Исследование электрохимического поведения гладкого золотого электрода в растворе мостикового 1,2,4-триоксалана в ацетонитриле
- Авторы: Поляков М.В.1, Веденяпина М.Д.1, Скундин А.М.2, Яременко И.А.1, Радулов П.С.1
-
Учреждения:
- ФГБУН Институт органической химии им. Н. Д. Зелинского РАН
- ФГБУН Институт физической химии и электрохимии им. А. Н. Фрумкина РАН
- Выпуск: Том 99, № 1 (2025)
- Страницы: 153-160
- Раздел: ЭЛЕКТРОХИМИЯ. ГЕНЕРАЦИЯ И АККУМУЛИРОВАНИЕ ЭНЕРГИИ ИЗ ВОЗОБНОВЛЯЕМЫХ ИСТОЧНИКОВ
- Статья получена: 17.04.2025
- Статья одобрена: 17.04.2025
- Статья опубликована: 17.04.2025
- URL: https://journal-vniispk.ru/0044-4537/article/view/288161
- DOI: https://doi.org/10.31857/S0044453725010157
- EDN: https://elibrary.ru/EHQXIQ
- ID: 288161
Цитировать
Аннотация
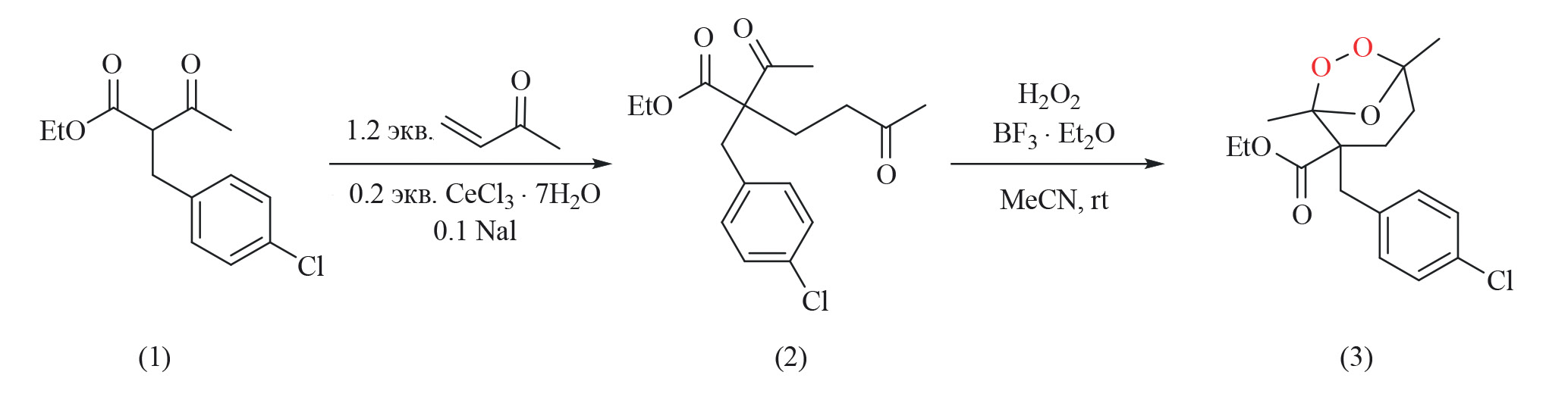
Поведение гладкого золотого электрода в среде мостикового 1,2,4-триоксалана в ацетонитриле было изучено при помощи методов циклической вольтамперометрии и гравиметрии. Было установлено, что при протекании катодного процесса, на поверхности электрода происходит восстановление пероксидной связи в молекуле мостикового 1,2,4-триоксалана с последующим образованием дикетонового фрагмента. При анодном окислении было обнаружено образование коллоидных частиц золота.
Ключевые слова
Полный текст
Об авторах
М. В. Поляков
ФГБУН Институт органической химии им. Н. Д. Зелинского РАН
Автор, ответственный за переписку.
Email: SatPolyak@yandex.ru
Россия, Москва
М. Д. Веденяпина
ФГБУН Институт органической химии им. Н. Д. Зелинского РАН
Email: SatPolyak@yandex.ru
Россия, Москва
А. М. Скундин
ФГБУН Институт физической химии и электрохимии им. А. Н. Фрумкина РАН
Email: SatPolyak@yandex.ru
Россия, Москва
И. А. Яременко
ФГБУН Институт органической химии им. Н. Д. Зелинского РАН
Email: SatPolyak@yandex.ru
Россия, Москва
П. С. Радулов
ФГБУН Институт органической химии им. Н. Д. Зелинского РАН
Email: SatPolyak@yandex.ru
Россия, Москва
Список литературы
- Ann Casteel D. // Nat. Prod. Rep. 1999. V. 16. № 1. P. 55. https://doi.org/10.1039/A705725C
- Phillipson D.W., Rinehart K.L. Jr. // J. Am. Chem. Soc. 1983. V. 105. № 26. P. 7735–7736. https://doi.org/10.1039/A705725C
- Yaremenko I.A., Radulov P.S., Belyakova Y.Y. et al. // Chem. Europ. J. 2020. V. 26. № 21. P. 4734. https://doi.org/10.1002/chem.201904555
- Yaremenko I.A., Syromyatnikov M.Y., Radulov P.S. et al. // Molecules. 2020. V. 25. № 8. P. 1954. https://doi.org/10.3390/molecules25081954
- Panic G., Duthaler U., Speich B., Keiser J. // Int. J. Parasitol. Drugs Drug. Resist. 2014. V. 4. № 3. P. 185. https://doi.org/10.1016/j.ijpddr.2014.07.002
- Vil’ V.A., Yaremenko I.A., Ilovaisky A.I., Terent’ev A.O. // Synthesis and Reactions. Molecules. 2017. V. 22. № 11. P. 1881. https://doi.org/10.3390/molecules22111881
- Kiuchi F., Itano Y., Uchiyama N. et al. // J. Am. Pharm. Assoc. 2002. V. 65. № 4. P. 509. https://doi.org/10.1021/np010445g
- Wenzel D.G., Smith C.M. // J. Am. Pharm. Assoc. Am. Pharm. Assoc. 1958. V. 47. № 11. P. 792. https://doi.org/10.1002/jps.3030471109
- Herrmann L., Yaremenko I.A., Çapcı A. et al. // Chem. Med. Chem. 2022. V. 17. № 9. https://doi.org/10.1002/cmdc.202200005
- Coghi P., Yaremenko I.A., Prommana P. et al. // Ibid. 2022. V. 17. № 20. https://doi.org/10.1002/cmdc.202200328
- Slade D., Galal A.M., Gul W. et al. // Bioorg. Med. Chem. 2009. V. 17. № 23. P. 7949. https://doi.org/10.1016/j.bmc.2009.10.019
- Yaremenko I.A., Coghi P., Prommana P. et al. // Chem. Med. Chem 2020. V. 15. № 13. P. 1118–1127. https://doi.org/10.1002/cmdc.202000042
- Yaremenko I.A., Syroeshkin M.A., Levitsky D. et al. // Med. Chem. Res. 2017. V. 26. № 1. P. 170. https://doi.org/10.1007/s00044-016-1736-2
- Tiwari M.K., Chaudhary S. // Med. Res. Rev. 2020. V. 40. № 4. P. 1220. https://doi.org/10.1002/med.21657
- Uddin A., Chawla M., Irfan I. et al. // RSC Med. Chem. 2020. V. 12. № 1. P. 24. https://doi.org/10.1039/d0md00244e
- Woodley C.M., Amado P.S.M., Cristiano M.L.S., O’Neill P.M. // Med. Res. Rev. 2021. V. 41. № 6. P. 3062. https://doi.org/10.1002/med.21849
- Otoguro K., Iwatsuki M., Ishiyama A. et al. //Phytochem. 2011. V. 72. № 16. P. 2024. https://doi.org/10.1016/j.phytochem.2011.07.015
- Perry T.L., Dickerson A., Khan A.A. et al. // Tetrahedron. 2001. V. 57. № 8. P. 1483. https://doi.org/10.1016/S0040-4020(00)01134-0
- Kumar M., Gehlot P.S., Parihar D. et al. // Eur. Pol. J. 2021. V. 152. https://doi.org/10.1016/j.eurpolymj.2021.110448
- Lee M., Minoura Y. // J. Chem. Soc., Faraday Trans. 1978. V. 74. № 0. P. 1726. https://doi.org/10.1039/f19787401726
- Przybysz-Romatowska M., Haponiuk J., Formela K. // Polymers. 2020. V. 12. № 1. https://doi.org/10.3390/polym12010228
- Радулов П.С., Белякова Ю.Ю., Демина А.А. и др. // Изв. АН. Сер. Хим. 2019. Т. 68. № 6. С. 1289–1292. (Radulov P.S., Belyakova Y.Y., Demina A.A. et al. // Russ. Chem. Bull. 2019. V. 68. № 6. P. 1289. https://doi.org/10.1007/s11172-019-2555-7)
- Matsumoto A., Maruoka K. // Bull. Chem. Soc. Jpn. 2020. V. 94. № 2. P. 513. https://doi.org/10.1246/bcsj.20200321
- Gemki M., Taspinar Ö., Adler A. et al. // Org. Proc. Res. Dev. 2021. V. 25. № 12. P. 2747. https://doi.org/10.1021/acs.oprd.1c00364
- Zdvizhkov A., Terent’ev A., Radulov P. et al. // Tetrahedron Lett. 2016. V. 57. № 8. https://doi.org/10.1016/j.tetlet.2016.01.061
- Rountree E.S., McCarthy B.D., Eisenhart T.T., Dempsey J.L. // Inorg. Chem. 2014. V. 53. № 19. P. 9983.
- Savéant J.-M. // Advances in Physical organic chemistry. 2000. V. 35. P. 117. https://doi.org/10.1016/s0065-3160(00)35013-4
- Magri D.C., Workentin M.S. // Org. Biomol. Chem. 2008. V. 6. № 18. P. 3354. https://doi.org//10.1039/b809356c
- Yaremenko I.A., Coghi P., Prommana P. et al. // Chem. Med. Chem. 2020. V. 15. № 13. P. 1118. https://doi.org//10.1002/cmdc.202000042
- Magri D.C., Workentin M.S. // Molecules. 2014. V. 19. № 8. P. 11999. https://doi.org//10.3390/molecules190811999
- Magri D.C., Workentin M.S. // Chemistry. 2008. V. 14. № 6. P. 1698. https://doi.org//10.1002/chem.200701740
- Веденяпина М.Д., Симакова А.П., Платонов М.М. и др. // Журн. физ. химии. 2013. Т. 87. № 3. С. 418. (Vedenyapina M.D., Simakova A.P., Platonov M.M. et al. // Russ. J. Phys. Chem. https://doi.org//10.1134/S0036024413030333)
- Magri D.C., Donkers R.L., Workentin M.S. // J. Photochem. Photobiol., A. 2001. V. 138. № 1. P. 29. https://doi.org//10.1016/S1010-6030(00)00386-5
- Stringle D.L., Magri D.C., Workentin M.S. // Chemistry. 2010. V. 16. № 1. P. 178. https://doi.org//10.1002/chem.200902023
- Веденяпина М.Д., Скундин А.М., Виль В.А. и др. // Журн. физ. химии. 2020. Т. 94. № 4. С. 624–628. (Vedenyapina M.D., Skundin A.M., Vil’ V.A. et al. // Russ. J. Phys. Chem. https://doi.org//10.1134/S0036024420040238)
- Веденяпина М.Д., Скундин А.М., Виль В.А. и др. // Журн. физ. химии. 2021. Т. 95. № 1. С. 147–151. (Vedenyapina M.D., Skundin A.M., Vil’ V.A. et al. // Russ. J. Phys. Chem. https://doi.org//10.1134/S0036024421010313)
- Веденяпина М.Д., Виль В.А., Терентьев А.О., Веденяпин А.А. // Изв. АН. Сер. Хим. 2017. Т. 66. № 11. С. 2044–2047. (Vedenyapina M.D., Vil’ V.A., Terent’ev A.O., Vedenyapin A.A. // Russ. Chem. Bull. 2017. V. 66. № 11. С. 2044.)
- Поляков М.В., Веденяпина М.Д., Скундин А.М. и др. // Журн. физ. химии. 2023. Т. 97. № 7. C. 972. https://doi.org//10.31857/S0044453723070221 (Polyakov M.V., Vedenyapina M.D., Skundin A.M. et al. // Russ. J. Phys. Chem. V. 97. P. 1438. https://doi.org//10.1134/S0036024423070221)
- Batchelor-McAuley C., Compton R.G. // J. Electroan. Chem. 2012. V. 669. P. 73. https://doi.org//10.1016/j.jelechem.2012.01.016
- Salah N., Lanez T. // Int. Lett. Chem. Phys. Astron. 2013. V. 4. P. 37.
- Поляков М.В., Веденяпина М.Д., Скундин А.М. и др. // Изв. АН. Сер. хим. 2024. Т. 74. № 4. С. 863.
Дополнительные файлы











