Исследование особенностей формирования и электрохимических свойств нанокомпозита Ge-Co на медной подложке
- Авторы: Гаврилин И.М.1, Маринкин И.С.2, Кудряшова Ю.О.1, Ковтушенко Е.В.1, Кулова Т.Л.1, Скундин А.М.1
-
Учреждения:
- Институт физической химии и электрохимии им. А. Н. Фрумкина РАН
- Национальный исследовательский университет “МИЭТ”
- Выпуск: Том 99, № 1 (2025)
- Страницы: 107-113
- Раздел: ФИЗИЧЕСКАЯ ХИМИЯ НАНОКЛАСТЕРОВ, СУПРАМОЛЕКУЛЯРНЫХ СТРУКТУР И НАНОМАТЕРИАЛОВ
- Статья получена: 17.04.2025
- Статья одобрена: 17.04.2025
- Статья опубликована: 17.04.2025
- URL: https://journal-vniispk.ru/0044-4537/article/view/288140
- DOI: https://doi.org/10.31857/S0044453725010107
- EDN: https://elibrary.ru/EIHGZL
- ID: 288140
Цитировать
Аннотация
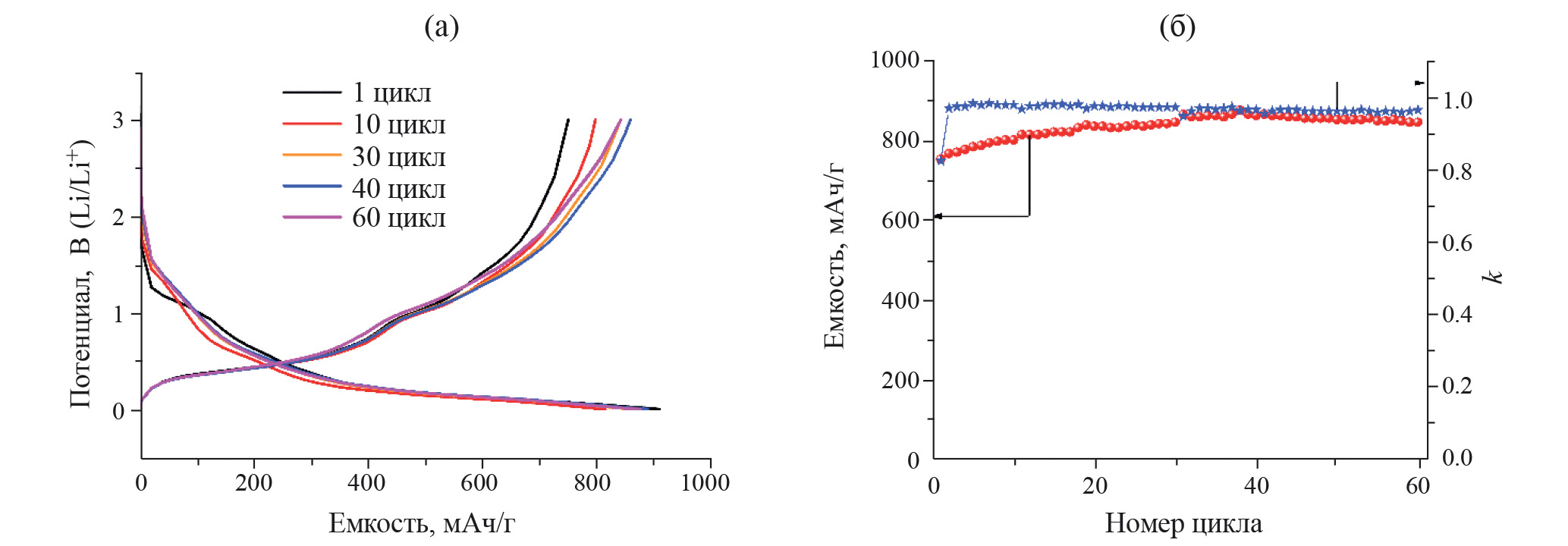
Впервые продемонстрирована возможность электрохимического формирования наноструктур Ge-Co на медной подложке, которые представляют собой глобулы, размер которых достигает 1 мкм, состоящие из более мелких частиц, размер которых не превышает 10 нм. Такие наноструктуры демонстрируют достаточно высокую обратимую емкость около 850 мАч/г и хорошую стабильность при длительном циклировании.
Ключевые слова
Полный текст
Об авторах
И. М. Гаврилин
Институт физической химии и электрохимии им. А. Н. Фрумкина РАН
Автор, ответственный за переписку.
Email: gavrilin.ilya@gmail.com
Россия, Москва, 119071
И. С. Маринкин
Национальный исследовательский университет “МИЭТ”
Email: gavrilin.ilya@gmail.com
Россия, Москва, Зеленоград, 1124498
Ю. О. Кудряшова
Институт физической химии и электрохимии им. А. Н. Фрумкина РАН
Email: gavrilin.ilya@gmail.com
Россия, Москва, 119071
Е. В. Ковтушенко
Институт физической химии и электрохимии им. А. Н. Фрумкина РАН
Email: gavrilin.ilya@gmail.com
Россия, Москва, 119071
Т. Л. Кулова
Институт физической химии и электрохимии им. А. Н. Фрумкина РАН
Email: tkulova@mail.ru
Россия, Москва, 119071
А. М. Скундин
Институт физической химии и электрохимии им. А. Н. Фрумкина РАН
Email: gavrilin.ilya@gmail.com
Россия, Москва, 119071
Список литературы
- Park M., Kim K., Kim J. et al. // Adv. Mater. 2010. V. 22. P. 415.
- Harper G., Sommerville R., Kendrick E. et al. // Nature. 2019. V. 575. P. 75.
- Choi S., Kwon T.W., Coskun A. et al. // Science. 2017. V. 357. P. 279.
- Graetz J., Ahn C.C., Yazami R. et al. // J. Electrochem. Soc. 2004. V. 151. P. A698.
- Chou C.-Y., Hwang G.S. // J. Power Sources. 2014. V. 263. P. 252.
- Hao J., Wang Y., Guo Q. // Part. Part. Syst. Charact. 2019. V. 36. Article # 1900248.
- Wu S., Han C., Iocozzia J. et al. // Angew. Chem. Int. Ed. 2016. V. 55. P. 7898.
- Liu Y., Zhang S., Zhu T. // Chem. Electro. Chem. 2014. V. 1. P. 706.
- Kim D.-H., Park C.M. // Mater. Today Energy. 2020. V. 18. Article # 100530.
- Jing Y.-Q., Qu J., Jia X.-Q. et al. // Chem. Eng. J. 2021. V. 408. Article # 127266.
- Zhao W., Chen J., Lei Y. et al. // J. Alloys Compd. 2020. V. 815. Article # 152281.
- Gavrilin I.M., Kudryashova Yu.O., Kuz’mina A.A. et al. // J. Electroanal. Chem. 2021. V. 888. Article # 115209.
- Kulova T.L., Skundin A.M., Gavrilin I.M. et al. // Batteries. 2022. V. 8. P. 98.
- Gavrilov S.A., Gavrilin I.M., Martynova I.K. et al. // 2023. Ibid. V. 9. P. 445.
- Gavrilin I., Martynova I., Petukhov I. et al. // J. Solid State Electrochem. 2023. V. 28. P. 1521.
- Lee S.M., Ikeda S., Otsuka Y. et al. // Electrochim. Acta. 2012. V. 79. P. 189.
- Chung Y., Lee C.-W. // J. Electrochem. Sci. Technol. 2013. V. 4. P. 93.
- Huang Q., Reuter K., Amhed S. et al. // J. Electrochem. Soc. 2011. V. 158. P. D57.
- Valderrama R.C., Miranda-Hern´andez M., Sebastian P.J. et al. // Electrochim. Acta. 2008. V. 53. P. 3714.
- Liang X., Kim Y.-G., Gebergziabiher D.K. et al. // Langmuir. 2010. V. 26. P. 2877.
- Bahmani E., Zakeri A., Aghdam A.S.R. // J. Mater. Sci. 2021. V. 56. P. 6427.
- Zhao F., Xu Y., Mibus M. et al. // J. Electrochem. Soc. 2017. V. 164. P. D354.
- Nzereogu P.U., Omah A.D., Ezema F.I. et al. // Appl. Surf. Sci. Adv. 2022. V. 9. Article # 100233.
Дополнительные файлы








