Cobalt-Doped Chalcopyrites CuGaSe2: Synthesis and Magnetic Properties
- Authors: Zykin M.A.1, Golodukhina S.V.1, Efimov N.N.1
-
Affiliations:
- Kurnakov Institute of General and Inorganic Chemistry, Russian Academy of Sciences
- Issue: Vol 68, No 4 (2023)
- Pages: 569-578
- Section: НЕОРГАНИЧЕСКИЕ МАТЕРИАЛЫ И НАНОМАТЕРИАЛЫ
- URL: https://journal-vniispk.ru/0044-457X/article/view/136342
- DOI: https://doi.org/10.31857/S0044457X22601845
- EDN: https://elibrary.ru/FLSFPM
- ID: 136342
Cite item
Full Text
Abstract
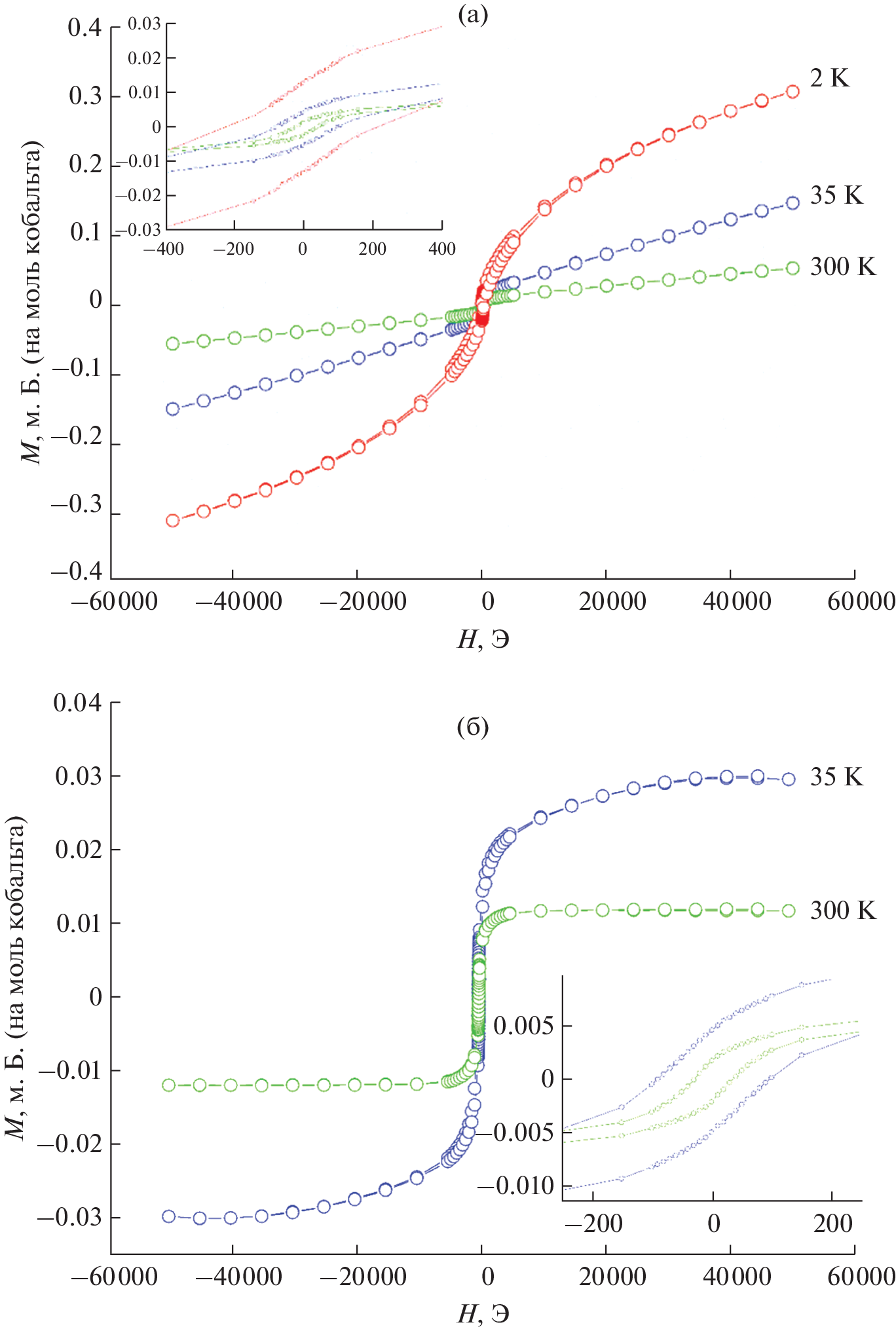
Two series of cobalt-doped CuGa1 – xCoxSe2 and Cu1 – x/2Ga1 – x/2CoxSe2 chalcopyrites were prepared. Cobalt in part entered the chalcopyrite structure to ensure the appearance of paramagnetic properties, while in part it remained involved in cobalt selenide admixtures. High-temperature quenching forced almost all of the cobalt to enter the crystal structure in the Cu1 – x/2Ga1 – x/2CoxSe2 samples. Significant ferromagnetism appears in the Cu0.9Ga0.9Co0.2Se2 sample, which had the highest cobalt concentration, in particular at room temperature.
About the authors
M. A. Zykin
Kurnakov Institute of General and Inorganic Chemistry, Russian Academy of Sciences
Email: mzykin@gmail.com
119991, Moscow, Russia
S. V. Golodukhina
Kurnakov Institute of General and Inorganic Chemistry, Russian Academy of Sciences
Email: mzykin@gmail.com
119991, Moscow, Russia
N. N. Efimov
Kurnakov Institute of General and Inorganic Chemistry, Russian Academy of Sciences
Author for correspondence.
Email: mzykin@gmail.com
119991, Moscow, Russia
References
- Polman A., Knight M., Garnett E.C. et al. // Science. 2016. V. 352. № 6283. P. Aad4424. https://doi.org/10.1126/science.aad4424
- Lee T.D., Ebong A.U. // Renew. Sustain. Energy Rev. 2017. V. 70. № September 2015. P. 1286. https://doi.org/10.1016/j.rser.2016.12.028
- Regmi G., Ashok A., Chawla P. et al. // J. Mater. Sci. Mater. Electron. 2020. V. 31. № 10. P. 7286. https://doi.org/10.1007/s10854-020-03338-2
- Jaffe J.E., Zunger A. // Phys. Rev. B. 1983. V. 28. № 10. P. 5822. https://doi.org/10.1103/PhysRevB.28.5822
- Shaukat A. // J. Phys. Chem. Solids. 1990. V. 51. № 12. P. 1413. https://doi.org/10.1016/0022-3697(90)90024-A
- Turcu M., Kötschau I.M., Rau U. // J. Appl. Phys. 2002. V. 91. № 3. P. 1391. https://doi.org/10.1063/1.1432126
- Nakada T. // Electron. Mater. Lett. 2012. V. 8. № 2. P. 179. https://doi.org/10.1007/s13391-012-2034-x
- Ohno H. // Science. 1998. V. 281. № 5379. P. 951. https://doi.org/10.1126/science.281.5379.951
- Ohno H., Chiba D., Matsukura F. et al. // Nature. 2000. V. 408. № 6815. P. 944. https://doi.org/10.1038/35050040
- Chiba D., Yamanouchi H., Hatsukura F. et al. // Science. 2003. V. 301. № 5635. P. 943. https://doi.org/10.1126/science.1086608
- Yamanouchi M., Chiba D., Matsukura F. et al. // Nature. 2004. V. 428. № 6982. P. 539. https://doi.org/10.1038/nature02441
- Ohno H. // Phys. B: Condens. Matter. 2006. V. 376–377. № 1. P. 19. https://doi.org/10.1016/j.physb.2005.12.007
- Park Y.D., Hanbicki A.T., Erwin S.C. et al. // Science. 2002. V. 295. № 5555. P. 651. https://doi.org/10.1126/science.1066348
- Dietl T., Ohno H., Matsukura F. // Phys. Rev. B. 2001. V. 63. № 19. P. 195205. https://doi.org/10.1103/PhysRevB.63.195205
- Dietl T., Ohno H. // Rev. Mod. Phys. 2014. V. 86. № 1. P. 187. https://doi.org/10.1103/RevModPhys.86.187
- Dietl T., Bonanni A., Ohno H. // J. Semicond. 2019. V. 40. № 8. P. 080301. https://doi.org/10.1088/1674-4926/40/8/080301
- Zhao Y.J., Freeman A.J. // J. Magn. Magn. Mater. 2002. V. 246. № 1–2. P. 145. https://doi.org/10.1016/S0304-8853(02)00042-2
- Freeman A.J., Zhao Y.J. // J. Phys. Chem. Solids. 2003. V. 64. № 9–10. P. 1453. https://doi.org/10.1016/S0022-3697(03)00120-3
- Zhao Y.J., Zunger A. // Phys. Rev. B: Condens. Matter. Mater. Phys. 2004. V. 69. № 10. P. 1. https://doi.org/10.1103/PhysRevB.69.104422
- Kamatani T., Akai H. // Mater. Sci. Semicond. Process. 2003. V. 6. № 5–6. P. 389. https://doi.org/10.1016/j.mssp.2003.08.005
- Yao J., Kline C.N., Gu H. et al. // J. Solid. State. Chem. 2009. V. 182. № 9. P. 2579. https://doi.org/10.1016/j.jssc.2009.07.014
- Зыкин М.А., Бушева Е.В., Аминов Т.Г. и др. // Журн. неорган. химии. 2022. Т. 67. № 2. С. 168. https://doi.org/10.31857/S0044457X22020180
- Зыкин М.А., Ефимов Н.Н. // Неорган. материалы. 2022. Т. 58. № 1. С. 21. https://doi.org/10.31857/S0002337X22010158
- Зыкин М.А., Ефимов Н.Н. // Изв. АН Сер. хим. 2022. № 4. P. 701.
- Lide D.R. (ed.) // CRC Handbook of Chemistry and Physics. 84th ed. CRC Press, 2003.
- Teruya A., Suzuki F., Aoki D. et al. // J. Phys. Conf. Ser. 2017. V. 807. № 1. P. 012001. https://doi.org/10.1088/1742-6596/807/1/012001
- Umeyama N., Tokumoto M., Yagi S. et al. // Jpn. J. Appl. Phys. 2012. V. 51. № 5. Part 1. P. 053001. https://doi.org/10.1143/JJAP.51.053001
- García-García F.J., Larsson A.-K., Norèn L. et al. // Solid State Sci. 2004. V. 6. № 7. P. 725. https://doi.org/10.1016/j.solidstatesciences.2004.03.030
Supplementary files








