Гидротермальный синтез и фотокаталитические свойства оксида вольфрама, допированного кобальтом
- Авторы: Захарова Г.С.1, Подвальная Н.В.1, Горбунова Т.И.2, Первова М.Г.2
-
Учреждения:
- Институт химии твердого тела УрО РАН
- Институт органического синтеза им. И.Я. Постовского УрО РАН
- Выпуск: Том 68, № 4 (2023)
- Страницы: 435-443
- Раздел: СИНТЕЗ И СВОЙСТВА НЕОРГАНИЧЕСКИХ СОЕДИНЕНИЙ
- URL: https://journal-vniispk.ru/0044-457X/article/view/136316
- DOI: https://doi.org/10.31857/S0044457X22602127
- EDN: https://elibrary.ru/FMYUIV
- ID: 136316
Цитировать
Полный текст
Аннотация
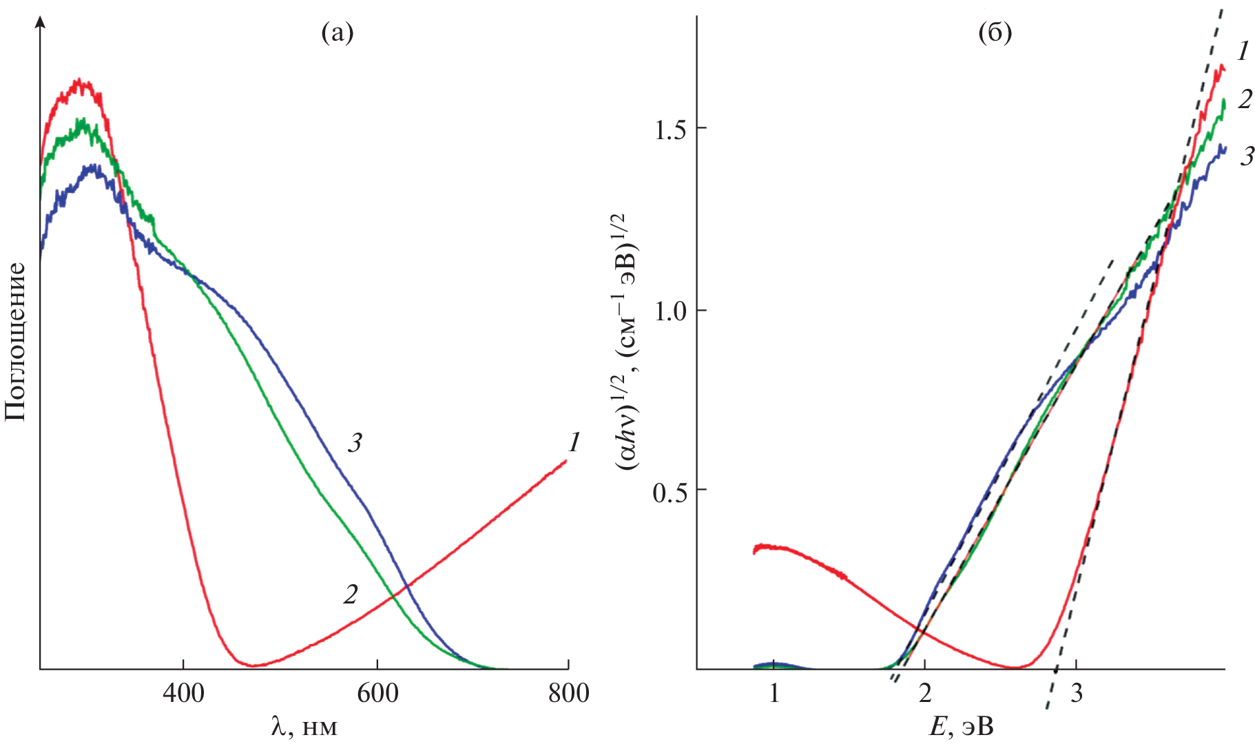
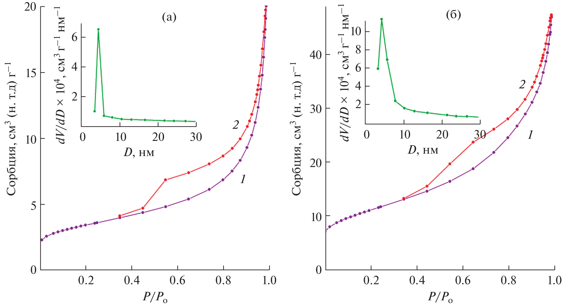
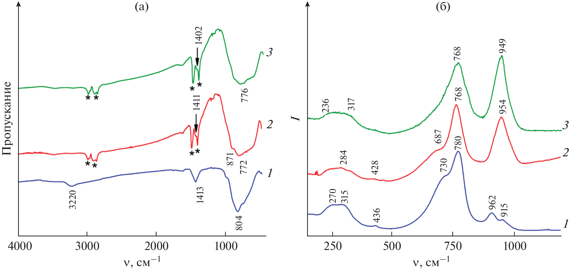
Гидротермальным методом синтеза получен твердый раствор внедрения на основе триоксида вольфрама гексагональной сингонии общей формулы CoxWO3, где 0.01 ≤ x ≤ 0.09. Установлено, что область гомогенности по иону-допанту зависит от рН рабочего раствора. Установлено, что при рН 2.3 образуются твердые растворы внедрения с максимальным содержанием Co2+. Наибольшей удельной поверхностью, равной 38.6 м2/г, обладает CoxWO3 с морфологией, подобной нитям диаметром ~40 нм, полученный при рН 2.3. Показано, что ключевым параметром, определяющим стабильность кристаллической структуры CoxWO3, является наличие ионов аммония в гексагональных каналах кристаллической решетки. Использование синтезированных образцов в качестве фотокатализаторов окисления 1,2,4-трихлорбензола под действием УФ-облучения характеризуется высокой конверсией хлорарена и низкой селективностью с образованием широкого круга органических соединений, в том числе безхлорных.
Ключевые слова
Об авторах
Г. С. Захарова
Институт химии твердого тела УрО РАН
Email: volkov@ihim.uran.ru
Россия, 620990, Екатеринбург, ул. Первомайская, 91
Н. В. Подвальная
Институт химии твердого тела УрО РАН
Email: volkov@ihim.uran.ru
Россия, 620990, Екатеринбург, ул. Первомайская, 91
Т. И. Горбунова
Институт органического синтеза им. И.Я. Постовского УрО РАН
Email: volkov@ihim.uran.ru
Россия, 620108, Екатеринбург, ул. С. Ковалевской, 22
М. Г. Первова
Институт органического синтеза им. И.Я. Постовского УрО РАН
Автор, ответственный за переписку.
Email: volkov@ihim.uran.ru
Россия, 620108, Екатеринбург, ул. С. Ковалевской, 22
Список литературы
- Zheng H., Ou J.Z., Strano M.S. et al. // Adv. Funct. Mater. 2011. V. 21. № 12. P. 2175. https://doi.org/10.1002/adfm.201002477
- Huang Z.-F., Song J., Pan L. et al. // Adv. Mater. 2015. V. 27. № 36. P. 5309. https://doi.org/10.1002/adma.201501217
- Бушкова Т.М., Егорова А.А., Хорошилов А.В. и др. // Журн. неорган. химии. 2021. Т. 66. № 4. С. 470.
- Bently J., Desai S., Bastakoti B.P. // Chem. Eur. J. 2021. V. 27. № 36. P. 9241. https://doi.org/10.1002/chem.202100649
- Lei G., Lou C., Liu X. et al. // Sens. Actuators B. Chem. 2021. V. 341. № 15. P. 129996. https://doi.org/10.1016/j.snb.2021.129996
- Purushothaman K.K., Muralidharan G., Vijayakumar S. // Mater. Lett. 2021. V. 296. 129881. https://doi.org/10.1016/j.matlet.2021.129881
- Zheng F., Xi C., Xu J. et al. // J. Alloys Compd. 2019. V. 772. P. 933. https://doi.org/10.1016/j.jallcom.2018.09.085
- Филиппова А.Д., Румянцев А.А., Баранчиков А.Е. и др. // Журн. неорган. химии. 2022. Т. 67. № 6. С. 706.
- Murillo-Sierra J.C., Hernández-Ramírez A., Hinojosa-Reyes L. et al. // Chem. Eng. J. Adv. 2021. V. 5. 100070. https://doi.org/10.1016/j.ceja.2020.100070
- Dong P., Hou G., Xi X. et al. // Environ. Sci.: Nano. 2017. V. 4. № 3. P. 539. https://doi.org/10.1039/c6en00478d
- Dutta V., Sharma S., Raizada P. et al. // J. Environ. Chem. Eng. 2021. V. 9. № 1. 105018. https://doi.org/10.1016/j.jece.2020.105018
- Razali N.A.M., Salleh W.N.W., Aziz F. et al. // J. Clean. Prod. 2021. V. 309. 127438. https://doi.org/10.1016/j.jclepro.2021.127438
- Khaki M.R.D., Shafeeyan M.S., Raman A.A.A. et al. // J. Environ. Manag. 2017. V. 198. № 2. P. 78. https://doi.org/10.1016/j.jenvman.2017.04.099
- Jacob K.A., Peter P.M., Jose P.E. et al. // Mater. Today: Proc. 2022. V. 49. № 2. 1408. https://doi.org/10.1016/j.matpr.2021.07.104
- Song H., Li Y., Lou Z. et al. // Appl. Catal. B: Environ. 2015. V. 166–167. № 5. P. 112. https://doi.org/10.1016/j.apcatb.2014.11.020
- Solarska R., Alexander B.D., Braun A. et al. // Electrochim. Acta. 2010. V. 55. № 26. P. 7780. https://doi.org/10.1016/j.electacta.2009.12.016
- Shannow R.D. // Acta Crystallogr. A. 1976. V. 32. № 5. P. 751. https://doi.org/10.1107/S0567739476001551
- Mehmood F., Iqbal J., Jan T. et al. // Vib. Spectr. 2017. V. 93. P. 78. https://doi.org/10.1016/j.vibspec.2017.09.005
- Sun S., Chang X., Li Z. // Mater. Charact. 2012. V. 73. P. 130. https://doi.org/10.1016/j.matchar.2012.08.005
- Sivakarthik P., Thangaraj V., Parthibavarman M. // J. Mater. Sc.: Mater. Electron. 2017. V. 28. № 8. P. 5990. https://doi.org/10.1007/s10854-016-6274-7
- Liu Z., Liu B., Xie W. et al. // Sens. Actuators B Chem. 2016. V. 235. P. 614. https://doi.org/10.1016/j.snb.2016.05.140
- Shen K., Sheng K., Wang Z. et al. // Appl. Surf. Sci. 2020. V. 501. P. 144003. https://doi.org/10.1016/j.apsusc.2019.144003
- Lim J.-C., Jin C., Choi M.S. et al. // Ceram. Int. 2021. V. 47. № 15. P. 20956. https://doi.org/10.1016/j.ceramint.2021.04.095
- Hariharan V., Aroulmoji V., Prabakaran K. et al. // J. Alloys Compd. 2016. V. 689. P. 41. https://doi.org/10.1016/j.jallcom.2016.07.136
- Kumar R.D., Karuppuchamy S. // J. Alloys Compd. 2016. V. 674. P. 384. https://doi.org/10.1016/j.jallcom.2016.03.074
- Dalenjan F.A., Bagheri-Mohagheghi M.M., Shirpay A. // J. Solid State Electrochem. 2022. V. 22. № 2. P. 401. https://doi.org/10.1007/s10008-021-05076-9
- Jia Q., Ji H., Gao P. et al. // J. Mater. Sci.: Mater. Electron. 2015. V. 26. № 8. P. 5792. https://doi.org/10.1007/s10854-015-3138-5
- Sing K.S.W., Everett D.H., Haul R.A.W. et al. // Pure Appl. Chem. 1985. V. 57. № 4. P. 603. https://doi.org/10.1351/pac198557040603
- Moura J.V.B., Silveira J.V., da Silva Filho J.G. et al. // Vib. Spectrosc. 2018. V. 98. P. 98. https://doi.org/10.1016/j.vibspec.2018.07.008
- Szilágyi I.M., Wang L., Gouma P.-I. et al. // Mater. Res. Bull. 2009. V. 44. № 3. P. 505. https://doi.org/10.1016/j.materresbull.2008.08.003
- Szilágyi I.M., Madarász J., Pokol G. et al. // Chem. Mater. 2008. V. 20. № 12. P. 4116. https://doi.org/10.1021/cm800668x
- Mohamed M.M., Salama T.M., Hegazy M.A. et al. // Int. J. Hydrogen Energy. 2019. V. 44. № 10. P. 4724. https://doi.org/10.1016/j.ijhydene.2018.12.218
- ThOny A., Rossi M.J. // J. Photochem. Photobiol. A. 1997. V. 104. № 1–3. P. 25.
- van Wijk D., Cohet E., Gard A. et al. // Chemosphere. 2006. V. 62. № 8. P. 1294. https://doi.org/10.1016/j.chemosphere.2005.07.010
- Zolezzi M., Cattaneo C., Tarazona J.V. // Environ. Sci. Technol. 2005. V. 39. № 9. P. 2920. https://doi.org/10.1021/es049214x
- Horikoshi S., Minami D., Ito S. et al. // J. Photochem. Photobiol. A. 2011. V. 217. № 1. P. 141. https://doi.org/10.1016/j.jphotochem.2010.10.001
- Dong W.H., Zhang P., Lin X.Y. et al. // Sci. Total Environ. 2015. V. 505. P. 216. https://doi.org/10.1016/j.scitotenv.2014.10.002
Дополнительные файлы









