Preparation of MgAl2O4 Spinel Activated with Manganese Ions by Self-Propagating High-Temperature Synthesis
- Authors: Tomilin O.B.1, Muryumin E.E.1, Fadin M.V.1
-
Affiliations:
- National Research Mordovia State University
- Issue: Vol 68, No 3 (2023)
- Pages: 310-317
- Section: СИНТЕЗ И СВОЙСТВА НЕОРГАНИЧЕСКИХ СОЕДИНЕНИЙ
- URL: https://journal-vniispk.ru/0044-457X/article/view/136326
- DOI: https://doi.org/10.31857/S0044457X22601742
- EDN: https://elibrary.ru/JEDFZC
- ID: 136326
Cite item
Full Text
Abstract
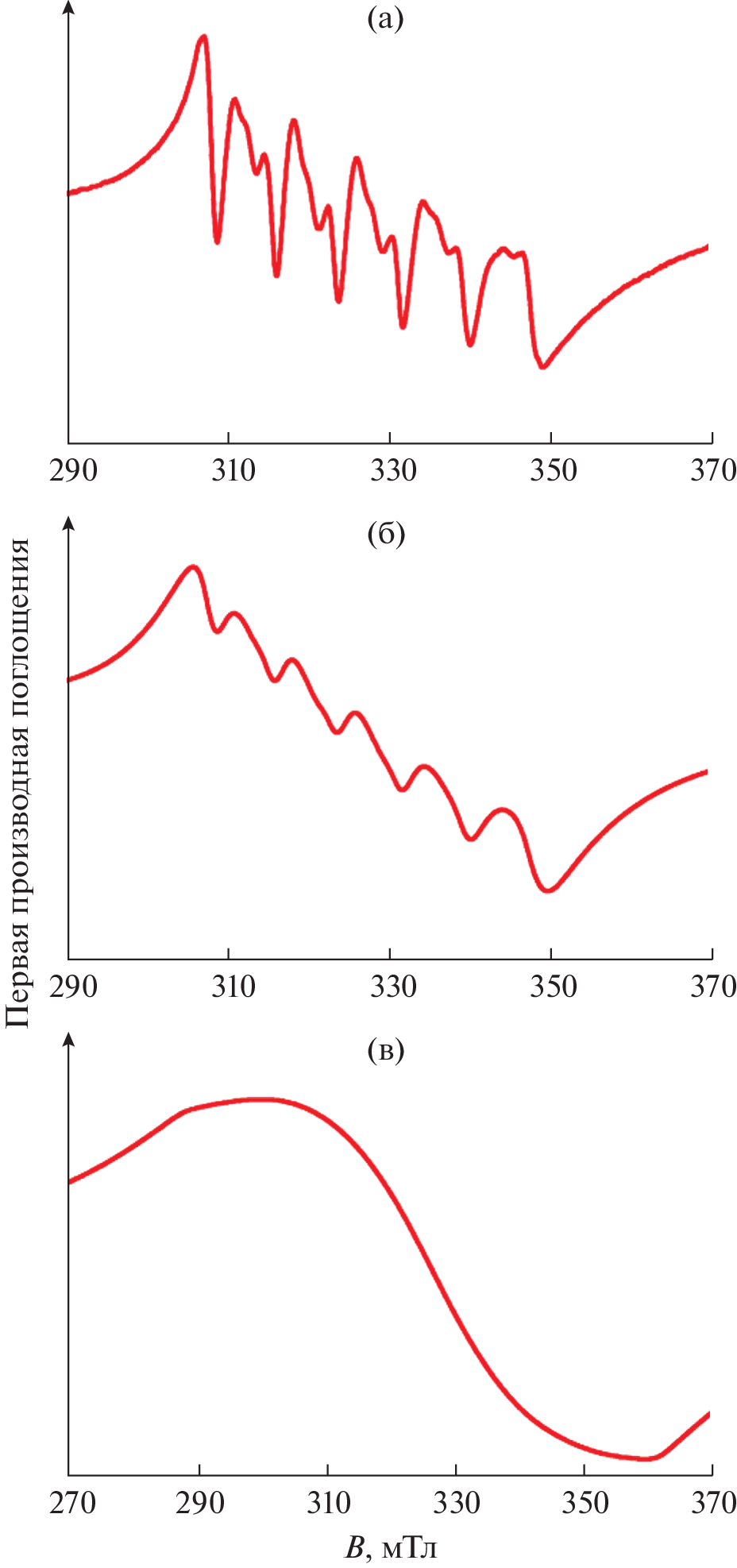
A self-propagating high-temperature synthesis of samples of the MgAl2O4 : Mn2+ luminophor has been carried out using the thermal effect of the reaction between aluminum and sodium perchlorate. Using energy dispersive analysis, the qualitative and quantitative composition of the luminophor has been established. To determine the degree of oxidation of manganese ions, the EPR spectra of the luminophor have been studied. The phase composition of the synthesis products has been established by X-ray diffraction, and the luminescent properties have been characterized by the excitation and emission spectra. The influence of the manganese content, as well as the Al : Al2O3 ratio in the charge, on the luminescent characteristics of the synthesized product has been studied.
Keywords
About the authors
O. B. Tomilin
National Research Mordovia State University
Email: mur_ee@mail.ru
430005, Saransk, Russia
E. E. Muryumin
National Research Mordovia State University
Email: mur_ee@mail.ru
430005, Saransk, Russia
M. V. Fadin
National Research Mordovia State University
Author for correspondence.
Email: mur_ee@mail.ru
430005, Saransk, Russia
References
- Chang M.H., Das D., Varde P.V., Pecht M. // Microelectron. Reliab. 2012. V. 52. № 5. P. 762. https://doi.org/10.1016/j.microrel.2011.07.063
- Ye S., Xiao F., Pan Y.X. et al. // Mater. Sci. Eng., R. 2010. V. 71. № 1. P. 1. https://doi.org/10.1016/j.mser.2010.07.001
- Wang X.J., Jia D.D., Yen W.M. // J. Lumin. 2003. V. 102–103. P. 34. https://doi.org/10.1016/S0022-2313(02)00541-0
- Jung K.Y., Lee H.W., Kang Y.C. et al. // Chem. Mater. 2005. V. 17. № 10. P. 2729. https://doi.org/10.1021/cm050074f
- Ye S., Liu Z.S., Wang X.T. et al. // J. Lumin. 2009. V. 129. № 1. P. 50. https://doi.org/10.1016/j.jlumin.2008.07.015
- Singh V., Chakradhar R.P.S., Rao J.L., Kim D.-K. // Physica B. 2008. V. 403. № 1. P. 120. https://doi.org/10.1016/j.physb.2007.08.092
- Lei B.F., Li B., Wang X.J., Li W. // J. Lumin. 2006. V. 118. № 2. P. 173. https://doi.org/10.1016/j.jlumin.2005.08.010
- Chang F.Y., Pang L. // J. Appl. Phys. 1996. V. 79. № 9. P. 7191. https://doi.org/10.1063/1.361435
- Singh V., Chakradhar R.P.S., Rao J.L., Kim D.-K. // J. Lumin. 2009. V. 129. № 2. P. 130. https://doi.org/10.1016/j.jlumin.2008.08.011
- Panigrahi K., Saha S., Sain S. et al. // Dalton Trans. 2018. V. 47. № 35. P. 12228. https://doi.org/10.1039/c8dt02227e
- Zou H., Peng D.F., Chu Z.M. et al. // Adv. Mater. Res. 2013. V. 815. P. 662. https://doi.org/10.4028/www.scientific.net/AMR.815.662
- Beketov I.V., Medvedev A.I., Samatov O.M. et al. // J. Alloys Compd. 2014. V. 586. P. S472. https://doi.org/10.1016/j.jallcom.2013.02.070
- Ganesh I. // Int. Mater. Rev. 2013. V. 58. № 2. P. 63. https://doi.org/10.1179/1743280412Y.0000000001
- Song E.H., Zhou Y.Y., Wei Y. et al. // J. Mater. Chem. C. 2019. V. 7. P. 8192. https://doi.org/10.1039/c9tc02107h
- Sakuma T., Minowa S., Katsumata T. et al. // Opt. Mater. 2014. V. 37. P. 302. https://doi.org/10.1016/j.optmat.2014.06.014
- Wang Z., Ji H., Xu J. et al. // Inorg. Chem. 2020. V. 59. № 24. P. 18374. https://doi.org/10.1021/acs.inorgchem.0c03005
- Ji H., Hou X., Molokeev M. et al. // Dalton Trans. 2020. V. 49. № 17. P. 5711. https://doi.org/10.1039/d0dt00931h
- Хайдуков Н.М., Бреховских М.Н., Кирикова Н.Ю. и др. // Журн. неорган. химии. 2020. Т. 65. № 8. С. 1027.
- Khaidukov N., Pirri A., Brekhovskikh M. et al. // Materials. 2021. V. 14. № 2. P. 420. https://doi.org/10.3390/ma14020420
- Zhong R., Zhang J., Wei H. et al. // Chem. Phys. Lett. 2011. V. 508. № 4–6. P. 207. https://doi.org/10.1016/j.cplett.2011.04.033
- Tomita A., Sato T., Tanaka K. et al. // J. Lumin. 2004. V. 109. № 1. P. 19. https://doi.org/10.1016/S0022-2313(03)00237-0
- Khaidukov N.M., Brekhovskikh M.N., Kirikova N.Y. et al. // Ceram. Int. 2020. V. 46. № 13. P. 21351. https://doi.org/10.1016/j.ceramint.2020.05.231
- Mali A.V., Wandre T.M., Sanadi K.R. et al. // J. Mater. Sci.: Mater. Electron. 2015. V. 27. P. 613. https://doi.org/10.1007/s10854-015-3796-3
- Wang S., Gao H., Yu H. et al. // Trans. Ind. Ceram. Soc. 2020. V. 79. № 4. P. 221. https://doi.org/10.1080/0371750X.2020.1817789
- Merzhanov A.G., Shkiro V.M., Borovinskaya I.P. Synthesis of Refractory Inorganic Compounds, USSR Inventor’s Certificate 255 221, 1967; Byull. Izobr., 1971, no. 10; Fr. Pat. 2 088 668, 1972; US Pat. 3726643, 1973; UK Pat. 1 321 084; Jpn. Pat. 1 098 839, 1982.
- Томилин О.Б., Мурюмин Е.Е., Фадин М.В., Щипа-кин С.Ю. // Журн. неорган. химии. 2022. Т. 67. № 4. С. 457.
- Chung S.-L., Huang S.-C. // Materials. 2014. V. 7. № 12. P. 7828. https://doi.org/10.3390/ma7127828
- Chung S.-L., Huang S.-C. // Materials. 2016. V. 9. № 3. P. 178. https://doi.org/10.3390/ma9030178
- Won C.W., Nersisyan H.H., Won H.I. et al. // J. Lumin. 2010. V. 130. № 4. P. 678. https://doi.org/10.1016/j.jlumin.2009.11.017
- Won C.W., Nersisyan H.H., Won H.I., Youn J.W. // J. Lumin. 2010. V. 131. № 10. P. 2174. https://doi.org/10.1016/j.jlumin.2011.05.029
- Ohyama J., Zhu C., Saito G. et al. // J. Rare Earths. 2018. V. 36. № 3. P. 248. https://doi.org/10.1016/j.jre.2017.06.014
- Nersisyan H.H., Won H.I., Won C.W. et al. // Chem. Eng. J. 2012. V. 198. P. 449. https://doi.org/10.1016/j.cej.2012.05.085
- Sathaporn T., Niyomwas S. // Energy Procedia. 2011. V. 9. P. 410. https://doi.org/10.1016/j.egypro.2011.09.045
- Чижиков А.П., Константинов А.С., Бажин П.М. // Журн. неорган. химии. 2021. Т. 66. № 8. С. 1002.
- Ganesh I., Bhattacharjee S., Saha B.P. et al. // Ceram. Int. 2002. V. 28. № 3. P. 245. https://doi.org/10.1016/S0272-8842(01)00086-4
- Zhang S., Jayaseelan D.D., Bhattacharya G., Lee W.E. // J. Am. Ceram. Soc. 2006. V. 89. № 5. P. 1724. https://doi.org/10.1111/j.1551-2916.2006.00932.x
- Лидин Р.А., Андреева Л.Л., Молочко В.А. Константы неорганических веществ: справочник. М.: Дрофа, 2006.
- Бреховских М.Н., Батыгов С.Х., Моисеева Л.В. и др. // Неорган. материалы. 2018. Т. 54. № 11. С. 1223.
- Бреховских М.Н., Солодовников С.П., Моисеева Л.М. и др. // Неорган. материалы. 2019. Т. 55. № 7. С. 756.
- Бреховских М.Н., Солодовников С.П., Батыгов С.Х. и др. // Неорган. материалы. 2019. Т. 55. № 11. С. 1248.
- Adachi S. // J. Lumin. 2022. V. 246. P. 118814. https://doi.org/10.1016/j.jlumin.2022.118814
- Vink A.P., de Bruin M.A., Roke S. et al. // J. Electrochem. Soc. 2001. V. 148. № 7. P. E313. https://doi.org/10.1149/1.1375169
Supplementary files










