Simulation of Spin Selectivity of Electrical Conductivity of Chiral Platinum Nanotubes
- Authors: D’yachkov P.N.1, Lomakin N.A.1
-
Affiliations:
- Kurnakov Institute of General and Inorganic Chemistry, Russian Academy of Sciences
- Issue: Vol 68, No 4 (2023)
- Pages: 492-498
- Section: ТЕОРЕТИЧЕСКАЯ НЕОРГАНИЧЕСКАЯ ХИМИЯ
- URL: https://journal-vniispk.ru/0044-457X/article/view/136324
- DOI: https://doi.org/10.31857/S0044457X2260181X
- EDN: https://elibrary.ru/FLOVWL
- ID: 136324
Cite item
Full Text
Abstract
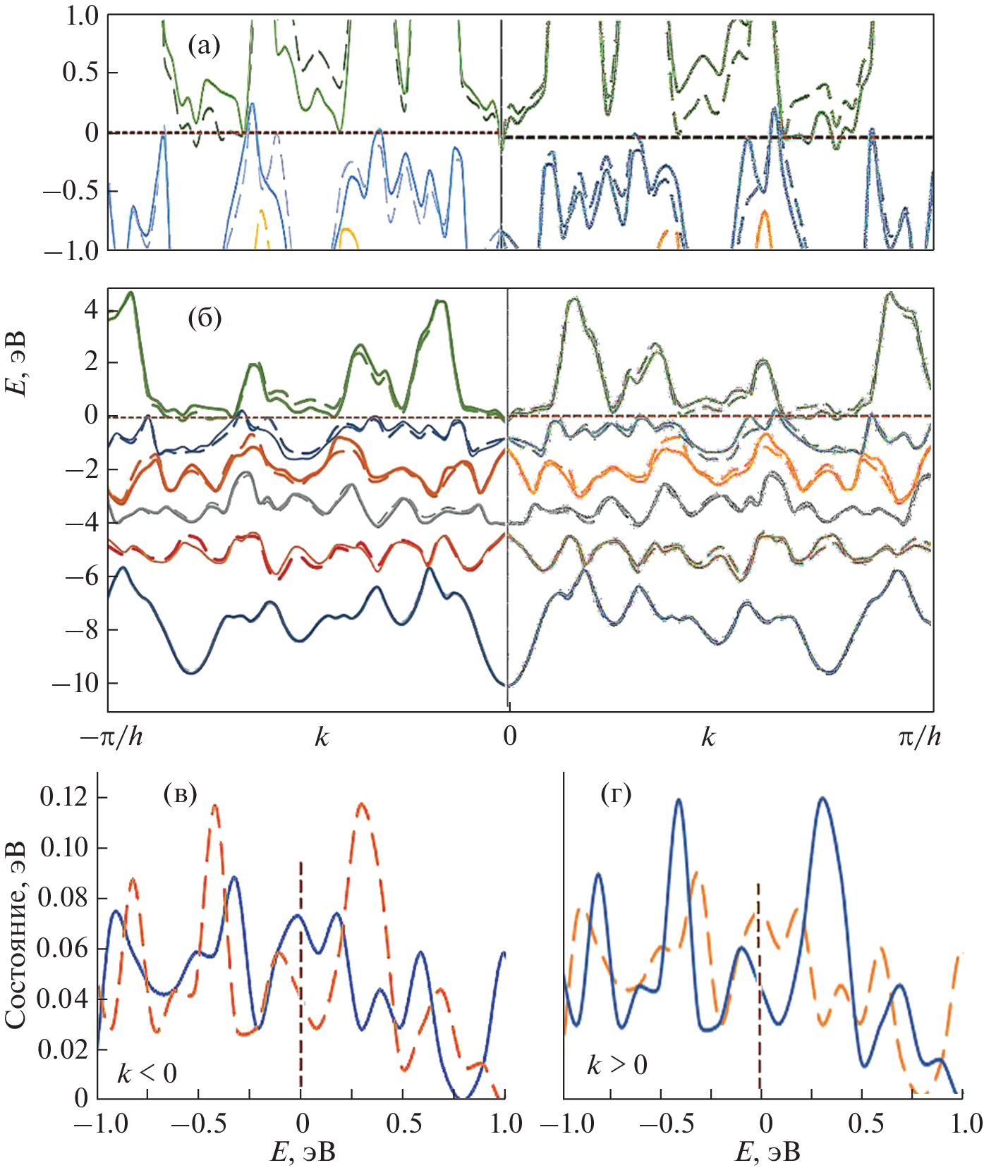
To study the electronic and spin properties of single-walled platinum nanotubes, two rows of chiral nanotubes have been calculated by the relativistic method of symmetrized linearized augmented cylindrical waves: Pt(5, n2) with 1 ≤ n2 ≤ 4 and Pt(10, n2) with 1 ≤ n2 ≤ 9 and radii from 2.24 to 7.78 Å. In all tubes, the intersection of the top of the valence band and the bottom of the conduction band with the Fermi level is observed, which is characteristic of compounds with a semi-metallic band structure. The spin–orbit coupling manifests itself as a splitting of nonrelativistic dispersion curves, which can exceed 0.5 eV for near-Fermi bands and decreases upon transition to the internal states of the valence band and nanotubes of larger diameter. The spin densities of states for electrons with spin up and down at the Fermi level are noticeably different, which can be used to create pure spin currents through nanotubes using alternating electrical voltage. The (5, 3) and (10, 7) nanotubes are the most suitable for this.
About the authors
P. N. D’yachkov
Kurnakov Institute of General and Inorganic Chemistry, Russian Academy of Sciences
Email: p_dyachkov@rambler.ru
119991, Moscow, Russia
N. A. Lomakin
Kurnakov Institute of General and Inorganic Chemistry, Russian Academy of Sciences
Author for correspondence.
Email: p_dyachkov@rambler.ru
119991, Moscow, Russia
References
- Oshima Y., Koizumi H., Mouri K. et al. // Phys. Rev. B. 2002. V. 65. P. 121401(R). https://doi.org/10.1103/PhysRevB.65.121401
- Oshima Y., Onga A., Takayanagi K. // Phys. Rev. Lett. 2003. V. 91. P. 205503. https://doi.org/10.1103/PhysRevLett.91.205503
- Huang Z., Raciti D., Yu S. et al. // J. Am. Chem. Soc. 2016. V. 138. P. 6332. https://doi.org/10.1021/jacs.6b01328
- Bi Y., Lu G. // Electrochem. Commun. 2009. V. 11. P. 45. https://doi.org/10.1016/j.elecom.2008.10.023
- Lou X.W., Archer L.A., Yang Z. // Adv. Mater. 2008. V. 20. P. 3987. https://doi.org/10.1002/adma.200800854
- Zhang G., Sun S., Cai M. et al. // Scient. Rep. 2013. V. 3. P. 1526. https://doi.org/10.1038/srep01526
- Hendren W.R., Murphy A., Evans P. et al. // J. Phys.: Condens. Matter. 2008. V. 20. P. 362203. https://doi.org/10.1088/0953-8984/20/36/362203
- Oshima Y., Mouri K., Hirayama H. et al. // J. Phys. Soc. Jpn. 2006. V. 75. P. 053705. https://doi.org/10.1143/jpsj.75.053705
- Del Valle M., Tejedor C., Cuniberti G. // Phys. Rev. B. 2006. V. 74. P. 045408. https://doi.org/10.1103/PhysRevB.74.045408
- Rajalaa T., Kronberga R., Backhouse R. // Appl. Catal. B: Environ. 2020. V. 265. P. 118582. https://doi.org/10.1016/j.apcatb.2019.118582
- Ono T., Hirose K. // Phys. Rev. Lett. 2005. V. 94. P. 206806. https://doi.org/10.1103/PhysRevLett.94.206806
- Zhang K., Zhang H. // J. Phys. Chem. C. 2014. V. 118. P. 635. https://doi.org/10.1021/jp410056u
- Shimada T., Ishii Y., Kitamura T. // Phys. Rev. B. 2011. V. 84. P. 165452. https://doi.org/10.1103/PhysRevB.84.165452
- Manrique D.Zs., Cserti J., Lambert C.J. // Phys. Rev. B. 2010. V. 81. P. 073103. https://doi.org/10.1103/PhysRevB.81.073103
- Andersen O.K. // Phys. Rev. B. 1970. V. 2. P. 883. https://doi.org/10.1103/PhysRevB.2.883
- Bordoloit A.K., Auluck S. // J. Phys. F: Met. Phys. 1983. V. 13. P. 2101. https://https://doi.org/10.1088/0305-4608/13/10/019
- Wern H., Courths R., Leschik G. et al. // Z. Phys. B: Condens. Matter. 1985. V. 60. P. 293. https://doi.org/10.1007/BF01304449
- Herrera-Suárez H.J., Rubio-Ponce A., Olguín D. // Revista Mexicana de Física. 2012. V. 58. P. 46. https://doi.org/10.48550/arXiv.1311.5929
- Matanović I., Kent P.R.C., Garzon F.H. et al. // J. Electrochem. Soc. 2013. V. 160. P. F548. https://doi.org/10.1149/2.047306jes
- Xiao L., Wang L. // Chem. Phys. Lett. 2006. V. 430. P. 319. https://doi.org/10.1016/j.cplett.2006.09.032
- Hui L., Pederiva F., Guanghou W. et al. // Chem. Phys. Lett. 2003. V. 381. P. 94. https://doi.org/10.1016/j.cplett.2003.08.110
- Konar S., Gupta B.C. // Phys. Rev. B. 2008. V. 78. P. 235414. https://doi.org/10.1103/PhysRevB.78.235414
- Дьячков П.Н., Дьячков Е.П. // Журн. неорган. химии. 2020. Т. 65. № 8. С. 1073. https://doi.org/10.31857/S0044457X20070077
- Krasnov D.O., Khoroshavin L.O., D’yachkov P.N. // Russ. J. Inorg. Chem. 2019. V. 64. P. 108. https://doi.org/10.1134/S0036023619010145
- D’yachkov E.P., D’yachkov P.N. // J. Phys. Chem. C. 2019. V. 123. P. 26005. https://doi.org/10.1021/acs.jpcc.9b07610
- D'yachkov P.N., Krasnov D.O. // Chem. Phys. Lett. 2019. V. 720. P. 15. https://doi.org/10.1016/j.cplett.2019.02.006
- Ando T. // J. Phys. Soc. Jpn. 2000. V. 69. P. 1757. https://doi.org/10.1143/JPSJ.74.777
- Minot E.D., Yaish Y., Sazonova V. et al. // Nature. 2004. V. 428. P. 536. https://doi.org/10.1038/nature02425
- Kuemmeth F., Ilani S., Ralph D.C. et al. // Nature. 2008. V. 452. P. 448. https://doi.org/10.1038/nature06822
- Дьячков П.Н. // Журн. неорган. химии. 2022. Т. 67. № 10. С. 1441. https://doi.org/10.31857/S0044457X22100385
- D’yachkov P.N. Quantum Chemistry of Nanotubes: Electronic Cylindrical Waves; CRC Press. London: Taylor and Francis, 2019. 212 p.
- D’yachkov P.N., Makaev. D.V. // Int. J. Quantum Chem. 2016. V. 116. P. 316. https://doi.org/10.1002/qua.25030
- Banerjee-Ghosh K., Dor O.B., Tassinari F. et al. // Science. 2018. V. 360. P. 1331. https://doi.org/10.1126/science.aar4265
- Naaman R., Waldeck D.H. // Annu. Rev. Phys. Chem. 2015. V. 66. P. 263. https://doi.org/10.1146/annurev-physchem-040214-121554
- Gutierrez R., D́ıaz E., Gaul C. et al. // J. Phys. Chem. C. 2013. V. 117. P. 22276. https://doi.org/10.1021/jp401705x
- Yang S.H. // Appl. Phys. Lett. 2021. V. 16. P. 120502. https://doi.org/10.1063/5.0039147
- Yang S.H., Naaman R., Paltiel Y. et al. // Nat. Rev. Phys. 2021. V. 3. P. 328. https://doi.org/10.1038/s42254-021-00302-9
- Michaeli K., Kantor-Uriel N., Naamanm R. et al. // Chem. Soc. Rev. 2016. V. 45. P. 6478. https://doi.org/10.1039/C6CS00369A
- Bercioux D., Lucignano P. // Rep. Prog. Phys. V. 78. P. 106001. https://doi.org/10.1088/0034-4885/78/10/106001
- Manchon A., Koo H.C., Nitta J. et al. // Nat. Mater. 2015. V. 14. P. 871. https://doi.org/10.1038/nmat4360
Supplementary files





