов МОК [22], в том числе каркаса UiO-66. С точки зрения практического применения адсорбентов этого вида, важной задачей является поиск экономичных, возобновляемых источников соответствующего линкера. Перспективным подходом для ее решения является деполимеризация отходов ПЭТ с выделением терефталатного линкера [23]. Этот способ может реализоваться в одну или две стадии. В первом случае, деполимеризация с образованием терефталевой кислоты происходит на отдельной стадии с последующим получением материала МОК. Во втором случае, синтез образца МОК проводиться непосредственно из полимерных отходов. Например, одностадийный способ был использован для получения серии нанопористых материалов MIL-47, MIL-53(Cr), MIL-53(Al), MIL-53(Ga) и MIL-101(Cr) [24]. В этом случае, отходы ПЭТ вводятся в сольвотермальный процесс вместе с солью соответствующего металла в надлежащем растворителе, при этом, деполимеризация ПЭТ происходит одновременно с формированием образца МОК.
В литературе имеются примеры получения материала UiO-66 с использованием отходов ПЭТ в качестве источника терефталатного линкера, как двухстадийным [25, 26], так и одностадийным способом. Так, образец UiO-66, полученный из отходов ПЭТ согласно двухстадийному способу, был использован для экстракции и преконцентрирования стероидных гормонов прогестерона, гидрокортизона, 17β-эстрадиола и эстрона в пробах речной воды методом высокоэффективной жидкостной хроматографии [27].
Материал UiO-66 с bdc-линкером на основе вторичного ПЭТ был получен одностадийным способом в сольвотермальных условиях при СВЧ-нагреве (200°C, 500 Вт, 30 мин) в присутствие соляной кислоты в качестве катализатора деполимеризации. Этот образец проявил эффективность при адсорбции диоксида углерода [28].
В настоящей работе материал PET-UiO-66 синтезирован по оригинальной методике согласно одностадийному подходу. Реакцию проводили в условиях СВЧ-активации реакционной массы при атмосферном давлении (260°C 200 Вт, 30 мин) в среде экологически безопасного растворителя триэтиленгликоля (ТЭГ). Для формирования каркаса был использован терефталат, образованного за счет термической деполимеризации ПЭТ, представляющего собой отходы неокрашенных пластиковых бутылок от безалкогольных напитков. Процесс был реализован без использования HCl и других дополнительных агентов, способствующих деполимеризации. Образец PET-UiO-66 исследован методами порошкового рентгеноструктурного анализа (пРСА), ИК-спектроскопии (DRIFTS), электронной микроскопии (ПЭМ, СЭМ) и термогравиметрическим анализом (ТГА).
Адсорбционная активность материала PET-UiO-66 была впервые изучена в отношении тартразина (типичного СОЗ), красителя, применяемого для окрашивания пищевых продуктов и оболочек капсул лекарственных препаратов, и токсичного при высоких концентрациях (рис. 1). Следует отметить, что в литературе имеются лишь единичные примеры адсорбции тартразина из водных растворов на материале UiO-66 и его модифицированных аналогов, полученных с использованием коммерчески доступной терефталевой кислоты [29, 30].
Рис. 1. Структурная формула тартразина.
ЭКСПЕРИМЕНТАЛЬНАЯ ЧАСТЬ
В работе использовали коммерчески доступные реактивы (“х.ч.”) без дополнительной очистки. В качестве вторичного ПЭТ использованы без дополнительно обработки фрагменты пластиковой тары для безалкогольных напитков (~2х2 мм).
Синтез PET-UiO-66. Исходные реагенты ZrOCl2×8H2O (5.0 ммоль, 1.62 г), ПЭТ (0.96 г) и ТЭГ (20 мл) загружали в стеклянный реактор. Синтез проводили в условиях СВЧ-активации реакционной массы (200 Вт, 30 мин) в камере модифицированной микроволновой печи “Panasonic NN-GD366M”. В ходе процесса температура реакционной смеси повышалась и достигала 260°С через 20 мин от его начала. После охлаждения реакционной смеси, образец PET-UiO-66 отделяли центрифугированием, промывали дистиллированной водой (2×20 мл), метанолом (2×20 мл), сушили при пониженном давлении и вакуумировали (150°С, 10–3 мм рт. ст., 8 ч). Выход целевого продукта составил 81.3%.
Синтез образца сравнения classic-UiO-66. Образец classic-UiO-66 получали по известной методике [18].
Физико-химическая характеризация материала PET-UiO-66. Микроструктуру синтезированных образцов изучали с помощью методов просвечивающей (STEM) и сканирующей (СЭМ) электронной микроскопии. Оптимизация аналитических измерений проведена в рамках описанного ранее подхода [31]. Перед съемкой образец помещали на поверхность алюминиевого столика диаметром 25 мм, фиксировали при помощи проводящего углеродного скотча и напыляли на них проводящий слой Au толщиной 10 нм при помощи метода магнетронного распыления, описанного ранее [32]. Микроструктуру образца изучали методом сканирующей электронной микроскопии с полевой эмиссией (STEM) на электронном микроскопе Hitachi Regulus 8230. Съемку изображений вели в режиме регистрации обратно-рассеянных электронов (композиционный контраст) при ускоряющем напряжении 10 кВ. Исследование образца методом рентгеноспектрального микроанализа (EDS-SEM) проводили с использованием системы микроанализа Bruker Quantax 400 с детектором XFlash 6-60 при ускоряющем напряжении 20 кВ.
Рентгеновские измерения проводили при комнатной температуре на дифрактометре “EMPYREAN” (“Panalytical”, Нидерланды) (излучение CuKα, никелевый фильтр, линейный детектор X´Сelerator, геометрия Брэгга–Брентано). Инфракрасные спектры с фурье-преобразованием (DRIFTS) регистрировали при комнатной температуре с помощью спектрометра “Nicolet 460 Protege” (США), оснащенного приставкой для измерения диффузного рассеяния. Образцы помещали в ампулу, снабженную окном из KBr. Перед регистрацией FTIR-спектров образцы обрабатывали в вакууме при 150°C (2 ч). Для получения удовлетворительного соотношения сигнал/шум для каждого спектра было получено 500 сканирований. Спектры измеряли от 400 до 6000 см–1 с разрешением 4 см–1. Интенсивность полос поглощения (ПП) в спектрах оценивали в единицах Кубелки–Мунка.
Адсорбцию тартразина из водных растворов с начальной концентрацией 150–25 мг/л проводили при постоянном перемешивании на магнитной мешалке (150 об/мин) при комнатной температуре. Его концентрацию в растворе, в процессе достижения адсорбционного равновесия, определяли спетрофотометрически по поглощению при длине волны 440 нм. на приборе “Hitachi U-1900” (Япония). Измерения методом ТГА проводили на воздухе до 750°C со скоростью 10°C/мин на приборе Derivatograph-C (“MOM”).
ОБСУЖДЕНИЕ РЕЗУЛЬТАТОВ
Синтез образца PET-UiO-66. Получение образца PET-UiO-66 проводили одностадийным способом в условиях СВЧ-активации реакционной массы при атмосферном давлении согласно оригинальной методике. Использование нетрадиционного растворителя ТЭГ с высокой температурой кипения (285°C) позволяет проводить процесс при атмосферном давлении в отсутствии кислот и других агрессивных агентов, способствующих деполимеризации ПЭТ. При этом, время реакции (30 мин) существенно снижено по сравнению с синтезом образца classic-UiO-66 по литературной методике (сольвотермальные условия, 24 ч) [17]. Концентрация ионов Zr4+ (0.25 М) в процессе синтеза материала PET-UiO-66 (соотношение Zr4+: ПЭТ-1: 1)существенно превышает концентрацию соли циркония (IV) при получении образца classic-UiO-66 (0.001 М) [17], а также концентрацию в процессе синтеза литературного аналога UiO-66 на основе отходов ПЭТ (0.1 М) [28]. Стоит отметить, что проведение реакции при высоких концентрациях реагентов снижает расход растворителя (ТЭГ), тем самым, увеличивая производительность процесса (в терминах г/(л·мин)). Эти условия, наряду с применением отходов ПЭТ в качестве источника bdc-линкера и энергосберегающего СВЧ-синтеза, способствуют практическому применению материала PET-UiO-66.
Изучение физико-химических характеристик образца PET-UiO-66. На рентгеновской дифрактограмме материала PET-UiO-66 (рис. 2) можно видеть три очень широких пика, что указывает на чрезвычайно малые размеры областей когерентного рассеяния, не превышающие нескольких нанометров. В то же время, расположение этих пиков вполне соответствует положениям и относительным высотам пиков классической структуры UiO-66 с учетом их уширения из-за малых размеров кристаллитов.
Рис. 2. Дифрактограмма материала PET-UiO-66. Вертикальные отрезки показывают рассчитанные положения рефлексов для классической структуры UiO-66 с параметром кубической ячейки a = 20.75 A и пространственной группой симметрии Fm-3m.
На рис. 3 приведены микрофотографии СЭМ (слева) и STEM (справа) материала PET-UiO-66. Исследуемый материал состоит из частиц неправильной формы размером 30–100 нм, организованных в плотные агломераты, также можно наблюдать развитую систему макропор. Образец является однородным и не содержит видимых включений исходного ПЭТ. На рис. 4 представлено элементное картирование материала PET-UiO-66 (на углеродной подложке). Наблюдается равномерное распределение входящих в состав материала элементов, что свидетельствует о его однородности.
Рис. 3. СЭМ- (а) и STEM- (б) изображения материала PET-UiO-66.
Рис. 4. SEM-EDX-картирование материала PET-UiO-66.
Спектральные характеристики PET-UiO-66. Функциональные группы на поверхности образца PET-UiO-66, влияющие существенным образом на его адсорбционное поведение, были изучены методом DRIFTS. Для выявления особенностей химического состава было проведено сопоставление его спектральных характеристик и образца сравнения classic-UiO-66.
На рис. 5 представлены обзорные ИК-спектры образцов classic-UiO-66 и PET-UiO-66 после термовакуумной обработки (150°C).
Рис. 5. Обзорные спектры образцов classic-UiO-66 и PET-UiO-66 после термовакуумной обработки (150°C).
Полосы в регионе 3700–3200 cм–1 характерны для взаимодействия поверхности classic-UiO-66 и PET-UiO-66 с молекулами адсорбатов, в первую очередь, воды. Вакуумная обработка при 150°C приводит к частичному удалению адсорбатов.
Интенсивная четкая полоса в спектре образца сравнения classic-UiO-66 при 3673 см–1 является характерной для O-H-групп в мостиковом фрагменте µ3-OH [33, 34]. В спектре материала PET-UiO-66 эти же группы проявляются в виде небольшой интенсивной полосы при 3433 cм–1 [33–38]. Широкая полоса в спектрах обоих обазцов в области 3600–3200 см–1 указывает на валентные колебания O-H-групп, участвующих в водородном связывании [33–38].
Полосы при 3072, 2993, 2943 и 2882 см–1 в спектре образца classic-UiO-66 и 3068, 2964, 2904 и 2876 см–1 характеризуют асимметричные и симметричные валентные колебания в –СН3- и –СН2-фрагментах bdc-линкеров. Несколько полос в регионе 2000–1670 см–1, принадлежат к обертонам деформационных колебаний связи δС-Н (нелинейным и мультиплетным). В области 1670–1500 cм–1 (classic-UiO-66) и 1650–1550 cм–1 (образец PET-UiO-66) присутствуют полосы, соответствующие валентным колебаниям νС–С-связи в ароматическом ядре bdc-линкеров. Полосы при 1603 и 1454 см–1 (classic-UiO-66) и 1596 и 1442 (образец PET-UiO-66) соответствуют νС=С-связи в ароматическом ядре bdc-линкеров (рис. 5). Полосы в регионе 1300–1000 см–1 в спектрах обоих материалов соответствуют плоским деформационным колебаниям в ароматическом ядре bdc-линкеров.
Таким образом, на поверхности образцов PET-UiO-66 и образца сравнения classic-UiO-66 присутствуют одинаковые функциональные группы, что указывает на формирование UiO-66 каркаса, исходя из вторичного ПЭТ – источника bdc-линкера. Некоторые различия наблюдаются в составе строительных блоков µ3-OH, что может быть связано с наличием дефектов в структуре PET-UiO-66. Появление таких дефектов может быть обусловлено использованием высоких концентраций реагентов в процессе синтеза.
Исследование термической стабильности образца PET-UiO-66 методом ТГА. Наблюдаемая картина изменения массы образца PET-UiO-66 при его нагревании в атмосфере воздуха отражает его поэтапную термоокислительную деструкцию. Суммарная потеря массы образца PET-UiO-66 составляет 57.2%: 0.8% до~140°C, 27.5% в интервале 140–450°C, 24.7% при 450–590°C и 4.0% при 590–675°C. Для более полной характеризации образца PET-UiO-66 проведено также исследование термической стабильности материала classic-UiO-66, синтезированного по классической методике [17].
Из сопоставления кривых ТГА и ДТА (рис. 6) для материалов UiO-66, синтезированных на основе ПЭТ и по “классической” методике, следует, что для материала PET-UiO-66 область 200–420°С соответствует термодеструкции остаточных олигомеров ПЭТ. Первый максимум теплового эффекта (540°С), а также соответствующая ему область 420–600°C характерны как для материала PET-UiO-66, так и для образца classic-UiO-66, и соответствуют деструкции каркаса. Второй максимум теплового эффекта (640°С) и соответствующая ему область на кривой ТГА характерны только для материала PET-UiO-66. Они могут соответствовать окислению углерода, сформировавшегося при термодеструкции остаточных олигомеров, образующихся при деполимеризации ПЭТ. Исходя из изменения веса образца в процессе термического разложения, он содержит ~ 4.5% примеси остаточных олигомеров ПЭТ.
Рис. 6. Кривые TG (а) и DTA (б) для материалов PET-UiO-66 и classic-UiO-66.
Таким образом, результаты характеризации материала PET-UiO-66 указывают на соответствии, в основных деталях, его физико-химических характеристик свойствам образцов UiO-66, известным из литературы.
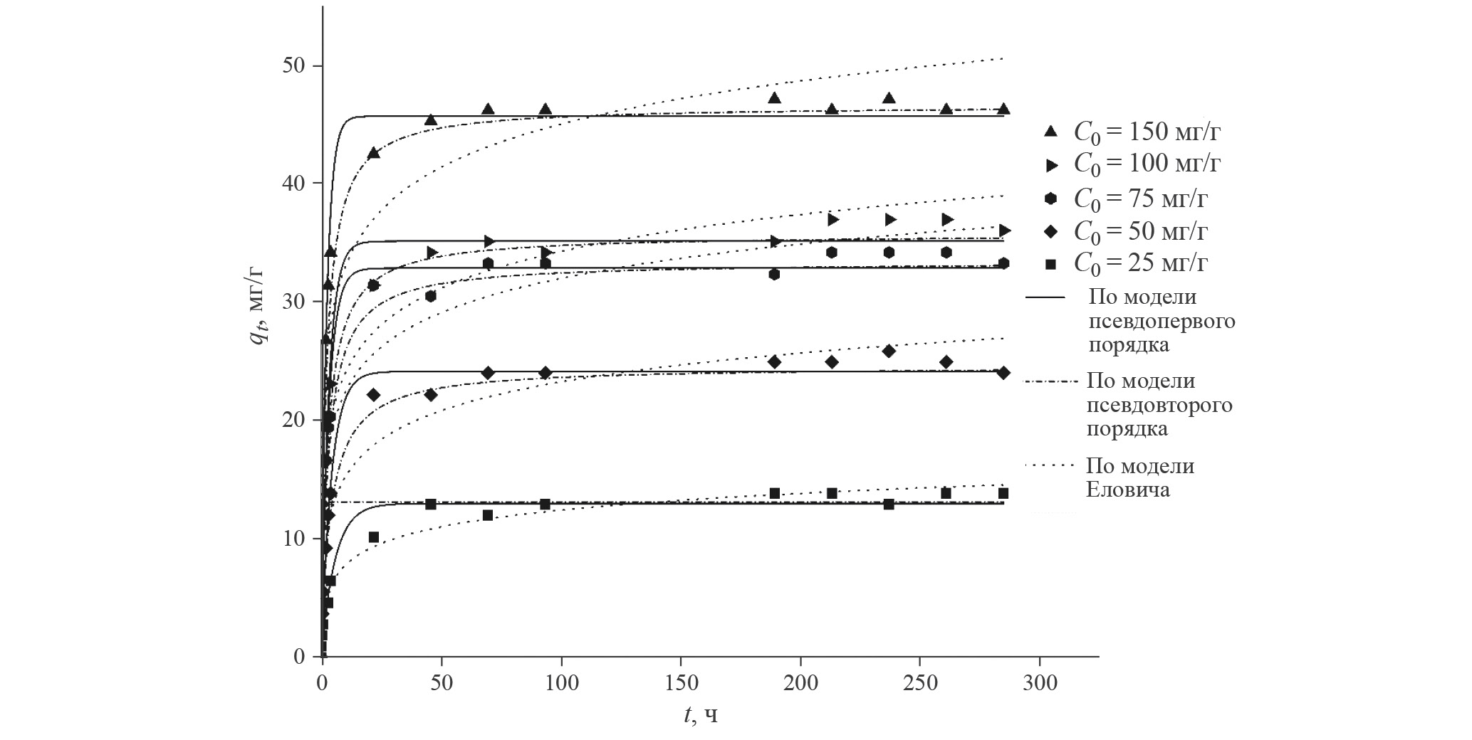
Адсорбция тартразина на материале PET-UiO-66. Для выявления адсорбционного поведения материала PET-UiO-66 по отношению к тартразину были проведены кинетические и термодинамические измерения в широком интервале концентраций (25–150 мг/л). Определение кинетики адсорбции отражает механизм массообмена в этом процессе, а также скорость лимитирующей стадии [39].
Как показано на рис. 7, адсорбционное равновесие достигается за ~ 100 ч. Для исследования кинетики адсорбции тартразина использовали модели псевдопервого порядка (ПП) [40], псевдовторого порядка (ПВ) [41] и уравнение Еловича [42]. Модель псевдопервого порядка выражается следующим уравнением:
(1)
где k1 (мин–1)– константа скорости, qe и qt (мг/г) – количество адсорбированного адсорбата в равновесии и во времени соответственно.
Уравнение модели псевдовторого порядка выражается следующим образом:
, (2)
где k2 (л/(мг мин)) – константа скорости адсорбции модели ПВ. Модель Еловича описывается уравнением [42]:
(3)
где α (мг/(г мин)) – начальная скорость адсорбции; β (г/мг) – константа десорбции в ходе каждого эксперимента.
На рис. 7 представлены результаты экспериментов по адсорбции тартразина на образце PET-UiO-ПЭТ и адсорбционные кривые, соответствующие ПП, ПВ и модели Еловича. Параметры, рассчитанные по указанным моделям, представлены в табл. 1. Эти данные указывают на то, что модель ПВ дает наилучшее соответствие с более высокими коэффициентами регрессии (R2 =0.994–0.999). Таким образом, кинетика процесса соответствует уравнению ПВ.
Рис. 7. Кинетика адсорбции тартразина на оразце PET-UiO-66. Точки – экспериментальные данные, линии – рассчет по моделям.
Таблица 1. Параметры кинетических моделей процесса адсорбции тартразина на материале PET-UiO-66
C0, мг/л | Псевдопервый порядок | Псевдовторой порядок | Уравнение Еловича | qe эксп., мг/г | ||||||
k1 | qe, мг/г | R2 | k2 | qe, мг/г | R2 | α, мг/(г мин) | β, г/мг | R2 | ||
25 | 0.17 | 13.05 | 0.970 | 0.02 | 13.76 | 0.990 | 0.15 | 0.488 | 0.978 | 13.9 |
50 | 0.23 | 24.20 | 0.991 | 0.01 | 25.19 | 0.996 | 0.43 | 0.283 | 0.960 | 24.1 |
75 | 0.31 | 32.96 | 0.982 | 0.01 | 33.90 | 0.994 | 1.44 | 0.238 | 0.954 | 33.4 |
100 | 0.32 | 35.24 | 0.980 | 0.01 | 36.28 | 0.994 | 0.93 | 0.582 | 0.966 | 36.1 |
150 | 0.43 | 45.79 | 0.987 | 0.02 | 46.87 | 0.999 | 4.54 | 0.190 | 0.980 | 46.3 |
Три основные модели – Ленгмюра [43], Фрейндлиха [44] и Темкина [45] – были использованы для описания изотерм адсорбции тартразина на образце PET-UiO-66. Нелинейную форму изотермы Ленгмюра можно описать следующим образом:
, (4)
где qm – максимальная емкость монослоя (мг/г), а bl – коэффициент адсорбции (л/г).
Математически изотерму Фрейндлиха можно представить как уравнение:
(5)
где KF – коэффициент распределения или коэффициент адсорбции (л/г).
Модель Темкина описывается уравнением 6 [45]
(6)
где bT – коэффициент адсорбции (Дж/моль); R – универсальная газовая постоянная 8.314 Дж/(моль К); А – константа, л/г; Т – абсолютная температура (К).
На рис. 8 представлены изотермы адсорбции тартразина на образце PET-UiO-66 для различных моделей. Экспериментальные и расчетные параметры для каждой модели изотермы приведены в табл. 2. Анализ данных табл. 2 – сопоставление значений параметра R2 – указывает на то, что уравнение Ленгмюра является более репрезентативным, чем уравнения Темкина и Фрейндлиха. Следовательно, соответствие процесса адсорбции тартразина на материале PET-UiO-66 уравнению Ленгмюра указывает на то, что поверхность этого адсорбента является, в основном, однородной, реализуется монослойная адсорбция адсорбата на поверхности адсорбента и отсутствуют взаимодействия между адсорбированными частицами [43].
Рис. 8. Изотермы адсорбции тартразина на материале PET-UiO-66.
Таблица 2. Параметры изотерм тартразина на образце PET-UiO-66
Модель | Параметры модели | Значения |
Ленгмюра | qm, мг/г | 78.04 |
bl, л/г | 0.011 | |
R2 | 0.998 | |
Фрейндлиха | KF, мг/г | 31.12 |
1/n | 4.34×10–11 | |
R2 | 0.762 | |
Темкина | bT, Дж/моль | 504.0 |
A, л/г | 5.04 | |
R2 | 0.936 |
ЗАКЛЮЧЕНИЕ
В настоящей работе материал UiO-66 с использованием вторичного полиэтилентерефталата в качестве источника органического линкера для построения каркаса получен по оригинальной методике в условиях СВЧ-активации реакционной массы при атмосферном давлении без использования кислот и других агентов, способствующих деполимеризации. В этом случае реализуется ресурсосберегающий высокопроизводительный (при высоких концентрациях реагентов) синтез образца PET-UiO-66 в “зеленом” нетрадиционном растворителе триэтиленгликоле за непродолжительное время (30 мин).
Соответствие образца PET-UiO-66 “классической” структуре UiO-66 подтверждено физико-химическими методами. Материал PET-UiO-66 был впервые исследован в процессе адсорбции пищевого красителя тартразина, токсичного при высоких концентрациях, из водных растворов. Адсорбция на образце PET-UiO-66 соответствует кинетической модели псевдо-второго порядка и термодинамической модели Ленгмюра. Получение адсорбционного материала PET-UiO-66 с использованием вторичного ПЭТ может способствовать решению проблем переработки полимерных отходов в продукты с добавленной стоимостью и удаления стойких органических загрязнителей из воды.
Авторы заявляют, что у них нет конфликта интересов.
БЛАГОДАРНОСТИ
Авторы благодарят Отдел структурных исследований ИОХ РАН за исследование образцов методом электронной микроскопии. Работа выполнена при финансовой поддержке Российского научного фонда (грант 23-73-30007).
About the authors
V. V. Vergun
N. D. Zelinsky Institute of Organic Chemistry of Russian Academy of Sciences
Author for correspondence.
Email: polubrat@mail.ru
Russian Federation, Moscow
M. D. Vedenyapina
N. D. Zelinsky Institute of Organic Chemistry of Russian Academy of Sciences
Email: polubrat@mail.ru
Russian Federation, Moscow
S. A. Kulaishin
N. D. Zelinsky Institute of Organic Chemistry of Russian Academy of Sciences
Email: polubrat@mail.ru
Russian Federation, Moscow
V. V. Chernyshev
A. N. Frumkin Institute of Physical Chemistry and Electrochemistry of the Russian Academy of Sciences; M. V. Lomonosov Moscow State University
Email: polubrat@mail.ru
Russian Federation, Moscow; Moscow
O. P. Tkachenko
N. D. Zelinsky Institute of Organic Chemistry of Russian Academy of Sciences
Email: polubrat@mail.ru
Russian Federation, Moscow
V. D. Nissenbaum
N. D. Zelinsky Institute of Organic Chemistry of Russian Academy of Sciences
Email: polubrat@mail.ru
Russian Federation, Moscow
V. I. Isaeva
N. D. Zelinsky Institute of Organic Chemistry of Russian Academy of Sciences
Email: polubrat@mail.ru
Russian Federation, Moscow
References
- Chaturvedi P., Shukla P., Giri B.S. et al. // Environmental Res. 2021. T. 194. P. 110664.
- Ezzatahmadi N., Marshall D.L., Hou K. et al. // J. Environ. Chem. Eng. 2019. V. 7. P. 102955.
- Tang J., Wang T., Xia H. et al. // Sustainability. 2024. V. 16. P. 2042.
- Ariza-Tarazona M.C., Siligardi C., Carrėon-Loˇpez H.A. et al. // Marin. Pollut. Bull. 2023. V. 193. P. 115206.
- Yang R.X., Bieh Y.T., Chen C.H. et al. // ACS Sustainable Chem. Eng. 2021. V. 9. P. 6541.
- Kartik S., Balsora H.K., Sharma M. et. al. // Therm. Sci. Eng. Progr. 2022. V. 32. P. 101316.
- Ferreira M.M., Silva E.A., Cotting F. et. al. // Corros. Eng. Sci. Technol. 2021. V. 56. P. 199.
- Kaur G., Uisan K., Ong K.L. et. al. // Cur. Opin. in Green and Sust. Chem. 2018. V. 9 P. 30.
- Yang R.X., Bieh Y.T., Chen C.H. et. al. // ACS Sustainable Chem. Eng. 2021. V. 9. P. 6541.
- Rowsell J.L., Yaghi O.M. // Microporous and Mesoporous Mat. 2004. V. 73. P. 3.
- Ghazvini M.F., Vahedi M., Nobar S.N., et al. // J. Environ. Chem. Eng. 2021. V. 9. P. 104790.
- Ihsanullah. I. // Curr. Opin. Environ. Sci. Health. 2022. V. 26. P. 100335.
- Obeso J.L., Flores J.G., Flores C.V. et al. // Chem. Commun. 2023. V. 59. P. 10226.
- Baumann A.E., Burns D.A., Liu B. et al. // Commun Chem. 2019. V. 2. P. 86.
- Mendes R.F., Figueira F., Leite J.P. et al. // Chem. Soc. Rev. 2020. V. 49. P. 9121.
- Isaeva V.I., Vedenyapina M.D., Kurmysheva A.Y. et. al. // Molecules. 2021. V. 26. P. 6628.
- Cavka J., Jakobsen S., Olsbye U. et al. // JASC Com. 2008. V. 140. P. 42.
- Kazemi A., Moghadaskhou F., Pordsari M.A. et al. // Sci Rep. 2023. V. 13. № 19891.
- Ahmadijokani F., Molavi H., Rezakazemi M. et al. // Prog. Mater. Sci. 2022. V. 125. P. 100904.
- Rego R.M., Kurkuri M.D., Kigga M. // Chemosphere. 2022. V. 302. P. 134845.
- Ramanayaka S., Vithanage M., Sarmah A. et al. // RSC Adv. 2019. V. 9. P. 34359.
- Cao Z., Fu X., Li H. et al. // ACS Sustain. Chem. Eng. 2023. V. 11. P. 15506.
- Shanmugam M., Chuaicham C., Augustin A. et al. // New J. Chem. 2022. V. 46. P. 15776.
- Lo S.H., Raja D.S., Chen C.-W. et. al. // Dalton Trans. 2016. V. 45. P. 9565.
- Dyosiba X., Ren J., Musyoka N.M. et al. // Ind. Eng. Chem. Res. 2019. V. 58. P. 17010.
- Semyonov O., Kogolev D., Mamontov G. et al. // Chem. Eng. J. 2022. V. 431. P. 133450.
- Selahle S.K., Nqombolo A., Nomngongo P.N. // Sci Rep. 2023. V. 13. P. 6808.
- Waribam P., Katugampalage T.R., Opaprakasit P. et. al. // Chem. Eng. J. 2023. V. 473. P. 145349.
- Oymak T., Tokalıoglu S., Cam S. et al. // Food Additiv. Contamin. 2020. V. 37. P. 731.
- Singh H., Goyal A., Bhardwaj S. et al. // Mater. Sci. Eng. 2023. V. 288. P. 116165.
- Качала В.В., Хемчян Л.Л., Кашин А.С. и др. // Успехи химии. 2013. Т. 82. С. 648.
- Кашин А.С., Анаников В.П. // Изв. АН Сер. Хим. 2011. Т. 12. С. 2551.
- Tsyganenko A.A., Filimonv V.N. // J. Mol. Struct. 1972. V. 5. P. 477.
- Ivanov A.V., Kustov L.M. // Russ. Chem. Bull. 2000. V. 49. P. 39.
- Köck E.M., Kogler M., Götsch T. et. al. // Dalton Trans. 2017. V. 46. P. 4554.
- Jung K.D., Bell A. // J. Catal. 2000. V. 193. P. 207.
- Ouyang F., Kondo J.N. // JCS Faraday Trans. 1996. V. 92. P. 4491.
- Cheng X., Zhang A., Hou K. et. al. // Dalton Trans. 2013. V. 42. P. 13698.
- Huang J., Yan Z. // Langmuir. 2018. V. 34. P. 1890.
- Lagergren S. // Sakademiens Handl. 1898. V. 24. P. 1.
- Ho Y.S., Mckay G. // Proc. Biochem. 1999. V. 34. P. 451.
- Zeldowitsch J. // Acta Physicochim. 1934. V. 1. P. 364.
- Langmuir I. // Part I. Solids. 1916. V. 184. P. 102.
- Dippong T., Andrea E., Cadar O. et. al. // J. of Alloys and Comp. 2020. V. 849. P. 156695.
- Srivastava V., Sharma Y.C., Sillanpää M. // Applied Surf. Sci. 2015. V. 338. P. 42.
Supplementary files










